搜索
      上传资料 赚现金

      中职高考数学一轮复习讲练测5.2 同角三角函数的关系及诱导公式(练)(2份,原卷版+解析版)

      • 271.89 KB
      • 2025-03-05 11:42:52
      • 104
      • 0
      • 夏天MOSS
      加入资料篮
      立即下载
      查看完整配套(共2份)
      包含资料(2份) 收起列表
      原卷
      中职高考数学一轮复习讲练测5.2 同角三角函数的关系及诱导公式(练)(原卷版).doc
      预览
      解析
      中职高考数学一轮复习讲练测5.2 同角三角函数的关系及诱导公式(练)(解析版).doc
      预览
      正在预览:中职高考数学一轮复习讲练测5.2 同角三角函数的关系及诱导公式(练)(原卷版).doc
      中职高考数学一轮复习讲练测5.2 同角三角函数的关系及诱导公式(练)(原卷版)第1页
      高清全屏预览
      1/5
      中职高考数学一轮复习讲练测5.2 同角三角函数的关系及诱导公式(练)(原卷版)第2页
      高清全屏预览
      2/5
      中职高考数学一轮复习讲练测5.2 同角三角函数的关系及诱导公式(练)(解析版)第1页
      高清全屏预览
      1/7
      中职高考数学一轮复习讲练测5.2 同角三角函数的关系及诱导公式(练)(解析版)第2页
      高清全屏预览
      2/7
      中职高考数学一轮复习讲练测5.2 同角三角函数的关系及诱导公式(练)(解析版)第3页
      高清全屏预览
      3/7
      还剩3页未读, 继续阅读

      中职高考数学一轮复习讲练测5.2 同角三角函数的关系及诱导公式(练)(2份,原卷版+解析版)

      展开

      这是一份中职高考数学一轮复习讲练测5.2 同角三角函数的关系及诱导公式(练)(2份,原卷版+解析版),文件包含中职高考数学一轮复习讲练测52同角三角函数的关系及诱导公式练原卷版doc、中职高考数学一轮复习讲练测52同角三角函数的关系及诱导公式练解析版doc等2份试卷配套教学资源,其中试卷共12页, 欢迎下载使用。
      1.已知,且为第一象限角,则( )
      A.B.C.D.
      2.若,,则角的终边在( )
      A.第一象限B.第二象限C.第三象限D.第四象限
      3.已知,,则( )
      A.B.2C.D.
      4.( )
      A.B.C.D.
      5.已知,则( )
      A.B.C.D.
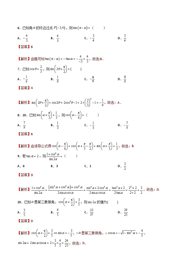
      6.已知角的终边过点,则( )
      A.B.C.D.
      7.已知,则( )
      A.B.C.D.
      8.10.已知,则( )
      A.B.C.D.
      9.若,则( )
      A.6B.3C.1D.
      10.已知是第三象限角,,则的值为( )
      A.B.C.D.
      二、填空题
      11.若为第二象限角,且,则 .
      12.已知角的终边经过点,则 .
      13.已知,则 .
      14.角是第二象限角,,则 .
      15.已知,且,则 .
      16.已知,则的值为 .
      17.若,则的值为 .
      18.若,则 .
      三、解答题
      19.已知,求的值;
      20.化简:.
      21.已知,求值:(1);(2).
      22.已知,且在第三象限,
      (1)和
      (2).
      23.在平面直角坐标系中,角的顶点与坐标原点重合,始边与轴的非负半轴重合,终边交单位圆于点
      (1)求的值;
      (2)求的值.
      24.已知.
      (1)化简;
      (2)若,且是第二象限角,求的值.

      相关试卷

      中职高考数学一轮复习讲练测5.2 同角三角函数的关系及诱导公式(练)(2份,原卷版+解析版):

      这是一份中职高考数学一轮复习讲练测5.2 同角三角函数的关系及诱导公式(练)(2份,原卷版+解析版),文件包含中职高考数学一轮复习讲练测52同角三角函数的关系及诱导公式练原卷版doc、中职高考数学一轮复习讲练测52同角三角函数的关系及诱导公式练解析版doc等2份试卷配套教学资源,其中试卷共12页, 欢迎下载使用。

      中职高考数学一轮复习讲练测5.2 同角三角函数的关系及诱导公式(讲)(2份,原卷版+解析版):

      这是一份中职高考数学一轮复习讲练测5.2 同角三角函数的关系及诱导公式(讲)(2份,原卷版+解析版),文件包含中职高考数学一轮复习讲练测52同角三角函数的关系及诱导公式讲原卷版doc、中职高考数学一轮复习讲练测52同角三角函数的关系及诱导公式讲解析版doc等2份试卷配套教学资源,其中试卷共16页, 欢迎下载使用。

      【备战2024年中职高考】中职数学 二轮复习 专题训练 专题12 同角三角函数关系及诱导公式-练习:

      这是一份【备战2024年中职高考】中职数学 二轮复习 专题训练 专题12 同角三角函数关系及诱导公式-练习,共9页。试卷主要包含了同角三角函数的基本关系, 三角函数的诱导公式,切化弦法,互余与互补,已知三角函数值求角的方法等内容,欢迎下载使用。

      资料下载及使用帮助
      版权申诉
      • 1.电子资料成功下载后不支持退换,如发现资料有内容错误问题请联系客服,如若属实,我们会补偿您的损失
      • 2.压缩包下载后请先用软件解压,再使用对应软件打开;软件版本较低时请及时更新
      • 3.资料下载成功后可在60天以内免费重复下载
      版权申诉
      若您为此资料的原创作者,认为该资料内容侵犯了您的知识产权,请扫码添加我们的相关工作人员,我们尽可能的保护您的合法权益。
      入驻教习网,可获得资源免费推广曝光,还可获得多重现金奖励,申请 精品资源制作, 工作室入驻。
      版权申诉二维码
      欢迎来到教习网
      • 900万优选资源,让备课更轻松
      • 600万优选试题,支持自由组卷
      • 高质量可编辑,日均更新2000+
      • 百万教师选择,专业更值得信赖
      微信扫码注册
      手机号注册
      手机号码

      手机号格式错误

      手机验证码 获取验证码 获取验证码

      手机验证码已经成功发送,5分钟内有效

      设置密码

      6-20个字符,数字、字母或符号

      注册即视为同意教习网「注册协议」「隐私条款」
      QQ注册
      手机号注册
      微信注册

      注册成功

      返回
      顶部
      精选专题 初中月考 教师福利
      添加客服微信 获取1对1服务
      微信扫描添加客服
      Baidu
      map