数学选择性必修 第二册4.3 等比数列精品课件ppt
展开方法技巧: 解数列应用题的思路和方法
变3.某电扇厂去年实现利润300万元,计划在以后5年中每年比上一年利润增长10%.问从今年起第5年的利润是多少?这5年的总利润是多少?(结果精确到1万元)
高中数学人教A版 (2019)选择性必修 第二册4.3 等比数列课前预习课件ppt: 这是一份高中数学人教A版 (2019)选择性必修 第二册4.3 等比数列课前预习课件ppt,共11页。PPT课件主要包含了创设情境,探究新知,探究S64的求法,错位相减法,-q是否为零,讨论公比q是否为1,典例分析,解法1,解法2,巩固练习等内容,欢迎下载使用。
人教A版 (2019)选择性必修 第二册4.3 等比数列课文ppt课件: 这是一份人教A版 (2019)选择性必修 第二册4.3 等比数列课文ppt课件,共22页。PPT课件主要包含了na1,探究新知,典例解析,归纳总结等内容,欢迎下载使用。
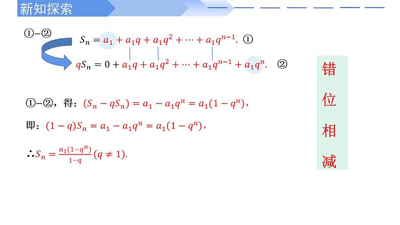
人教A版 (2019)选择性必修 第二册4.3 等比数列示范课课件ppt: 这是一份人教A版 (2019)选择性必修 第二册4.3 等比数列示范课课件ppt,共25页。PPT课件主要包含了学习目标,①-②得,错位相减法,反思总结等内容,欢迎下载使用。

