高三数学一轮复习第八章解析几何培优专题一4简单的圆锥曲线综合问题课件
展开类型1 圆锥曲线中的最值、范围问题[培优技法] 利用代数法解决最值或范围问题时常用的五个策略(1)利用判别式来构造不等关系,从而确定参数的取值范围.(2)利用已知参数的范围,求新参数的范围,解这类问题的核心是在两个参数之间建立等量关系.(3)利用隐含或已知的不等关系建立不等式,从而求出参数的取值范围.(4)利用基本不等式求出参数的取值范围.(5)利用函数值域的求法,确定参数的取值范围.
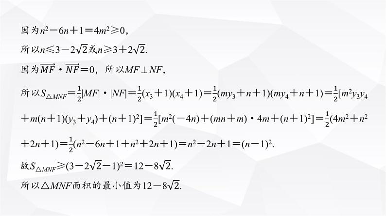
点拨 根据对称性可推测出当直线MN与x轴垂直时△MNF的面积最小,知道结论后再进行验证,思路会更加清晰.本题考查直线与抛物线的位置关系、向量的数量积等知识,考查数形结合思想、转化与化归思想,体现了逻辑推理、数学运算等核心素养.试题难度:中.
类型2 圆锥曲线中的定点问题[培优技法] 求解直线或曲线过定点问题的基本思路(1)把直线或曲线方程中的变量x,y当作常数看待,把方程一端化为零,既然是过定点,那么这个方程就要对任意参数都成立,这时参数的系数就要全部等于零,这样就得到一个关于x,y的方程组,这个方程组的解所确定的点就是直线或曲线所过的定点.(2)由直线方程确定其过定点时,若得到了直线方程的点斜式y-y0=k(x-x0),则直线必过定点(x0,y0);若得到了直线方程的斜截式y=kx+m,则直线必过定点(0,m).
类型3 圆锥曲线中的定值问题[培优技法] 圆锥曲线中的定值问题的常见类型及解题策略(1)求代数式为定值:依题意设条件,得出与代数式参数有关的等式,代入代数式,化简即可得出定值;(2)求点到直线的距离为定值:利用点到直线的距离公式得出距离的解析式,再利用题设条件化简、变形求得;(3)求某线段长度为定值:利用长度公式求得解析式,再依据条件对解析式进行化简、变形即可求得.
类型4 圆锥曲线中的定直线问题[培优技法] 定直线问题是指因图形变化或点的移动而产生的动点在定直线上的问题.这类问题的核心在于确定动点的轨迹,主要方法有:(1)设点法:设出动点坐标,通过已知点轨迹,消去参数,从而得到动点轨迹是直线;(2)待定系数法:设出含参数的直线方程,待定系数法求解出系数;(3)验证法:通过特殊点位置求出直线方程,对一般位置再进行验证.
类型5 圆锥曲线中的证明、探索性问题[培优技法] 圆锥曲线中的常见证明问题(1)位置关系方面的:如证明直线与曲线相切,直线间的平行、垂直,直线过定点等.(2)数量关系方面的:如存在定值、恒成立、相等等.在熟悉圆锥曲线的定义与性质的前提下,一般采用直接法,通过相关的代数运算证明.
点拨 几种常见几何条件的转化如下:(1)平行四边形条件的转化
高三数学一轮复习第八章解析几何培优专题一3与圆有关的综合问题课件: 这是一份高三数学一轮复习第八章解析几何培优专题一3与圆有关的综合问题课件,共12页。
2025版高考数学全程一轮复习第八章解析几何专题培优课高考中的圆锥曲线压轴小题课件: 这是一份2025版高考数学全程一轮复习第八章解析几何专题培优课高考中的圆锥曲线压轴小题课件,共51页。PPT课件主要包含了答案D,答案B,答案A,答案CD,答案ACD,答案C等内容,欢迎下载使用。
2025版高考数学一轮总复习第八章平面解析几何专题突破16圆锥曲线综合问题课件: 这是一份2025版高考数学一轮总复习第八章平面解析几何专题突破16圆锥曲线综合问题课件,共54页。PPT课件主要包含了考点二定值问题,考点三定点问题等内容,欢迎下载使用。

