还剩9页未读,
继续阅读
所属成套资源:北师大版八年级数学下册【精品教学课件】
成套系列资料,整套一键下载
北师大版八年级数学下册 第五章 分式与分式方程 2 分式的乘除法(课件)
展开
这是一份北师大版八年级数学下册 第五章 分式与分式方程 2 分式的乘除法(课件),共17页。
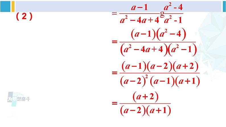
2 分式的乘除法北师版 八年级下册新课导入观察下列运算:分式乘除法的法则分式乘除法的法则用式子表示为:例1 计算:例2 计算:随堂练习A课后小结 两个分式相乘,把分子相乘的积作为积的分子,把分母相乘的积作为积的分母; 两个分式相除,把分式的分子和分母颠倒位置后再与被除式相乘. 用式子表示为 ,分式乘除法的法则是:1.从教材习题中选取;2.完成练习册本课时的习题.课后作业
2 分式的乘除法北师版 八年级下册新课导入观察下列运算:分式乘除法的法则分式乘除法的法则用式子表示为:例1 计算:例2 计算:随堂练习A课后小结 两个分式相乘,把分子相乘的积作为积的分子,把分母相乘的积作为积的分母; 两个分式相除,把分式的分子和分母颠倒位置后再与被除式相乘. 用式子表示为 ,分式乘除法的法则是:1.从教材习题中选取;2.完成练习册本课时的习题.课后作业
相关资料
更多

