搜索
      上传资料 赚现金

      2026届高三数学一轮复习课件第33讲第2课时裂项相消法

      • 1.66 MB
      • 2026-01-19 23:58:09
      • 13
      • 0
      • 教习网3275309
      加入资料篮
      立即下载
      17520871第1页
      1/50
      17520871第2页
      2/50
      17520871第3页
      3/50
      17520871第4页
      4/50
      17520871第5页
      5/50
      17520871第6页
      6/50
      17520871第7页
      7/50
      17520871第8页
      8/50
      还剩42页未读, 继续阅读

      2026届高三数学一轮复习课件第33讲第2课时裂项相消法

      展开

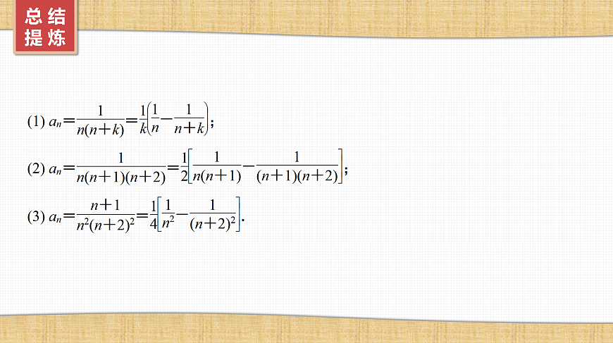
      这是一份2026届高三数学一轮复习课件第33讲第2课时裂项相消法,共50页。PPT课件主要包含了研题型·能力养成,等差型裂项求和,无理型裂项求和,指数型裂项求和,裂项为“+”型,答案A,配套精练,答案B,答案ABD,答案BD等内容,欢迎下载使用。
      变式2 (2024·山西期末)已知数列{an}的前n项和为Sn,点(n,Sn)(n∈N*)在函数y=2x2-x的图象上.(1) 求数列{an}的通项公式;
          由点(n,Sn)(n∈N*)在函数y=2x2-x的图象上,可得Sn=2n2-n.当n=1时,a1=1;当n≥2时,an=Sn-Sn-1=2n2-n-[2(n-1)2-(n-1)]=4n-3.又a1=1也符合an=4n-3,所以an=4n-3.
      变式2 (2024·山西期末)已知数列{an}的前n项和为Sn,点(n,Sn)(n∈N*)在函数y=2x2-x的图象上.
         (2024·四川模拟)已知各项均为正数的数列{an}为等差数列,各项均为正数的数列{bn}为等比数列,a1=b1=2,a2,a4-1,a7成等比数列,b1,b3,b5-18成等差数列.(1) 求{an},{bn}的通项公式;
         (2024·四川模拟)已知各项均为正数的数列{an}为等差数列,各项均为正数的数列{bn}为等比数列,a1=b1=2,a2,a4-1,a7成等比数列,b1,b3,b5-18成等差数列.
      变式3 (2024·宿迁模拟)已知数列{an}的前n项和为Sn,且a1=1,an+1=Sn+1.(1) 求数列{an}的通项公式;
      变式3 (2024·宿迁模拟)已知数列{an}的前n项和为Sn,且a1=1,an+1=Sn+1.
         (2024·广东一模)已知数列{an}的前n项和为Sn,n为正整数,且3(Sn-n)=4(an-2).(1) 证明:数列{an-1}是等比数列,并求数列{an}的通项公式;
          当n=1时,3(a1-1)=4(a1-2),解得a1=5;当n≥2时,由3(Sn-n)=4(an-2)可得3(Sn-1-n+1)=4(an-1-2),两式相减可得an=4an-1-3,即an-1=4(an-1-1),所以数列{an-1}是以5-1=4为首项,4为公比的等比数列,所以an-1=4·4n-1=4n,即an=4n+1.
         (2024·广东一模)已知数列{an}的前n项和为Sn,n为正整数,且3(Sn-n)=4(an-2).
      1.(2024·泉州一模)记数列{an},{bn}的前n项和分别为Sn,Tn,若{an}是等差数列,且S6=S5+25=90,anbnan+1=1,则T10=(  )
      二、多项选择题5.(2024·淮北二模)已知数列{an},{bn}的前n项和分别为Sn,Tn,若an=2n-1,Tn=2n+1-2,则(   )A.S10=100B.b10=1 024
      6.若数列{an}的前n项和是Sn,且Sn=2an-2,数列{bn}满足bn=lg2an,则下列结论正确的有(   )A.数列{an}是等差数列B.an=2n
      10.已知等比数列{an}的前n项和为Sn,公比q=2,S3=14.(1) 设Tn=a1a2a3·…·an-1an,求Tn;
      10.已知等比数列{an}的前n项和为Sn,公比q=2,S3=14.
      11.(2024·丽水、湖州、衢州二模)设等差数列{an}的公差为d,记Sn是数列{an}的前n项和,若S5=a3+20,S15=a2a3a8.(1) 求数列{an}的通项公式;
      11.(2024·丽水、湖州、衢州二模)设等差数列{an}的公差为d,记Sn是数列{an}的前n项和,若S5=a3+20,S15=a2a3a8.
      B组 创新题体验12.(2025·亳州期初节选)已知数列{an},对于任意的n∈N*,都有an+an+2>2an+1,则称数列{an}为“凹数列”.(1) 若an=2n,判断数列{an}是否为“凹数列”,请说明理由;
          因为an=2n,则an+2-an+1=2n+2-2n+1=2n+1,an+1-an=2n+1-2n=2n,又2n+1>2n,所以an+2-an+1>an+1-an,即an+an+2>2an+1,故数列{an}是“凹数列”.

      相关课件

      2026届高三数学一轮复习课件第33讲第2课时裂项相消法:

      这是一份2026届高三数学一轮复习课件第33讲第2课时裂项相消法,共50页。PPT课件主要包含了研题型·能力养成,等差型裂项求和,无理型裂项求和,指数型裂项求和,裂项为“+”型,答案A,配套精练,答案B,答案ABD,答案BD等内容,欢迎下载使用。

      2024年新高考数学第一轮复习课件:第31讲 第2课时 裂项相消法:

      这是一份2024年新高考数学第一轮复习课件:第31讲 第2课时 裂项相消法,共22页。PPT课件主要包含了答案D,答案B,答案BCD等内容,欢迎下载使用。

      2024全国一轮数学(基础版)第31讲 第2课时 裂项相消法课件PPT:

      这是一份2024全国一轮数学(基础版)第31讲 第2课时 裂项相消法课件PPT,共27页。PPT课件主要包含了研题型·融会贯通,举题说法,随堂内化等内容,欢迎下载使用。

      资料下载及使用帮助
      版权申诉
      • 1.电子资料成功下载后不支持退换,如发现资料有内容错误问题请联系客服,如若属实,我们会补偿您的损失
      • 2.压缩包下载后请先用软件解压,再使用对应软件打开;软件版本较低时请及时更新
      • 3.资料下载成功后可在60天以内免费重复下载
      版权申诉
      若您为此资料的原创作者,认为该资料内容侵犯了您的知识产权,请扫码添加我们的相关工作人员,我们尽可能的保护您的合法权益。
      入驻教习网,可获得资源免费推广曝光,还可获得多重现金奖励,申请 精品资源制作, 工作室入驻。
      版权申诉二维码
      欢迎来到教习网
      • 900万优选资源,让备课更轻松
      • 600万优选试题,支持自由组卷
      • 高质量可编辑,日均更新2000+
      • 百万教师选择,专业更值得信赖
      微信扫码注册
      手机号注册
      手机号码

      手机号格式错误

      手机验证码 获取验证码 获取验证码

      手机验证码已经成功发送,5分钟内有效

      设置密码

      6-20个字符,数字、字母或符号

      注册即视为同意教习网「注册协议」「隐私条款」
      QQ注册
      手机号注册
      微信注册

      注册成功

      返回
      顶部
      学业水平 高考一轮 高考二轮 高考真题 精选专题 初中月考 教师福利
      添加客服微信 获取1对1服务
      微信扫描添加客服
      Baidu
      map