所属成套资源:备战2025数学中考二次函数综合压轴题目最新考法--专项训练
数学中考二次函数综合压轴专题训练 参考地区:天津市第25题
展开
这是一份数学中考二次函数综合压轴专题训练 参考地区:天津市第25题,文件包含数学中考二次函数综合压轴题参考地区天津市第25题原卷版doc、数学中考二次函数综合压轴题参考地区天津市第25题解析版doc等2份试卷配套教学资源,其中试卷共65页, 欢迎下载使用。
(2)当OM=OP=时,求a的值;
(3)若N是抛物线上的点,且点N在第四象限,∠MDN=90°,DM=DN,点E在线段MN上,点F在线段DN上,NE+NF=DM,当DE+MF取得最小值为时,求a的值.
【解析】解:,得.又,
该抛物线的解析式为.
,
该抛物线顶点的坐标为;
(2)过点作轴,垂足为,
则.
在中,由,
.
解得(舍).
点的坐标为.
,即.
抛物线的对称轴为.
对称轴与轴相交于点,则.
在中,由,
.
解得(正值舍去).
由,得该抛物线顶点的坐标为.
该抛物线的解析式为.
点在该抛物线上,有.
;
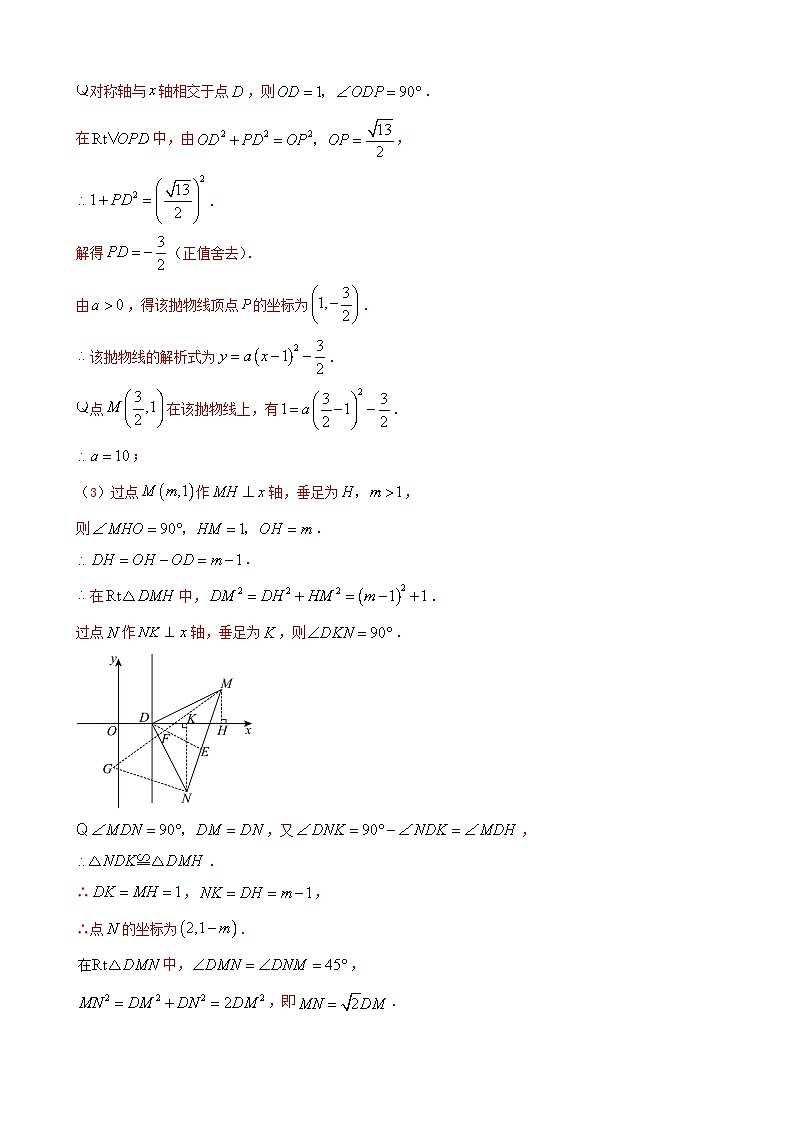
(3)过点作轴,垂足为,
则.
.
在中,.
过点作轴,垂足为,则.
,又,
.
∴,,
∴点的坐标为.
中,,
,即.
根据题意,,得.
在的外部,作,且,连接,
得.
.
∴.
.
当满足条件的点落在线段上时,取得最小值,即.
在中,,
.得.
.解得(舍).
点的坐标为,点的坐标为.
点都在抛物线上,
得.
.
已知抛物线y=-x2+bx+c(b,c为常数,b>0)与x轴相交于A(-1,0),B两点(点A在点B的左侧),与y轴相交于点C.
(1)若点C的坐标为(0,3),求该抛物线的顶点坐标;
(2)当BC=AB时,求b的值;
(3)若点D(b-2,y)为x轴上方对称轴右侧抛物线上的一个动点,M为y轴正半轴上的一点,过点M作抛物线对称轴的垂线,垂足为N,连接DN,BM,当DN+BM的最小值为17时,求b的值.
【解析】(1)解:将,代入抛物线解析式得,解得:,
∴抛物线解析式为,
∵,
∴抛物线的顶点为;
(2)解:将代入抛物线解析式得:,
∴,
∴抛物线解析式为,
当时,,即,
设点,
∵抛物线的对称轴为直线,
∴,
∴,即,
∴,,
∵,
∴,
解得:或,
∵,
∴;
(3)解:由(2)可得:抛物线的对称轴为直线,抛物线解析式为,,
∵点为轴上方对称轴右侧抛物线上的一个动点,
∴,,
∴,,
作点关于对称轴的对称点,则,
∴,即,
将点向右平移个单位长度得到,则,,
∵为轴正半轴上的一点,过点作抛物线对称轴的垂线,垂足为,
∴设,则,,
∴,
∴四边形是平行四边形,
∴,
∴,
连接,当点、、在同一直线上时,的值最小,即的值最小,为,
∵的最小值为17,
∴,整理得:,
∴,
解得:或(不符合题意,舍去),
∴.
已知抛物线y=-x2+2mx+c(m,c为常数,且m>0),与x轴交于点A(-1,0),B两点,与y轴相交于点C.
(1)当m=1时,求抛物线的顶点坐标;
(2)点M为抛物线对称轴上一点,点M的纵坐标为,若MB=MC,求抛物线的解析式:
(3)当m>1时,抛物线的对称轴与x轴交于点D,过点作直线l垂直于y轴,垂足为E,Q为直线l上一动点,N为线段CP上一动点,当DQ+QN的最小值为时,求m的值.
【解析】(1)解:当时,抛物线的解析式为.
抛物线与轴交于点,
,得.
抛物线的解析式为.
,
所以抛物线的顶点坐标为.
(2)抛物线与轴交于点,
,得.
抛物线的解析式为.
可得抛物线的对称轴为直线,,.
由对称性可知,点的坐标为.
,,
因为,有
解得,(舍).
抛物线的解析式为.
(3)点,点,
得直线的解析式为.
设直线与抛物线的对称轴相交于点,则.
作点关于直线的对称点,则,
.
过D´作,垂足为,与直线相交于点,
此时取得最小值,即.
在中,,,
由,得.
在中,,有.
.
解得.
抛物线y=-x2+bx+c(b,c为常数,b>0)经过点A(-1,0).
(1)当b=2时,
①求抛物线的顶点坐标;
②如图1,抛物线y=-x2+2x+3与x轴交于A,B两点(点A在点B的左侧),与y轴交于点C,若点E的坐标为(1,0),∠POC+∠OCE=45°,求点P的坐标;
(2)如图2.点M(t,0)是x轴正半轴上的动点,点在抛物线上,当的最小值为时,直接写出抛物线解析式.
【解析】(1)解:①当时,即抛物线,
把代入,解得:,
抛物线解析式为,
抛物线的顶点坐标为;
②过点C作,过点E作,交于点F,过点F作轴于点H,
,
,
,即,
为等腰直角三角形,
,
,
,
在中,令得,
,
,
,,,
由,可得直线的解析式为,
,
直线的解析式为,联立
,
解得:或,
∵点P为第一象限内抛物线上的一点,
;
(2)解:过点作直线,过点M作于点H,过点Q作于N,交x轴于点T,过Q作交x轴于点G,过A作于K,如图:
∵直线l为,,
是等腰直角三角形,
,
∴,
由垂线段最短可得,最小值为的长度,
的最小值为,
∴,,即点Q到直线l的距离为,
,
,
,
是等腰直角三角形,
,
,
,
设直线解析式为,
把代入得:,解得,
∴直线解析式为,
把代入得:,
,
,
把代入,得:,
∴,
把代入,
得,
解得:,
,
∴抛物线解析式为.
在平面直角坐标系中,点O(0,0),A(-3,0),B(3,0).已知抛物线y=ax2-5ax+4(a为常数,a≠0),与y轴相交于点C,P为顶点.
(1)当抛物线过点A时,求该抛物线的顶点P的坐标;
(2)若点P在x轴上方,当∠POB=45°时,求a的值;
(3)在(1)的情况下,连接AC,BC,点E,点F分别是线段CO,BC上的动点,且CE=BF,连接AE,AF,求AE+AF的最小值,并求此时点E和点F的坐标.
【解析】(1)解:∵抛物线经过点,
∴,解得.
∴抛物线的解析式为.
∴该抛物线的顶点为.
(2)解:∵抛物线的顶点的坐标为.
由点在轴上方,时,知点在第一象限.
过点作轴于点,
则.
可知,即,解得.
(3)解:过点作轴,且使得,连接,
可证得,
∴.
∴.
当,,三点共线时,取得最小值.
∴
∴的最小值为.
此时点是与的交点,
∵,,∴直线为,
∵,,∴直线为,
∴解得,
∴直线与直线的交点,
∴,
∴.
∴.
∴
∴的最小值为,此时,.
已知抛物线y=ax2+4ax-12a(a为常数,a0)的顶点为P,与x轴相交于点A(-1,0)和点B.
(1)若b=-2,c= -3,
①求点P的坐标;
②直线x=m(m是常数,1
相关试卷
这是一份数学中考二次函数综合压轴题专题训练 参考地区:广西省,文件包含数学中考二次函数综合压轴题参考地区广西省原卷版doc、数学中考二次函数综合压轴题参考地区广西省解析版doc等2份试卷配套教学资源,其中试卷共58页, 欢迎下载使用。
这是一份数学中考二次函数综合压轴题专题训练 参考地区:河南省,文件包含数学中考二次函数综合压轴题参考地区河南省原卷版doc、数学中考二次函数综合压轴题参考地区河南省解析版doc等2份试卷配套教学资源,其中试卷共41页, 欢迎下载使用。
这是一份数学中考二次函数综合压轴专题训练参考地区:陕西省第25题,文件包含数学中考二次函数综合压轴题参考地区陕西省第25题原卷版doc、数学中考二次函数综合压轴题参考地区陕西省第25题解析版doc等2份试卷配套教学资源,其中试卷共48页, 欢迎下载使用。

