搜索
      上传资料 赚现金

      安徽省芜湖市师大附中2025-2026学年高一上学期11月期中数学B卷试题(Word版附解析)

      • 654.11 KB
      • 2025-11-29 18:21:28
      • 21
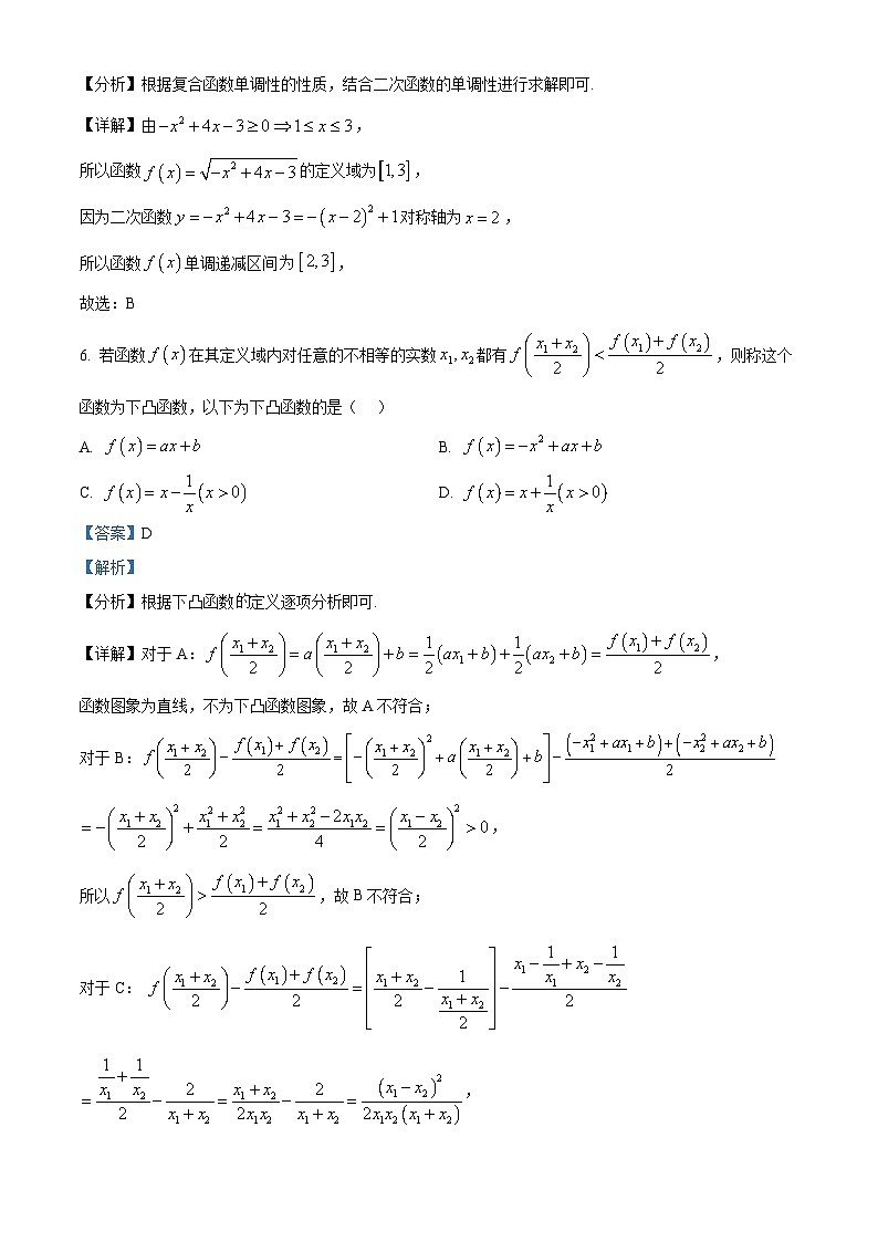
      • 0
      • 教习网3275309
      加入资料篮
      立即下载
      查看完整配套(共2份)
      包含资料(2份) 收起列表
      原卷
      安徽省芜湖市师大附中2025-2026学年高一上学期11月期中素质检测数学试题B卷(原卷版).docx
      预览
      解析
      安徽省芜湖市师大附中2025-2026学年高一上学期11月期中素质检测数学试题B卷 Word版含解析.docx
      预览
      正在预览:安徽省芜湖市师大附中2025-2026学年高一上学期11月期中素质检测数学试题B卷(原卷版).docx
      安徽省芜湖市师大附中2025-2026学年高一上学期11月期中素质检测数学试题B卷(原卷版)第1页
      1/4
      安徽省芜湖市师大附中2025-2026学年高一上学期11月期中素质检测数学试题B卷(原卷版)第2页
      2/4
      安徽省芜湖市师大附中2025-2026学年高一上学期11月期中素质检测数学试题B卷 Word版含解析第1页
      1/15
      安徽省芜湖市师大附中2025-2026学年高一上学期11月期中素质检测数学试题B卷 Word版含解析第2页
      2/15
      安徽省芜湖市师大附中2025-2026学年高一上学期11月期中素质检测数学试题B卷 Word版含解析第3页
      3/15
      还剩2页未读, 继续阅读

      安徽省芜湖市师大附中2025-2026学年高一上学期11月期中数学B卷试题(Word版附解析)

      展开

      这是一份安徽省芜湖市师大附中2025-2026学年高一上学期11月期中数学B卷试题(Word版附解析),文件包含安徽省芜湖市师大附中2025-2026学年高一上学期11月期中素质检测数学试题B卷原卷版docx、安徽省芜湖市师大附中2025-2026学年高一上学期11月期中素质检测数学试题B卷Word版含解析docx等2份试卷配套教学资源,其中试卷共19页, 欢迎下载使用。
      (考试时间:120分钟 满分:150分)
      考生注意:
      1、本试卷分选择题和非选择题两部分.满分150分,考试时间120分钟.
      2、答题前,考生务必用直径0.5毫米黑色墨水签字笔将自己的姓名、准考证号填涂在答题卡上.
      3、考生作答时,请将答案答在答题卡上.选择题每小题选出答案后,用2B铅笔把答题卡上对应题目的答案标号涂黑;非选择题请用直径0.5毫米黑色墨水签字笔在答题卡各题的答题区域内作答,超出答题区域书写的答案无效,在试题卷、草稿纸上作答无效.
      一、单选题:本题共8小题,每小题5分,共40分.在每小题给出的四个选项中,只有一项是符合题目要求的.
      1. 已知集合,则( )
      A. B. C. D.
      2. 命题“,”的否定是( )
      A. ,B. ,
      C. ,D. ,
      3. 下列函数中,与函数是同一函数是( )
      A B.
      C. D.
      4. 设,,则“”是“”的
      A. 充分不必要条件B. 必要不充分条件
      C. 充要条件D. 既不充分也不必要条件
      5. 函数的单调递减区间为( )
      A. B. C. D.
      6. 若函数在其定义域内对任意的不相等的实数都有,则称这个函数为下凸函数,以下为下凸函数的是( )
      A. B.
      C D.
      7. 已知在上满足,则实数的取值范围为( )
      A. B. C. D.
      8. 已知函数,则满足不等式的的取值范围是( )
      A. B.
      C. D.
      二、多选题:本题共3小题,每小题6分,共18分.在每小题给出的选项中,有多项符合题目要求.全部选对的得5分,部分选对的得2分,有选错的得0分.
      9. 下列函数中,定义域与值域均相同的是( )
      A. B.
      C. D.
      10. 设,,且,则下列结论正确的是( )
      A. 最大值为B. 的最小值为
      C. 的最小值为D. 恒成立
      11. 已知函数是定义在上的奇函数,当时,,则下列结论正确的是( )
      A.
      B. 的单调递增区间为
      C. 当时,
      D. 的解集为
      三、填空题:本题共3小题,每小题5分,共15分.
      12. 函数的定义域为______.
      13. 若命题“,使”为真命题,实数的取值范围为__________.
      14. 已知函数是偶函数,,且当时,,则______.
      四、解答题:本题共5小题,共77分.解答时应写出文字说明、证明过程或演算步骤.
      15. (1)化简:;
      (2)求值:.
      16. 已知关于x的不等式.
      (1)若时,不等式成立,求实数a的取值范围;
      (2)若a为实数,解关于x的不等式.
      17. 已知幂函数的图象关于轴对称,且在上单调递增.
      (1)求函数的解析式;
      (2)解不等式:.
      18. 从不等式出发,我们可以得到一个非常优美的不等式——柯西不等式.柯西不等式的一般形式为:,且,,当且仅当时,等号成立.请你根据以上信息,完成以下问题:
      (1)若,求的最小值;
      (2)求函数最大值;
      (3)若,,不等式恒成立,试求实数的取值范围.

      相关试卷

      安徽省芜湖市师大附中2025-2026学年高一上学期11月期中数学B卷试题(Word版附解析):

      这是一份安徽省芜湖市师大附中2025-2026学年高一上学期11月期中数学B卷试题(Word版附解析),文件包含安徽省芜湖市师大附中2025-2026学年高一上学期11月期中素质检测数学试题B卷原卷版docx、安徽省芜湖市师大附中2025-2026学年高一上学期11月期中素质检测数学试题B卷Word版含解析docx等2份试卷配套教学资源,其中试卷共19页, 欢迎下载使用。

      安徽省芜湖市师大附中2025-2026学年高一上学期11月期中数学(A卷)试题(Word版附解析):

      这是一份安徽省芜湖市师大附中2025-2026学年高一上学期11月期中数学(A卷)试题(Word版附解析),文件包含安徽省芜湖市师大附中2025-2026学年高一上学期11月期中素质检测数学试题A卷Word版含解析docx、安徽省芜湖市师大附中2025-2026学年高一上学期11月期中素质检测数学试题A卷原卷版docx等2份试卷配套教学资源,其中试卷共21页, 欢迎下载使用。

      安徽省芜湖市师大附中2025-2026学年高二上学期11月期中数学(A卷)试题(Word版附解析):

      这是一份安徽省芜湖市师大附中2025-2026学年高二上学期11月期中数学(A卷)试题(Word版附解析),文件包含安徽省芜湖市师大附中2025-2026学年高二上学期11月期中数学试题A卷Word版含解析docx、安徽省芜湖市师大附中2025-2026学年高二上学期11月期中数学试题A卷原卷版docx等2份试卷配套教学资源,其中试卷共27页, 欢迎下载使用。

      资料下载及使用帮助
      版权申诉
      • 1.电子资料成功下载后不支持退换,如发现资料有内容错误问题请联系客服,如若属实,我们会补偿您的损失
      • 2.压缩包下载后请先用软件解压,再使用对应软件打开;软件版本较低时请及时更新
      • 3.资料下载成功后可在60天以内免费重复下载
      版权申诉
      若您为此资料的原创作者,认为该资料内容侵犯了您的知识产权,请扫码添加我们的相关工作人员,我们尽可能的保护您的合法权益。
      入驻教习网,可获得资源免费推广曝光,还可获得多重现金奖励,申请 精品资源制作, 工作室入驻。
      版权申诉二维码
      欢迎来到教习网
      • 900万优选资源,让备课更轻松
      • 600万优选试题,支持自由组卷
      • 高质量可编辑,日均更新2000+
      • 百万教师选择,专业更值得信赖
      微信扫码注册
      手机号注册
      手机号码

      手机号格式错误

      手机验证码 获取验证码 获取验证码

      手机验证码已经成功发送,5分钟内有效

      设置密码

      6-20个字符,数字、字母或符号

      注册即视为同意教习网「注册协议」「隐私条款」
      QQ注册
      手机号注册
      微信注册

      注册成功

      返回
      顶部
      学业水平 高考一轮 高考二轮 高考真题 精选专题 初中月考 教师福利
      添加客服微信 获取1对1服务
      微信扫描添加客服
      Baidu
      map