数学选择性必修 第一册2.3 直线的交点坐标与距离公式课前预习ppt课件
展开在公路附近有一家乡村饭馆,现在需要铺设一条连接饭馆和公路的道路.请同学们帮助设计一下:在理论上怎样铺路可以使这条连接道路的长度最短?
思考:已知点P0(x0,y0)和直线l:Ax+By+C=0, 怎样求点P到直线l的距离呢?
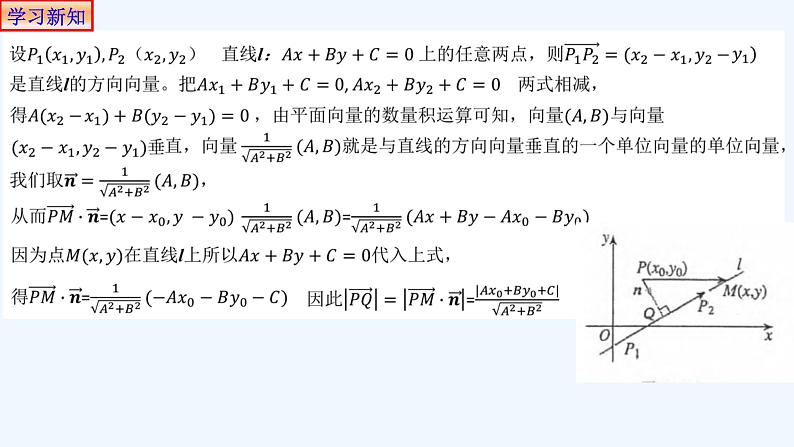
如图,P到直线l的距离,就是指从点P到直线l的垂线段PQ的长度,其中Q是垂足.
当A=0或B=0时,直线方程为y=y1或x=x1的形式.
下面设A≠0,B ≠0,我们进一步探求点到直线的距离公式:
点P到直线/的距离,就是从点P到直线/的垂线段PQ的长度,其中Q是垂足(如右图).因此,求出垂足Q的坐标,利用两点间的距离公式求出|PQ|,就可以得到点P到直线l的距离.
得直线l与PQ的交点坐标,即垂足Q的坐标为
因此,点P(x,y)到直线l :Ax+By+C=0的距离
可以验证,当A=0,或B=0时,上述公式仍然成立
利用两点间距离公式,设而不求:
将(1)(2)两边平方后相加,得
我们知道,向量是解决距离、角度问题的有力工具.能否用向量方法求点到直线的距离?
P0(x0,y0)到直线l:Ax+By+C=0的距离:
(1)分子是P点坐标代入直线方程;
(2)分母是直线未知数x、y系数平方和的算术根
类似于勾股定理求斜边的长
(3)运用此公式时要注意直线方程必须是一般式, 若给出其他形式,应先化成一般式再用公式.(4)当点P0在直线l上时,点到直线的距离为零,公式仍然适用.
例1:已知点A(1,3),B(3,1),C(-1,0),求△ABC的面积
解:设AB边上的高为h
4、P(2,—3)到直线x+2y+4= 0的距离是_______
5.点P(-1,2)到直线3x=2的距离是______.6.点P(-1,2)到直线3y=2的距离是______.
例2:用解析法证明:等腰三角形底边上任意一点到两腰的距离之和等于一腰上的高。
证明:建立如图直角坐标系,设P (x,0),x∈( )
可求得lAB:( )
lCB:( )
|PE|=( )
|PF|=( )
A到BC的距离h=( )
因为|PE|+|PF|=h,所以原命题得证。
例3.已知直线l经过点M(-1,2),且A(2,3),B(-4,5)两点到直线l的距离相等,求直线l的方程.
已知直线l经过点M(-1,2),且A(2,3),B(-4,5)两点到直线l的距离相等,求直线l的方程.
求经过点P(-3,5),且与原点距离等于3的直线l的方程
在根据距离确定直线方程时,易忽略直线斜率不存在的情况,避免这种错误的方法是当用点斜式或斜截式表示直线方程时,应首先考虑斜率不存在的情况是否符合题设条件,然后再求解.
1.已知直线l过点P(3,4)且与点A(-2,2),B(4,-2)等距离,则直线l的方程为_____________________________.
2x-y-2=0或2x+3y-18=0
2.直线3x-4y-27=0上到点P(2,1)距离最近的点的坐标是 .
解析:由题意知过点P作直线3x-4y-27=0的垂线,设垂足为M,则|MP|最小,
3.若点(4,a)到直线4x-3y=0的距离不大于3,则a的取值范围是______.
高中数学人教A版 (2019)选择性必修 第一册2.3 直线的交点坐标与距离公式公开课课件ppt: 这是一份高中数学人教A版 (2019)选择性必修 第一册2.3 直线的交点坐标与距离公式公开课课件ppt,共23页。PPT课件主要包含了学习目标,情境导学,求PQ的长,新知探究,问题探究,公式解析,小试牛刀,典例解析,归纳总结,跟踪训练等内容,欢迎下载使用。
高中数学人教A版 (2019)选择性必修 第一册2.3 直线的交点坐标与距离公式精品ppt课件: 这是一份高中数学人教A版 (2019)选择性必修 第一册2.3 直线的交点坐标与距离公式精品ppt课件,共19页。PPT课件主要包含了学习目标,新知学习,思路一直接法,思路简单运算繁琐,思路二向量法,典例剖析,跟踪训练,B31,还有其他方法吗,新知讲解等内容,欢迎下载使用。
人教A版 (2019)选择性必修 第一册2.3 直线的交点坐标与距离公式优质课件ppt: 这是一份人教A版 (2019)选择性必修 第一册2.3 直线的交点坐标与距离公式优质课件ppt,共19页。PPT课件主要包含了学习目标,新知学习,思路一直接法,思路简单运算繁琐,思路二向量法,典例剖析,跟踪训练,B31,还有其他方法吗,新知讲解等内容,欢迎下载使用。

