





所属成套资源:新高考数学一轮复习讲与练 (基础版)(2份,原卷版+解析版)
新高考数学一轮复习讲与练3.4.2 三角函数的性质(2)(精练)(基础版)(2份,原卷版+解析版)
展开 这是一份新高考数学一轮复习讲与练3.4.2 三角函数的性质(2)(精练)(基础版)(2份,原卷版+解析版),文件包含新高考数学一轮复习讲与练342三角函数的性质2精练基础版原卷版doc、新高考数学一轮复习讲与练342三角函数的性质2精练基础版解析版doc等2份试卷配套教学资源,其中试卷共32页, 欢迎下载使用。
1.(2022·湖北省广水市实验高级中学)若函数(,)的部分图象如图所示,则的值是( )
A.B.C.D.
2(2022·安徽省宣城中学高三开学考试)已知函数的部分图象如图所示,其中,,则函数的单调递增区间为( )
A.B.
C.D.
3.(2022·河南·南阳中学)函数的部分图象如图所示,则可能是( )
A.B.
C.D.
4.(2022·福建福州·高三期末)已知函数的部分图象如图所示,则的单调递增区间为( )
A.,B.,
C.,D.,
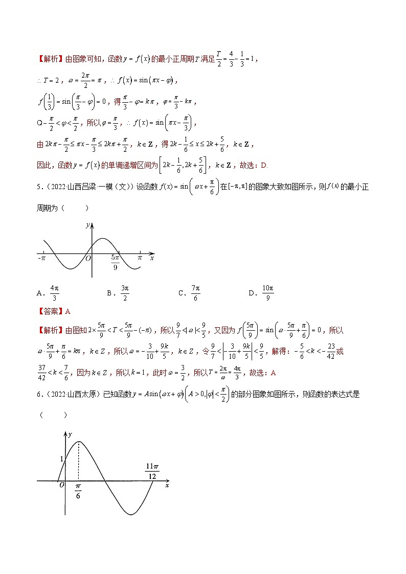
5.(2022·山西吕梁·一模(文))设函数在的图象大致如图所示,则的最小正周期为( )
A.B.C.D.
6.(2022·山西太原)已知函数的部分图象如图所示,则函数的表达式是( )
A.B.
C.D.
7.(2022·四川宜宾)函数的部分图象如图所示,则( )
A.B.C.D.
8.(2022·四川内江)已知函数的部分图象如图所示,则函数的单调递减区间为( )
A.,B.,
C.,D.,
9.(2022·广东深圳)如图是函数的部分图象,则下列说法正确的是( )
A.B.
C.D.
10.(2022·江苏·徐州市第七中学高三阶段练习)已知函数的部分图象如图所示,则( )
A.B.
C.D.
11.(2022·四川泸州)已知函数的部分图象如图所示,则( )
A.,B.,
C.,D.,
12.(2022·北京东城)某同学用“五点法”画函数在一个周期内的简图时,列表如下:
则的解析式为( )A.B.
C.D.
13.(2022·河南郑州·高三阶段练习(文))已知函数的部分图象如图所示,则下列说法错误的是( )
A.函数
B.函数的图象关于中心对称
C.函数的图象可由函数的图象向左平移个单位得到
D.函数在上单调递减
14.(2022·全国·高三专题练习)已知函数的部分图象如下图所示,若,,将函数的图象向左平移个单位长度后得到函数的图象,则函数的单调递增区间为( )
A.B.
C.D.
题组二 定义域
1.(2022·全国·高三专题练习)函数定义域为( )
A.B.
C.D.
2.(2022·全国·高三专题练习)函数的定义域为( )
A.B.
C.D.
3.(2022·湖南·长沙市明德中学)函数的定义域为
A.B.
C.D.
4.(2022·全国·课时练习)函数的定义域为( )
A.B.C.D.
5.(2021·北京市朝阳区人大附中朝阳分校)函数的定义域为__________.
6.(2022·甘肃张掖)函数定义域为____.
7.(2022·全国·高三专题练习)函数的定义域为________________.
8.(2021·陕西·长安一中高三阶段练习)函数的定义域为___________.
9.(2022·全国·高三专题练习)函数的定义域是____________.
10.(2022·全国·高三专题练习)函数的定义域是________.
11.(2022·甘肃)设函数,则的定义域为__________.
题组三 值域
1.(2022·陕西咸阳·二模(理))函数的最小值为( )
A.1B.C.D.
2.(2022·宁夏吴忠·模拟预测(文))函数在区间上的最大值是( )
A.1B.2C.D.3
3.(2022·北京·模拟预测)已知函数,,则( )
A.最大值为2,最小值为1 B.最大值为,最小值为1
C.最大值为,最小值为1 D.最大值为,最小值为
4.(2022·安徽滁州·二模(理))已知函数的最小正周期为,则在区间上的值域为( )
A.B.
C.D.
5.(2022·山西·怀仁市第一中学校二模)若将的图象向左平移个单位长度后得到函数的图象,则在上的最小值为( )
A.B.
C.D.2
6.(2022·全国·高三开学考试)函数的最大值为( )
A.2B.3C.4D.5
7.(2022·安徽·合肥一中高三阶段练习)将函数f(x)=sinx的图象向右平移个单位长度后得到函数g(x)的图象.则函数y=f(x)·g(x)的最大值为( )
A.B.C.D.
8.(2022·北京二中)函数在上的最小值是______.
9.(2021·江苏)已知函数和的图象完全相同,若,则的取值范围是______.
10.(2022·陕西渭南·二模(文))已知函数的部分图象如图所示,则时,函数的值域为___________.
11.(2022·北京·清华附中朝阳学校)已知函数.
(1)求的最小正周期;
(2)求的单调增区间;
(3)函数在区间上的值域为,求实数m的取值范围;
题组四 伸缩平移
1.(2022·重庆巴蜀中学高三阶段练习)将函数的图象向右平移个单位长度得到函数的图象,则( )
A.B.
C.D.
2.(2022·广东·高三开学考试)想要得到的图像,只需要将的图像( )
A.向左平移个单位B.向右平移个单位
C.向左平移个单位D.向右平移个单位
3.(2022·全国·高三专题练习)要得到的图象,需将的图象( )
A.向右平移个单位B.向左平移个单位
C.向右平移个单位D.向左平移个单位
4.(2022·全国·模拟预测)为了得到函数的图象,可以将函数的图象( )
A.向左平移个单位B.向右平移个单位
C.向左平移个单位D.向右平移个单位
5.(2022·云南·一模(理))为得到函数的图象,只需要将函数的图象( )
A.向左平移个单位B.向左平移个单位
C.向右平移个单位D.向右平移个单位
6.(2022·重庆·模拟预测)已知曲线:的部分图象如图所示,要得到曲线的图象,可将曲线的图象( )
A.先向右平移个单位长度,再将各点的横坐标缩短到原来的倍,纵坐标不变
B.先向右平移个单位长度,再将各点的横坐标伸长到原来的2倍,纵坐标不变
C.先向左平移个单位长度,再将各点的横坐标缩短到原来的倍,纵坐标不变
D.先向左平移个单位长度,再将各点的横坐标伸长到原来的2倍,纵坐标不变
7.(2022·江西·临川一中模拟预测)把函数图象上所有点的横坐标伸长到原来的2倍,纵坐标不变,再把所得曲线向右平移个单位长度,得到函数的图象,则( )
A.B.C.D.
8.(2022·四川宜宾·二模)已知,将函数的图象向右平移个单位得到,则使得函数是偶函数的的最小值是( )
A.B.C.D.
9.(2022·全国·哈师大附中模拟预测)将函数图象上各点的横坐标伸长为原来的2倍,再向右平移个单位,所得图象对应的函数( )
A.在区间上单调递增 B.在区间(,)上单调递减
C.图象关于点(,0)对称 D.图象关于直线对称
10.(2022·安徽滁州·二模(文))若将函数图象上各点的横坐标缩短到原来的(纵坐标不变),再向下平移一个单位得到函数的图象,则函数( )
A.图象关于点对称B.图象关于对称
C.在上单调递减D.最小正周期是0
x
y
0
2
0
0
相关试卷 更多
- 1.电子资料成功下载后不支持退换,如发现资料有内容错误问题请联系客服,如若属实,我们会补偿您的损失
- 2.压缩包下载后请先用软件解压,再使用对应软件打开;软件版本较低时请及时更新
- 3.资料下载成功后可在60天以内免费重复下载
免费领取教师福利 

.png)




