搜索
      上传资料 赚现金

      江苏省连云港市赣榆高级中学经济开发区校区2024-2025学年高一下学期第一次学情监测(3月) 数学试题(含解析)

      • 1.84 MB
      • 2025-04-25 10:55:24
      • 102
      • 0
      • 压轴数学陈老师
      加入资料篮
      立即下载
      江苏省连云港市赣榆高级中学经济开发区校区2024-2025学年高一下学期第一次学情监测(3月) 数学试题(含解析)第1页
      1/21
      江苏省连云港市赣榆高级中学经济开发区校区2024-2025学年高一下学期第一次学情监测(3月) 数学试题(含解析)第2页
      2/21
      江苏省连云港市赣榆高级中学经济开发区校区2024-2025学年高一下学期第一次学情监测(3月) 数学试题(含解析)第3页
      3/21
      还剩18页未读, 继续阅读

      江苏省连云港市赣榆高级中学经济开发区校区2024-2025学年高一下学期第一次学情监测(3月) 数学试题(含解析)

      展开

      这是一份江苏省连云港市赣榆高级中学经济开发区校区2024-2025学年高一下学期第一次学情监测(3月) 数学试题(含解析),共21页。试卷主要包含了单选题,多选题,填空题,解答题等内容,欢迎下载使用。
      (本卷满分150分考试时间120分钟)
      一、单选题
      1. 设,是两个不共线的向量,若向量与向量共线,则( )
      A. B. C. D.
      【答案】B
      【解析】
      【分析】根据向量平行得到方程,求出答案.
      【详解】向量与向量共线,
      设,故,解得.
      故选:B
      2. 已知点,,则与同方向的单位向量为( )
      A. B. C. D.
      【答案】C
      【解析】
      【分析】首先求出,再求出,最后根据与同方向的单位向量为计算可得.
      【详解】因为,,
      所以,则,
      所以与同方向的单位向量为.
      故选:C
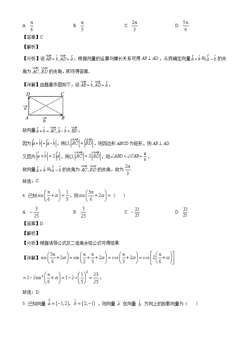
      3. 若两个非零向量满足,则向量与的夹角是( )
      A. B. C. D.
      【答案】C
      【解析】
      【分析】设,根据向量的运算与模长关系可得,从而确定向量与的夹角为的夹角,即可得答案.
      【详解】由题意作图如下,设,

      故向量,
      因为,所以,则四边形ABCD为矩形,则
      又因为,所以,则,
      故向量与的夹角为的夹角,故为.
      故选:C.
      4. 已知,则( )
      A. B. C. D.
      【答案】D
      【解析】
      【分析】根据诱导公式及二倍角余弦公式可得结果.
      【详解】

      故选:D.
      5. 已知向量 ,则向量 在向量 方向上的投影向量为( )
      A. B. C. D.
      【答案】B
      【解析】
      【分析】根据投影向量公式计算即可.
      【详解】因为向量 ,所以,
      向量在向量方向上的投影向量为,
      故选:B.
      6. 在菱形中,,,,,若,则( )
      A. B. C. D.
      【答案】D
      【解析】
      【分析】作出图形,建立如图所示的平面直角坐标系,设, 得到是的中点,根据已知求出再根据即得解.
      详解】
      作出图形,建立如图所示的平面直角坐标系,设,因为
      因为,所以,即是的中点,
      所以
      所以,由题知.

      故选:D
      7. 在斜中,设角、、的对边分别为、、,已知,若是的角平分线,且,则( )
      A. B. C. D.
      【答案】B
      【解析】
      【分析】根据正余弦定理可得,即可根据等面积法可得,利用余弦定理可得,由二倍角公式即可求解.
      【详解】解:由正弦定理可得得,

      由余弦定理可得,
      由于所以,

      由于,所以,
      由于,,
      由余弦定理可得,

      ,,
      ,,

      故选:B
      8. 如图,在扇形OAB中,半径,,C在半径OB上,D在半径OA上,E是扇形弧上的动点(不包含端点),则平行四边形BCDE的周长的取值范围是( )
      A. B.
      C. D.
      【答案】A
      【解析】
      【分析】由于点E在弧上运动,引入恰当的变量,从而表达,再利用正弦定理来表示边,来求得周长关于角的函数,然后求出取值范围;也可以建立以圆心为原点的坐标系,同样设出动点坐标,用坐标法求出距离,然后同样把周长转化为关于角的函数,进而求出取值范围.
      【详解】
      (法一)如图,连接设,则,,
      故.在中,由正弦定理可得,
      则.
      在中,由正弦定理可得,则.
      平行四边形的周长为

      因为,所以,所以,所以,
      所以,则,
      即平行四边形BCDE的周长的取值范围是.
      (法二)以O为原点,所在直线分别为x,y轴,建立平面直角坐标系.
      设,则,,
      从而,,,

      故平行四边形的周长为.
      因为,所以,所以,
      则,即平行四边形的周长的取值范围是.
      故选:A.
      二、多选题
      9. 已知向量,则下列结论正确的是( )
      A. 若,则
      B. 若,则
      C. 若在上的投影向量为,则向量与的夹角为
      D. 的最大值为3
      【答案】ACD
      【解析】
      【分析】应用向量垂直计算判断A,应用向量平行得出正切进而得出角判断B,根据投影向量公式计算得出夹角判断C,应用向量坐标模长公式计算结合正弦值域判断D.
      【详解】对于A,由,得,因此,故A正确;
      对于B,若,则,所以,所以,故B错误;
      对于C,因,,
      由在上的投影向量为,解得,
      又,,故C正确;
      对于D,因,
      故,
      当,即时,
      也即时,取得最大值9,即的最大值为3,故D正确.
      故选:ACD.
      10. 已知点在所在的平面内,则下列命题正确的是( )
      A. 若为的垂心,且,则
      B. 若,则的面积与的面积之比为
      C. 若,则动点的轨迹经过的外心
      D. 若E,F,G分别为,,的中点,且,,则的最大值为
      【答案】ACD
      【解析】
      【分析】A将转化为,然后求数量积;B将拆成,然后根据线性运算得到,然后求面积比即可;C由题意得,然后根据得到,即可得到动点的轨迹经过的外心;D根据得到点的轨迹,将转化为,然后求数量积,根据点的轨迹求最值.
      【详解】A选项,,故A正确;
      B选项,设中点为,中点为,
      ,即,
      所以点为中位线靠近点的三等分点,所以,故B错;
      C选项,设中点为,则,
      结合题设
      所以,所以,
      又的中点为,所以在的中垂线上,
      所以动点的轨迹经过的外心,故C正确;
      D选项,设中点为,
      因为,所以点的轨迹为以为直径的圆,
      结合上图,
      ,
      当为直径时最大,最大为,故D正确.
      故选:ACD.
      【点睛】方法点睛:数量积的计算方法(1)定义法;(2)坐标法;(3)转化法;(4)几何意义法.
      11. 窗花是贴在窗户上的剪纸,是中国古老的传统民间艺术之一.图1是一个正八边形窗花,图2是从窗花图中抽象出的几何图形的示意图.已知正八边形的边长为,是正八边形边上任意一点,则下列结论正确的是( )
      A. 在上的投影向量为
      B.
      C. 的最大值为2
      D. 若在线段上(含端点),且,则取值范围为
      【答案】BCD
      【解析】
      【分析】选项A,延长,交的延长线于点,求出 在上的投影向量即可;
      选项B,由正八边形的几何性质知,,利用向量求夹角的余弦值即可;
      选项C,取中点,中点,根据,,求解即可;选项D,根据向量的线性运算可得,由于,即可求解最大,.
      【详解】解:对于A,延长,交的延长线于点,则,则故,
      所以 在 上的投影向量为,,选项A错误;
      对于B,由正八边形的几何性质知,所以,故,所以,所以,选项B正确;
      对于C,取中点,中点,则,,
      所以,因为为的中点,
      所以,因为是正八边形边上任意一点,
      所以当点位于正八边形顶点时,最大,不妨设点与点重合,
      此时,
      即的最大值为,所以的最大值为,选项C正确;
      对于D,,,其中,
      由于,
      进而可得,
      所以,
      由于,故,D正确.
      故选:BCD.
      三、填空题
      12. 若向量,,与的夹角为钝角,则实数的取值范围是_________
      【答案】
      【解析】
      【分析】根据向量夹角为钝角的条件,借助数量积公式来确定实数的取值范围.
      【详解】因为向量,,与的夹角为钝角,
      所以且,即且,
      即实数取值范围是.
      故答案为:.
      13. _________.
      【答案】
      【解析】
      【分析】根据同角三角函数的基本关系,结合诱导公式、和角公式及二倍角公式计算可得结果.
      【详解】
      .
      故答案为:.
      14. 如图,在边长为3的正方形ABCD中,,若P为线段BE上的动点,则的最小值为 _________________.
      【答案】
      【解析】
      【分析】建立平面直角坐标系,利用坐标运算求得最值.
      【详解】解:在正方形中,建立如图所示坐标系,
      由正方形边长3且,
      可得,
      设,,则,
      则,
      故,
      故当时,取得最小值为.
      故答案为:.
      四、解答题
      15. 在中,角A,B,C所对的边分别为a,b,c,已知.
      (1)求角B的大小;
      (2)若,且为锐角三角形,求的周长的取值范围.
      【答案】(1);
      (2).
      【解析】
      【分析】(1)利用正弦定理将边化角,再由两角和的正弦公式及诱导公式得到,即可得解;
      (2)利用正弦定理将转化为关于A的三角函数,结合三角形为锐角三角形求出A的范围,即可求出的范围得解.
      【小问1详解】
      因为,
      由正弦定理可得,

      ,则,,又,;
      【小问2详解】
      在中,由正弦定理,


      又为锐角三角形,,
      ,,
      ,,,
      故周长的取值范围为.
      16. 已知函数的最大值为3.
      (1)若的定义域为,求的单调递增区间;
      (2)若,,求的值.
      【答案】(1)单调递增区间为和
      (2)
      【解析】
      【分析】(1)利用二倍角公式将化简并利用最值可得,再由三角函数单调性解不等式即可求得单调递增区间;
      (2)代入解析式可求得,再根据同角三角函数之间的基本关系以及二倍角等公式即可求得结果.
      【小问1详解】
      将化简可得,
      因为,所以.
      此时,
      当时,
      令.得;
      令,得,
      所以的单调递增区间为和.
      【小问2详解】
      由(1)知.
      由,得,
      所以.又因为.所以,
      所以.
      所以,

      所以
      .
      17. 已知,与的夹角为,为外接圆上一点,与线段交于点.
      (1)若,求;
      (2)设.
      (ⅰ)试用的函数表示;
      (ⅱ)求的取值范围.
      【答案】(1)1; (2)(ⅰ);(ⅱ).
      【解析】
      【分析】(1)根据给定条件,利用表示,再利用数量积的定义及运算律计算即得.
      (2)(ⅰ)由(1)及向量数量得,利用直角三角形边角关系求解即得;(ⅱ)利用正弦定理求得,再利用数量积的定义,结合三角恒等变换求解.
      【小问1详解】
      依题意,,,


      因此
      .
      【小问2详解】
      (ⅰ)由(1)得,,则,
      连接,当与不重合时,为直角三角形,则,
      则,当与重合时,上式也成立,
      所以.
      (ii)四边形为圆内接四边形,则,,
      因此的夹角为,当与都不重合时,在中,由正弦定理得:
      ,则,当与之一重合时,上式成立,于是,

      由,得,则,
      所以.
      【点睛】思路点睛:用向量基本定理解决问题的一般思路是:先选择一组基底,并运用该基底将条件和结论表示成向量的形式,再通过向量的运算来解决.
      18. 如图,在平面四边形中,,,,.

      (1)若,求的值;
      (2)若,,求AD的长.
      【答案】(1)
      (2)
      【解析】
      【分析】(1)在中利用余弦定理求出,再由余弦定理求出.
      (2)由,及,再结合正弦定理求.
      【小问1详解】
      在中由余弦定理,
      即,所以,
      再由余弦定理,
      即,解得.
      【小问2详解】
      在中由正弦定理可得,
      所以,
      在中正弦定理可得,所以,
      而,故,故,
      故,
      又,显然为锐角,
      所以,,即,,


      在中由正弦定理,
      则.
      19. 在路边安装路灯,灯柱与地面垂直(满足),灯杆与灯柱所在平面与道路垂直,且,路灯采用锥形灯罩,射出的光线如图中阴影部分所示,已知,路宽.设灯柱高,.
      (1)当时,求四边形的面积;
      (2)求灯柱的高(用表示);
      (3)若灯杆与灯柱所用材料相同,记此用料长度和为,求关于的函数表达式,并求出的最小值.
      【答案】(1)
      (2)
      (3),最小值为
      【解析】
      【分析】(1)由三角形角的关系结合正弦定理可得各边长,再由可得解;
      (2)分别在与中由正弦定理化简即可得解;
      (3)根据正弦定理分别表示各边长及,再根据三角函数求值域的方法可得最值.
      【小问1详解】
      当时,,
      所以,

      所以是等边三角形,所以,
      所以中,,即,
      所以;
      【小问2详解】
      ,,,
      在中,由正弦定理得,
      所以
      所以
      在中,由正弦定理得,
      所以,
      所以,所以;
      【小问3详解】
      在中,由正弦定理得,
      所以,
      所以
      所以

      因为,所以,
      所以当,即时,取最小值,
      故关于的函数表达式为,最小值为.

      相关试卷

      江苏省连云港市赣榆高级中学经济开发区校区2024-2025学年高一下学期第一次学情监测(3月) 数学试题(含解析):

      这是一份江苏省连云港市赣榆高级中学经济开发区校区2024-2025学年高一下学期第一次学情监测(3月) 数学试题(含解析),共21页。试卷主要包含了单选题,多选题,填空题,解答题等内容,欢迎下载使用。

      江苏省连云港市赣榆高级中学等校2024-2025学年高一下学期3月学情检测 数学试题(含解析):

      这是一份江苏省连云港市赣榆高级中学等校2024-2025学年高一下学期3月学情检测 数学试题(含解析),共18页。试卷主要包含了单选题,多选题,填空题,解答题等内容,欢迎下载使用。

      2024-2025学年江苏省连云港市赣榆高级中学等校高一下学期3月学情检测数学试卷(含答案):

      这是一份2024-2025学年江苏省连云港市赣榆高级中学等校高一下学期3月学情检测数学试卷(含答案),共8页。试卷主要包含了单选题,多选题,填空题,解答题等内容,欢迎下载使用。

      资料下载及使用帮助
      版权申诉
      • 1.电子资料成功下载后不支持退换,如发现资料有内容错误问题请联系客服,如若属实,我们会补偿您的损失
      • 2.压缩包下载后请先用软件解压,再使用对应软件打开;软件版本较低时请及时更新
      • 3.资料下载成功后可在60天以内免费重复下载
      版权申诉
      若您为此资料的原创作者,认为该资料内容侵犯了您的知识产权,请扫码添加我们的相关工作人员,我们尽可能的保护您的合法权益。
      入驻教习网,可获得资源免费推广曝光,还可获得多重现金奖励,申请 精品资源制作, 工作室入驻。
      版权申诉二维码
      月考专区
      • 精品推荐
      • 所属专辑62份
      欢迎来到教习网
      • 900万优选资源,让备课更轻松
      • 600万优选试题,支持自由组卷
      • 高质量可编辑,日均更新2000+
      • 百万教师选择,专业更值得信赖
      微信扫码注册
      手机号注册
      手机号码

      手机号格式错误

      手机验证码 获取验证码 获取验证码

      手机验证码已经成功发送,5分钟内有效

      设置密码

      6-20个字符,数字、字母或符号

      注册即视为同意教习网「注册协议」「隐私条款」
      QQ注册
      手机号注册
      微信注册

      注册成功

      返回
      顶部
      学业水平 高考一轮 高考二轮 高考真题 精选专题 初中月考 教师福利
      添加客服微信 获取1对1服务
      微信扫描添加客服
      Baidu
      map