所属成套资源:新北师大版初中数学 七上教学资料
初中数学北师大版(2024)七年级上册(2024)有理数的乘方背景图ppt课件
展开
这是一份初中数学北师大版(2024)七年级上册(2024)有理数的乘方背景图ppt课件,共22页。PPT课件主要包含了22层,21层,23层,乘方运算的符号法则,即奇负偶正,和−1,和−4,非负数,n+1−2n,=2×2n−1×2n等内容,欢迎下载使用。
1. 在现实背景中,进一步加深对有理数乘方意义的理解.2. 通过实例感受当底数大于1时,乘方运算的结果增长得很快.3. 会根据一组数的特点,探究与乘方有关的规律性问题.
还记得有理数的乘方的定义吗?
求n个相同因数a的积的运算叫作乘方.
an可以读作a的n次方,也可读作a的n次幂.
有一张厚度为0.1 mm的纸,将它对折1次后,厚度为2×0.1 mm.
22 ×0.1=0.4(mm)
所以,这张纸对折2次后,厚度为0.4 mm.
(1) 对折2次后,厚度为多少毫米?
对折2次:
对折1次:
每层楼平均高度为3 m,这张纸对折20次后大约有多少层楼高?
对折3次:
对折20次:
220层
220×0.1=104 857.6(mm) =104.857 6 m
104.857 6 ÷3≈35
(2) 假设对折20次,厚度为多少毫米?
这张纸对折20次后大约有35层楼高.
当指数不断增加时,底数为2的幂的增长速度是很快的.
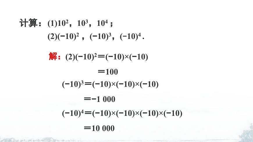
(1)102,103,104 ;(2)(−10)2 ,(−10)3,(−10)4 .
103=10×10×10 =1 000
104=10×10×10×10 =10 000
解:(1)102=10×10 =100
(−10)4=(−10)×(−10)×(−10)×(−10) =10 000
解:(2)(−10)2=(−10)×(−10) =100
(−10)3=(−10)×(−10)×(−10) =−1 000
104=10×10×10×10=10 000
指数等于1后面0的个数.
−10的奇次幂是负数,−10的偶次幂是正数.
10的任何次幂都是正数.
观察一下,底数为10的幂有什么规律?
(−10)4=(−10)×(−10)×(−10)×(−10)=10 000
(−10)3=(−10)×(−10)×(−10)=−1 000
(2)(−10)2=(−10)×(−10)=100
(1)102=10×10=100
103=10×10×10=1 000
正数、负数的幂的特点:
负数的奇次幂是负数, 负数的偶次幂是正数.
正数的任何次幂都是正数.
0的任何正整数次幂都等于0.
(1)(−5)4 (2)(−5)5 (3)−(−5)6 (4)−(−5)7
例1 判断下列各式结果的符号,你能发现什么规律?
负数的奇次幂是负数,负数的偶次幂是正数.
4.一个数的平方是什么数呢?5.如果一个数的平方是正数,那么符合这个条件的数有几个?
2.一个数的平方为1,这个数可能是几呢?
3.一个数的平方为16,这个数可能是几呢?
1.一个数的平方可能是0吗?
底数为互为相反数的两个数(≠0)的幂的关系:(1)互为相反数的两个非零数的同偶次幂相等,即若a+b=0,则a2n=b2n (n为正整数,a≠0,b≠0).(2)互为相反数的两个非零数的同奇次幂仍然互为相反数,即若a+b=0,则a2n−1 +b2n−1=0(n为正整数,a≠0,b≠0)(注:若n为正整数,则通常用2n表示整数,2n-1表示奇数)
归纳:任何一个有理数的偶次幂都是非负数, 即a2n ≥0(n为正整数).
1.下列各式中,值相等的是( )A. 23和32B. −(−2)和−|−2|C. (−2)3和|−2|3D. (−3)3和−33
有理数的乘方运算分两步走:一是确定结果的符号;二是确定结果的绝对值.
2.下列各组数中,互为相反数的是( )A. 23与32B. 110与19C. (−2)3与25D. (−5)6与−56
解: (1) −53 = − (5×5×5) =−125
(2)方法一 −(−2) 4 = − [(−2)×(−2)×(−2)×(−2)] = −16 方法二 −(−2) 4 = −2 4 = −2×2×2×2 = −16
22 −21=2×21−1×21=2123 −22=2×22−1×22=2224 −23=2×23−1×23=23……
请仔细观察,写出第4个等式;(2) 请你找规律,写出第n个等式.
25−24=2×24−1×24=24
(1) ①的面积是____;②的面积是____; ③的面积是____;④的面积是____; ⑤的面积是____;⑥的面积是____;
5.如图,将一个边长为1的正方形纸片分割成6个部分,部分①是边长为1的正方形纸片面积的一半,部分②是部分①面积的一半,部分③是部分②面积的一半,依次类推.
(2) 受此启发,你能求出 的值吗?
相关课件
这是一份北师大版(2024)七年级上册(2024)有理数的加减运算图文课件ppt,共22页。PPT课件主要包含了加法交换律,加法结合律,有理数加法的运算律,有没有简便的算法呢,加法交换律和结合律,同号的两个数先加,同分母分数先加,=27+-24,=31kg等内容,欢迎下载使用。
这是一份北师大版(2024)七年级上册(2024)有理数的加减运算集体备课课件ppt,共30页。PPT课件主要包含了学习目标,新知导入,探究新知,第一个加数,第二个加数,正数+正数,正数+0,正数+负数,+正数,+负数等内容,欢迎下载使用。
这是一份北师大版(2024)七年级上册(2024)有理数的乘方课堂教学ppt课件,共21页。PPT课件主要包含了学习目标,珠穆朗玛峰,新知导入,探究新知,有理数的乘方,h要分裂10次,一次30min,二次1h,三次15h,×2×2等内容,欢迎下载使用。
相关课件 更多
- 1.电子资料成功下载后不支持退换,如发现资料有内容错误问题请联系客服,如若属实,我们会补偿您的损失
- 2.压缩包下载后请先用软件解压,再使用对应软件打开;软件版本较低时请及时更新
- 3.资料下载成功后可在60天以内免费重复下载
免费领取教师福利

