- 2025年高考数学一轮复习(基础版)课时精讲第5章 §5.1 平面向量的概念及线性运算(2份打包,原卷版+含解析) 试卷 0 次下载
- 2025年高考数学一轮复习(基础版)课时精讲第5章 §5.2 平面向量基本定理及坐标表示(2份打包,原卷版+含解析) 试卷 0 次下载
- 2025年高考数学一轮复习(基础版)课时精讲第5章 §5.4 复 数(2份打包,原卷版+含解析) 试卷 0 次下载
- 2025年高考数学一轮复习(基础版)课时精讲第6章 §6.1 数列的概念(2份打包,原卷版+含解析) 试卷 0 次下载
- 2025年高考数学一轮复习(基础版)课时精讲第6章 §6.2 等差数列(2份打包,原卷版+含解析) 试卷 0 次下载
2025年高考数学一轮复习(基础版)课时精讲第5章 §5.3 平面向量的数量积(2份打包,原卷版+含解析)
展开1.理解平面向量数量积的含义及其几何意义.
2.了解平面向量的数量积与投影向量的关系.
3.掌握数量积的坐标表达式,会进行平面向量数量积的运算.
4.能运用数量积表示两个向量的夹角,会用数量积判断两个平面向量的垂直关系.
5.会用向量的方法解决某些简单的平面几何问题.
知识梳理
1.向量的夹角
已知两个非零向量a,b,O是平面上的任意一点,作eq \(OA,\s\up6(→))=a,eq \(OB,\s\up6(→))=b,则∠AOB=θ(0≤θ≤π)叫做向量a与b的夹角.
2.平面向量的数量积
已知两个非零向量a与b,它们的夹角为θ,我们把数量|a||b|cs θ叫做向量a与b的数量积,记作a·b.
3.平面向量数量积的几何意义
设a,b是两个非零向量,它们的夹角是θ,e是与b方向相同的单位向量,eq \(AB,\s\up6(→))=a,eq \(CD,\s\up6(→))=b,过eq \(AB,\s\up6(→))的起点A和终点B,分别作eq \(CD,\s\up6(→))所在直线的垂线,垂足分别为A1,B1,得到eq \(A1B1,\s\up6(—→)),我们称上述变换为向量a向向量b投影,eq \(A1B1,\s\up6(—→))叫做向量a在向量b上的投影向量.记为|a|cs θ e.
4.向量数量积的运算律
(1)a·b=b·a. (2)(λa)·b=λ(a·b)=a·(λb). (3)(a+b)·c=a·c+b·c.
5.平面向量数量积的有关结论
已知非零向量a=(x1,y1),b=(x2,y2),a与b的夹角为θ.
常用结论
1.平面向量数量积运算的常用公式
(1)(a+b)·(a-b)=a2-b2;
(2)(a±b)2=a2±2a·b+b2.
2.有关向量夹角的两个结论
(1)若a与b的夹角为锐角,则a·b>0;
若a·b>0,则a与b的夹角为锐角或0.
(2)若a与b的夹角为钝角,则a·b<0;
若a·b<0,则a与b的夹角为钝角或π.
3.向量a在向量b上的投影向量为eq \f(a·b,|b|)·eq \f(b,|b|).
自主诊断
1.判断下列结论是否正确.(请在括号中打“√”或“×”)
(1)两个向量的夹角的范围是eq \b\lc\[\rc\](\a\vs4\al\c1(0,\f(π,2))).( )
(2)若a,b共线,则a·b=|a|·|b|.( )
(3)两个向量的数量积是一个实数,向量的加、减、数乘运算的结果是向量.( )
(4)若a·b=a·c,则b=c.( )
2.已知向量m=(2x,1)与向量n=eq \b\lc\(\rc\)(\a\vs4\al\c1(\f(1,2),-\f(1,2)))垂直,则x等于( )
A.eq \f(1,4) B.-eq \f(1,4) C.eq \f(1,2) D.-eq \f(1,2)
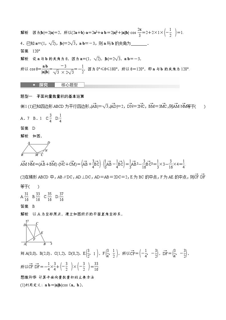
3.已知向量a,b满足|b|=2|a|=2,且a与b的夹角为eq \f(2π,3),则(2a+b)·a等于( )
A.12 B.4 C.3 D.1
4.已知a=(1,eq \r(2)),|b|=2eq \r(3),a·b=-3,则a与b的夹角为________.
题型一 平面向量数量积的基本运算
例1 (1)已知四边形ABCD为平行四边形,|eq \(AB,\s\up6(→))|=eq \r(3),|eq \(AD,\s\up6(→))|=2,eq \(DN,\s\up6(→))=2eq \(NC,\s\up6(→)),eq \(BM,\s\up6(→))=3eq \(MC,\s\up6(→)),则eq \(AM,\s\up6(→))·eq \(NM,\s\up6(→))等于( )
A.7 B.1 C.eq \f(3,4) D.eq \f(1,4)
(2)在梯形ABCD中,AB∥DC,AD⊥DC,AD=AB=2DC=2,E为BC的中点,F为AE的中点,则eq \(CF,\s\up6(→))·eq \(DF,\s\up6(→))等于( )
A.eq \f(31,16) B.eq \f(33,16) C.eq \f(35,16) D.eq \f(37,16)
跟踪训练1 (1)如图,在直角梯形ABCD中,AD∥BC,AB⊥BC,AB=BC=2,AD=1,点E在边AB上,且eq \(CD,\s\up6(→))·eq \(CE,\s\up6(→))=3,则BE等于( )
A.1 B.2 C.eq \f(1,2) D.eq \f(3,2)
(2)如图,在平行四边形ABCD中,AB=2,∠BAD=eq \f(π,3),E是边BC的中点,F是CD上靠近D的三等分点,若eq \(AE,\s\up6(→))·eq \(BF,\s\up6(→))=8,则|eq \(AD,\s\up6(→))|等于( )
A.4 B.4eq \r(2) C.4eq \r(3) D.8
题型二 平面向量数量积的应用
命题点1 向量的模
例2 已知向量a,b满足|a-b|=eq \r(3),|a+b|=|2a-b|,则|b|=________.
命题点2 向量的夹角
例3已知a,b为单位向量,且|3a-5b|=7,则a与a-b的夹角为( )
A.eq \f(π,3) B.eq \f(2π,3) C.eq \f(π,6) D.eq \f(5π,6)
命题点3 向量的垂直
例4 已知向量a=(1,1),b=(1,-1),若(a+λb)⊥(a+μb),则( )
A.λ+μ=1 B.λ+μ=-1
C.λμ=1 D.λμ=-1
命题点4 向量的投影
例5 (1)已知向量a与b的夹角为eq \f(π,3),|a|=2,|b|=1,则向量a在b上的投影向量为( )
A.b B.eq \f(1,2)b C.a D.eq \f(1,2)a
(2)已知非零向量a,b满足b=(eq \r(3),1),〈a,b〉=eq \f(π,3),若(a-b)⊥a,则向量a在b方向上的投影向量的坐标为______.
跟踪训练2
(1)已知非零向量a,b满足|b|=eq \r(2)|a|,且(a-b)⊥(3a+2b),则a与b的夹角为( )
A.45° B.135° C.60° D.120°
(2)(多选)已知向量a=(m,-1),b=(-2,1),则下列说法正确的是( )
A.若m=1,则|a-b|=eq \r(13)
B.若a⊥b,则m=2
C.“m<-eq \f(1,2)”是“a与b的夹角为锐角”的充要条件
D.若m=-1,则b在a上的投影向量的坐标为eq \b\lc\(\rc\)(\a\vs4\al\c1(-\f(1,2),-\f(1,2)))
课时精练
一、单项选择题
1.已知向量a,b满足|a|=1,|b|=eq \r(3),|a-2b|=3,则a·(a+b)等于( )
A.-2 B.-1 C.1 D.2
2.已知向量a=(3,4),b=(1,0),c=a+tb,若〈a,c〉=〈b,c〉,则t等于( )
A.-6 B.-5 C.5 D.6
3.平面向量a与b相互垂直,已知a=(6,-8),|b|=5,且b与向量(1,0)的夹角是钝角,则b等于( )
A.(-3,-4) B.(4,3) C.(-4,3) D.(-4,-3)
4.已知向量a=(λ+1,2),b=(1,-λ),若a⊥b,则向量c=(1,2)在向量a+b上的投影向量的坐标为( )
A.(3,1) B.(1,3) C.eq \b\lc\(\rc\)(\a\vs4\al\c1(\f(1,2),\f(3,2))) D.eq \b\lc\(\rc\)(\a\vs4\al\c1(\f(3,2),\f(1,2)))
5.已知平面单位向量a,b,c满足〈a,b〉=〈b,c〉=〈c,a〉=eq \f(2π,3),则|3a+2b+c|等于( )
A.0 B.1 C.eq \r(3) D.eq \r(6)
二、多项选择题
6.已知P是边长为2的正六边形ABCDEF内的一点,则eq \(AP,\s\up6(→))·eq \(AB,\s\up6(→))的可能取值是( )
A.-2 B.2 C.4 D.8
7.已知向量a=(2,1),b=(1,-1),c=(m-2,-n),其中m,n均为正数,且(a-b)∥c,则下列说法正确的是( )
A.a与b的夹角为钝角
B.向量a在b上的投影向量为eq \f(\r(2),2)b
C.2m+n=4
D.mn的最大值为2
三、填空题
8.已知向量a=(2,3),b=(-3,-2),写出一个与a-b垂直的非零向量c=________.
9.定义:|a×b|=|a||b|sin θ,其中θ为向量a与b的夹角,若|a|=2,|b|=5,a·b=-8,则|a×b|等于________.
四、解答题
10.如图,在等腰梯形ABCD中,AB∥CD,|eq \(AB,\s\up6(→))|=2|eq \(DC,\s\up6(→))|=2,∠BAD=eq \f(π,3),E是BC边的中点.
(1)试用eq \(AB,\s\up6(→)),eq \(AD,\s\up6(→))表示eq \(AE,\s\up6(→)),eq \(BC,\s\up6(→));
(2)求eq \(DB,\s\up6(→))·eq \(AE,\s\up6(→))的值.
11.如图,正方形ABCD的边长为6,E是AB的中点,F是BC边上靠近点B的三等分点,AF与DE交于点M.
(1)求∠EMF的余弦值;
(2)设eq \(AM,\s\up6(→))=λeq \(AF,\s\up6(→)),求λ的值及点M的坐标.
几何表示
坐标表示
数量积
a·b=|a||b|cs θ
a·b=x1x2+y1y2
模
|a|=eq \r(a·a)
|a|=eq \r(x\\al(2,1)+y\\al(2,1))
夹角
cs θ=eq \f(a·b,|a||b|)
cs θ=eq \f(x1x2+y1y2,\r(x\\al(2,1)+y\\al(2,1)) \r(x\\al(2,2)+y\\al(2,2)))
a⊥b的
充要条件
a·b=0
x1x2+y1y2=0
|a·b|与
|a||b|
的关系
|a·b|≤|a||b|
|x1x2+y1y2|≤
eq \r(x\\al(2,1)+y\\al(2,1)x\\al(2,2)+y\\al(2,2))
2025年高考数学一轮复习(基础版)课时精讲第6章 §6.3 等比数列(2份打包,原卷版+含解析): 这是一份2025年高考数学一轮复习(基础版)课时精讲第6章 §6.3 等比数列(2份打包,原卷版+含解析),文件包含2025年高考数学一轮复习基础版课时精讲第6章§63等比数列原卷版doc、2025年高考数学一轮复习基础版课时精讲第6章§63等比数列含解析doc等2份试卷配套教学资源,其中试卷共16页, 欢迎下载使用。
2025年高考数学一轮复习(基础版)课时精讲第6章 §6.2 等差数列(2份打包,原卷版+含解析): 这是一份2025年高考数学一轮复习(基础版)课时精讲第6章 §6.2 等差数列(2份打包,原卷版+含解析),文件包含2025年高考数学一轮复习基础版课时精讲第6章§62等差数列原卷版doc、2025年高考数学一轮复习基础版课时精讲第6章§62等差数列含解析doc等2份试卷配套教学资源,其中试卷共16页, 欢迎下载使用。
2025年高考数学一轮复习(基础版)课时精讲第5章 §5.4 复 数(2份打包,原卷版+含解析): 这是一份2025年高考数学一轮复习(基础版)课时精讲第5章 §5.4 复 数(2份打包,原卷版+含解析),文件包含2025年高考数学一轮复习基础版课时精讲第5章§54复数原卷版doc、2025年高考数学一轮复习基础版课时精讲第5章§54复数含解析doc等2份试卷配套教学资源,其中试卷共15页, 欢迎下载使用。

