搜索
      上传资料 赚现金

      2026湖北省“新八校”协作体高三上学期10月月考试题数学含解析

      • 3.24 MB
      • 2025-10-15 05:33:40
      • 32
      • 0
      • 高三月考试卷
      加入资料篮
      立即下载
      查看完整配套(共3份)
      包含资料(3份) 收起列表
      答案
      湖北省“新八校”协作体2025-2026学年度上学期高三10月月考数学+答案.docx
      预览
      答案
      湖北省“新八校”协作体2025-2026学年度上学期高三10月月考数学答案.pdf
      预览
      试卷
      湖北省“新八校”协作体2025-2026学年度上学期高三10月月考数学.pdf
      预览
      正在预览:湖北省“新八校”协作体2025-2026学年度上学期高三10月月考数学+答案.docx
      湖北省“新八校”协作体2025-2026学年度上学期高三10月月考数学+答案第1页
      高清全屏预览
      1/12
      湖北省“新八校”协作体2025-2026学年度上学期高三10月月考数学+答案第2页
      高清全屏预览
      2/12
      湖北省“新八校”协作体2025-2026学年度上学期高三10月月考数学+答案第3页
      高清全屏预览
      3/12
      湖北省“新八校”协作体2025-2026学年度上学期高三10月月考数学答案第1页
      高清全屏预览
      1/10
      湖北省“新八校”协作体2025-2026学年度上学期高三10月月考数学答案第2页
      高清全屏预览
      2/10
      湖北省“新八校”协作体2025-2026学年度上学期高三10月月考数学答案第3页
      高清全屏预览
      3/10
      湖北省“新八校”协作体2025-2026学年度上学期高三10月月考数学第1页
      高清全屏预览
      1/4
      湖北省“新八校”协作体2025-2026学年度上学期高三10月月考数学第2页
      高清全屏预览
      2/4
      还剩9页未读, 继续阅读

      2026湖北省“新八校”协作体高三上学期10月月考试题数学含解析

      展开

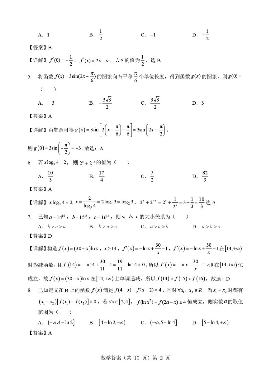
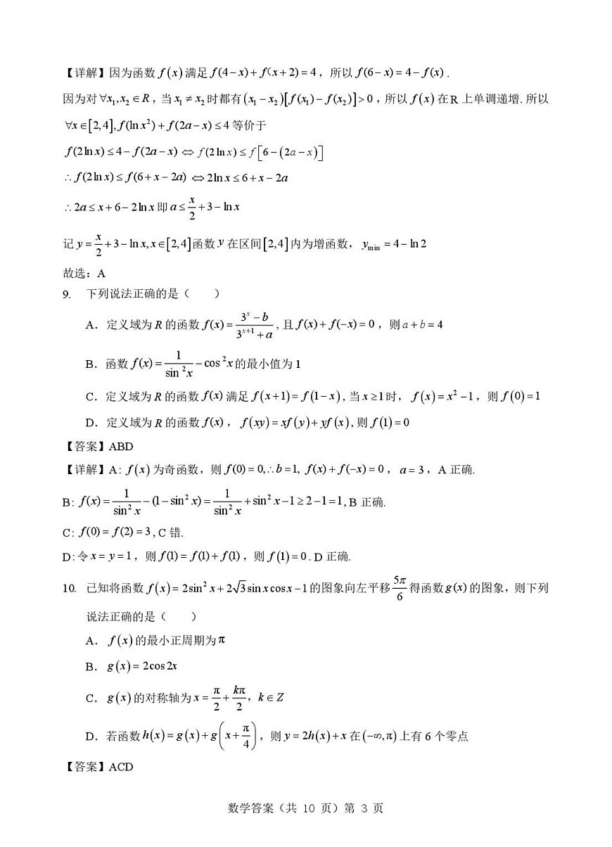
      湖北省2025-2026学年度上学期高三10月月考高三数学试卷全卷满分150分.考试用时120分钟.注意事项:1.答题前,先将自己的姓名、准考证号、考场号、座位号填写在试卷和答题卡上,并认真核准准考证号条形码上的以上信息,将条形码粘贴在答题卡上的指定位置.2.请按题号顺序在答题卡上各题目的答题区域内作答,写在试卷、草稿纸和答题卡上的非答题区域均无效.3.选择题用2B铅笔在答题卡上把所选答案的标号涂黑;非选择题用黑色签字笔在答题卡上作答;字体工整,笔迹清楚.4.考试结束后,请将试卷和答题卡一并上交.一、选择题:本题共8小题,每小题5分,共40分.在每小题给出的四个选项中,只有一项是符合题目要求的.1.命题“∃x,”的否定是( )A. B.C. D.2.已知集合,则( )A. B.C. D.3.已知复数(为虚数单位),则z的虚部是( )A. B. C. D.4.已知函数,若,则实数a的值为( )A.1 B. C.-1 D.5.将函数的图象向右平移个单位长度,得到函数的图象,则( )A.-3 B. C. D.36.若,则的的值为( )A. B. C. D.7.已知,则的大小关系为( )A. B. C. D.8.已知定义在上的函数满足,且对,当时都有,若,恒成立,则实数的取值范围为( )A. B. C. D.二、多选题:本题共3小题,每小题6分,共18分.在每小题给出的选项中,有多项符合题目要求.全部选对的得6分,部分选对的得部分分,有选错的得0分.9.下列说法正确的是( )A.定义域为的函数,且,则B.函数的最小值为1C.定义域为的函数满足,当x≥1时,,则D.定义域为的函数,,则10.已知将函数的图象向左平移得函数的图象,则下列说法正确的是( )A.的最小正周期为B.C.的对称轴为D.若函数,则在上有6个零点11.已知函数,其中实数,则下列结论正确的是( )A.当时,必有两个极值点B.过点可以作曲线的3条不同切线,则C.若有三个不同的零点,且则D.若有三个不同的零点,则三、填空题:本题共3小题,每小题5分,共15分.12.已知函数,则的定义域为__________.13.已知可导函数的导函数为,若对于任意的,都有,且,则不等式的解集为__________.14..外接圆半径为2,角的对边分别为,若,且,则__________;的最大值为__________.四、解答题:本题共5小题,共77分.解答应写出文字说明、证明过程或演算步骤.15.(本小题满分13分)已知函数()的最小正周期为.(1)求的解析式并求其单调递减区间;(2)若函数在上有3个不相等的实数根,求实数的取值范围.16.(本小题满分15分)已知函数(1)讨论函数的单调性;(2)若函数在其定义域一个子集内存在两个极值点,求实数的取值范围并求的极值.17.(本小题满分15分)已知正项数列(1)求数列的通项公式;(2)记,求的前项和18.(本小题满分17分)设,是双曲线与x轴的左右两个交点,是双曲线上垂直于x轴的弦的端点,直线与交点为点.(1)求点轨迹方程.(2)过点的直线l交曲线Γ于两点,其中点在轴上方.设直线的斜率为,直线的斜率为,探究是否为定值,若为定值,求出定值;若不是定值,说明理由.19.(本小题满分17分)已知函数(为自然对数的底数)(1)求函数在点处的切线方程;(2)若对记,若,有,求的取值范围;(3)设,且,证明: 湖北省2025-2026学年度上学期高三10月月考高三数学参考答案选择题填空题12.13.14. 具体详解:1.【答案】C【详解】命题“”的否定是“”.选C.2.【答案】D【详解】集合,选D.3.【答案】C【详解】,则,选C.4.【答案】B【详解】的值为,选B.5.【答案】A【详解】由题意可得,则.故选:A.6.【答案】A【详解】选A7.【答案】D【详解】构造在时为减函数,且,所以在恒成立,故在上单调递减,所以,故选:D8.【答案】A【详解】因为函数满足,所以.因为对,当时都有,所以在R上单调递增.所以等价于即记函数在区间内为增函数,故选:A9.【答案】ABD【详解】A:为奇函数,则,A正确.B:,B正确.C:,C错.D:令,则,则.D正确.10.【答案】ACD【详解】对于A,依题意,,故A正确;对于,B错对于C,对称轴为,C正确对于D,,在直角坐标系中分别作出的图象如图所示,观察可知,它们在上有6个交点,即在上有6个零点,故D正确;故选:ACD.11.【答案】ABD【详解】由题意得,要使有两个极值点,故有两个不等实根,所以,即选项A正确;,设切点为,在点处的切线方程为,又切线过点,解得,即令,过点可以作曲线切线条数可转化为与图象的交点个数,当与图象有3个交点,即过点可以作曲线的3条切线,选项B正确;,,若成等差数列,则,即,选项C错误;又,则,,同理,选项D正确.故选:ABD.12.【答案】【详解】的定义域为,则的定义域为13.【答案】【详解】构造函数,则单调递减,解不等式即为,即解不等式,故解集为14.【答案】 【详解】,又,所以,所以是钝角,所以,由得,取得最大值.故答案为:.15.【答案】(1)单调减区间.(2)【详解】(1)最小正周期.令解得单调减区间.(2)因为,则,当时,,若有3个不相等的实数根,则,解得,所以.16.【答案】(1)当时,在上单调递增,在上单调递减.当时,在上单调递增.当时,在上单调递增,在上单调递减.(2)的取值范围的极大值的极小值.【详解】(1)当时,在上单调递增,在上单调递减.当时,在上单调递增.当时,在上单调递增,在上单调递减.(2)解法一:函数在其定义域一个子集内存在两个极值点,则,解得,所以,则的取值范围的极大值,的极小值.解法二:因为①当时,则解得②当时,在内不存在两个极值点,所以不符合;③当时,,则无解则函数在其定义域一个子集内存在两个极值点,的取值范围的极大值的极小值.17.(1)当时,,得,当时,,又,两式相减得整理得到,又,是首项为1,公差为2的等差数列,.(2)由(1)得则18.(1)设直线与的交点为,则,共线,故,又共线,故.由两式相乘得,因在双曲线上,则,将其代入(*)式,即的轨迹方程为.(2)当直线的斜率存在且不为0时,设直线的方程为,联立,得.设,则则由韦达定理可知的定值为.19.【详解】(1)所以切线方程为:(2)若对,有即为:对时恒成立当时不等式恒成立,当时,不等式等价于即为恒成立记,记因为所以在为减函数,在为减函数,即所以(3)由(2)知,当且时,,即,把代入,有,因为,所以,当时,,当时,,,以上不等式相加得,证毕. 题号1234567891011答案CDCBAADAABDACDABD

      资料下载及使用帮助
      版权申诉
      • 1.电子资料成功下载后不支持退换,如发现资料有内容错误问题请联系客服,如若属实,我们会补偿您的损失
      • 2.压缩包下载后请先用软件解压,再使用对应软件打开;软件版本较低时请及时更新
      • 3.资料下载成功后可在60天以内免费重复下载
      版权申诉
      若您为此资料的原创作者,认为该资料内容侵犯了您的知识产权,请扫码添加我们的相关工作人员,我们尽可能的保护您的合法权益。
      入驻教习网,可获得资源免费推广曝光,还可获得多重现金奖励,申请 精品资源制作, 工作室入驻。
      版权申诉二维码
      月考专区
      • 精品推荐
      • 所属专辑11份
      欢迎来到教习网
      • 900万优选资源,让备课更轻松
      • 600万优选试题,支持自由组卷
      • 高质量可编辑,日均更新2000+
      • 百万教师选择,专业更值得信赖
      微信扫码注册
      手机号注册
      手机号码

      手机号格式错误

      手机验证码 获取验证码 获取验证码

      手机验证码已经成功发送,5分钟内有效

      设置密码

      6-20个字符,数字、字母或符号

      注册即视为同意教习网「注册协议」「隐私条款」
      QQ注册
      手机号注册
      微信注册

      注册成功

      返回
      顶部
      学业水平 高考一轮 高考二轮 高考真题 精选专题 初中月考 教师福利
      添加客服微信 获取1对1服务
      微信扫描添加客服
      Baidu
      map