高中数学人教A版 (2019)选择性必修 第一册2.3 直线的交点坐标与距离公式课文课件ppt
展开2.3.3 点到直线的距离公式第二章l 答案:D.答案:×,√.
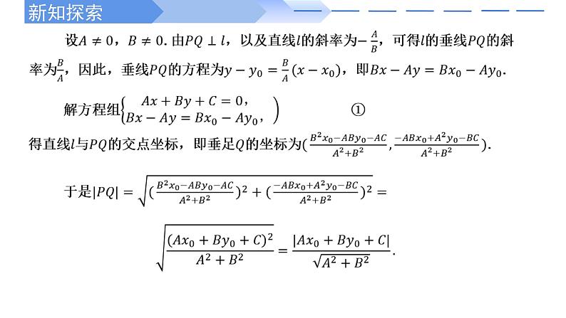
高中数学人教A版 (2019)选择性必修 第一册2.3 直线的交点坐标与距离公式教课课件ppt: 这是一份高中数学人教A版 (2019)选择性必修 第一册2.3 直线的交点坐标与距离公式教课课件ppt,共18页。PPT课件主要包含了方法一坐标法,直线PQ的方程,直线PQ的斜率,点Q的坐标,设而不求,方法二向量法,方法三面积法等内容,欢迎下载使用。
人教A版 (2019)选择性必修 第一册2.3 直线的交点坐标与距离公式教课内容课件ppt: 这是一份人教A版 (2019)选择性必修 第一册2.3 直线的交点坐标与距离公式教课内容课件ppt,共17页。PPT课件主要包含了答案D,答案×√等内容,欢迎下载使用。
高中数学人教A版 (2019)选择性必修 第一册2.3 直线的交点坐标与距离公式公开课课件ppt: 这是一份高中数学人教A版 (2019)选择性必修 第一册2.3 直线的交点坐标与距离公式公开课课件ppt,共23页。PPT课件主要包含了学习目标,情境导学,求PQ的长,新知探究,问题探究,公式解析,小试牛刀,典例解析,归纳总结,跟踪训练等内容,欢迎下载使用。

