搜索
      上传资料 赚现金

      课件:新北师大版数学七下 第一章 整式的乘除 小结与复习

      • 2.76 MB
      • 2025-06-12 09:36:45
      • 59
      • 0
      • 天 涯 孤 旅
      加入资料篮
      立即下载
      课件:新北师大版数学七下 第一章 整式的乘除 小结与复习第1页
      1/37
      课件:新北师大版数学七下 第一章 整式的乘除 小结与复习第2页
      2/37
      课件:新北师大版数学七下 第一章 整式的乘除 小结与复习第3页
      3/37
      课件:新北师大版数学七下 第一章 整式的乘除 小结与复习第4页
      4/37
      课件:新北师大版数学七下 第一章 整式的乘除 小结与复习第5页
      5/37
      课件:新北师大版数学七下 第一章 整式的乘除 小结与复习第6页
      6/37
      课件:新北师大版数学七下 第一章 整式的乘除 小结与复习第7页
      7/37
      课件:新北师大版数学七下 第一章 整式的乘除 小结与复习第8页
      8/37
      还剩29页未读, 继续阅读

      课件:新北师大版数学七下 第一章 整式的乘除 小结与复习

      展开

      这是一份课件:新北师大版数学七下 第一章 整式的乘除 小结与复习,共37页。
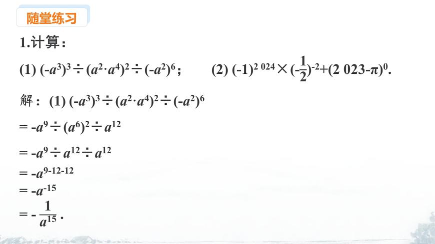
      第一章 整式的乘除小结与复习七年级(下册)北师大版2024新版教材整式的乘法整式的除法同底数幂的乘法,幂的乘方,积的乘方单项式乘以单项式单项式乘以多项式多项式乘以多项式 (平方差公式,完全平方公式)同底数幂的除法(零指数幂,负整数指数幂,科学记数法)单项式除以单项式多项式除以单项式整式的乘除知识梳理一、幂的运算(一)同底数幂的乘法同底数幂相乘,底数不变,指数相加,即 am·an=am+n (m,n都是正整数).注:(1) 底数必须相同; (2) 适用于两个或两个以上的同底数幂相乘; (3) 逆运用常考am+n= am·an.知识回顾(二)幂的乘方幂的乘方,底数不变,指数相乘. 即 (am)n=amn(m,n都是正整数).(三)积的乘方积的乘方等于把积的每一个因式分别乘方,再把所得的幂相乘,即 (ab)n=anbn(n是正整数).一、幂的运算知识回顾(四)同底数幂的除法同底数幂相除,底数不变,指数相减.即 am÷an=am-n (a≠0,m,n都是正整数,m>n).注:(1)底数必须相同; (2)适用于两个或两个以上的同底数幂相除; (3)逆运用常考am-n= am÷an.一、幂的运算知识回顾1.零指数幂任何不等于0的数的零次幂都等于1. a0=1 (a≠0)2.负整数指数幂.(a≠0,p是正整数). (四)零指数幂、负整数指数幂任何不等于0的数的 -p(p 是正整数)次幂,等于这个数的p次幂的倒数.知识回顾a×10-n(其中1≤|a|<10,n是整数)一般地,一个绝对值小于1的数可以用科学记数法表示为(2) n等于从左起第一个非零数前零的个数.注意: (1) 1≤|a|<10 ; (五)科学记数法知识回顾  随堂练习  随堂练习 2. (1)已知ax=2,ay=3,求ax+y和a2x-3y的值. (2)已知2x+5y-4=0,求4x·32y的值.随堂练习解: (2)因为2x+5y-4=0,所以2x+5y=4,所以4x·32y=(22)x·(25)y=22x·25y=22x+5y=24=16.2. (1)已知ax=2,ay=3,求ax+y和a2x-3y的值. (2)已知2x+5y-4=0,求4x·32y的值.随堂练习利用幂的运算性质求值的思路①所求幂的指数是和的形式:考虑用同底数幂乘法的运算性质;②所求幂的指数是积的形式:考虑用幂的乘方的运算性质;③所求幂的指数是差的形式:考虑用同底数幂除法的运算性质;④所求的代数式中,幂的底数不同:考虑把底数变形为相同的底数.随堂练习3.材料:比较322和411的大小.解:因为322=(32)11=911,9>4,所以911>411,即322>411.小结:指数相同的情况下,通过比较底数(底数大于1)的大小,来确定两个幂的大小.(1)比较344、433和522的大小.(2)已知a2=2,b3=3,比较a,b的大小(a,b均为大于1的数).随堂练习解:(1)因为344=(34)11=8111,433=(43)11=6411,522=(52)11=2511,且81>64>25,所以8111>6411>2511,所以344>433>522.(1)比较344、433和522的大小.随堂练习(2)因为a2=2,b3=3,所以(a2)3=a6=8,(b3)2=b6=9,8

      资料下载及使用帮助
      版权申诉
      • 1.电子资料成功下载后不支持退换,如发现资料有内容错误问题请联系客服,如若属实,我们会补偿您的损失
      • 2.压缩包下载后请先用软件解压,再使用对应软件打开;软件版本较低时请及时更新
      • 3.资料下载成功后可在60天以内免费重复下载
      版权申诉
      若您为此资料的原创作者,认为该资料内容侵犯了您的知识产权,请扫码添加我们的相关工作人员,我们尽可能的保护您的合法权益。
      入驻教习网,可获得资源免费推广曝光,还可获得多重现金奖励,申请 精品资源制作, 工作室入驻。
      版权申诉二维码
      初中数学北师大版(2024)七年级下册(2024)电子课本 新教材

      章节综合与测试

      版本: 北师大版(2024)

      年级: 七年级下册(2024)

      切换课文
      • 同课精品
      • 所属专辑79份
      欢迎来到教习网
      • 900万优选资源,让备课更轻松
      • 600万优选试题,支持自由组卷
      • 高质量可编辑,日均更新2000+
      • 百万教师选择,专业更值得信赖
      微信扫码注册
      手机号注册
      手机号码

      手机号格式错误

      手机验证码 获取验证码 获取验证码

      手机验证码已经成功发送,5分钟内有效

      设置密码

      6-20个字符,数字、字母或符号

      注册即视为同意教习网「注册协议」「隐私条款」
      QQ注册
      手机号注册
      微信注册

      注册成功

      返回
      顶部
      中考一轮 精选专题 初中月考 教师福利
      添加客服微信 获取1对1服务
      微信扫描添加客服
      Baidu
      map