高中数学人教A版 (2019)选择性必修 第一册3.3 抛物线课时练习
展开一、选择题
1.(2022·浙江省台州市期末)如图,在正方体ABCD-A1B1C1D1中,P是侧面BB1C1C内一动点,若点P到直线BC与直线C1D1的距离相等,则动点P的轨迹所在的曲线是( )
A.直线B.圆
C.椭圆D.抛物线
2.(2022·河北徐水综合高级中学高二上月考)已知抛物线y2=8x,过焦点F的直线与抛物线交于A,B两点,若|AF|=6,则|BF|=( )
A.1 B.2 C.3 D.4
3.已知过抛物线y2=2px(p>0)的焦点F且斜率为1的直线交抛物线于A,B两点,|AF|·|BF|=16,则p的值为( )
A.2 B.4 C.22 D.8
4.已知抛物线y2=2px(p>0),过其焦点且斜率为1的直线交抛物线于A,B两点,若线段AB的中点的纵坐标为2,则该抛物线的准线方程为( )
A.x=1B.x=-1
C.x=2D.x=-2
5.M是抛物线y2=x上一点,N是圆(x+1)2+(y-4)2=1关于直线x-y+1=0的对称曲线C上的一点,则|MN|的最小值是( )
A.2 B.3-1
C.112 D.112-1
二、填空题
6.(2022·江苏扬州开学考试)直线l过抛物线x2=2py(p>0)的焦点,且与抛物线交于A,B两点,若线段AB的长是6,AB的中点到x轴的距离是1,则此抛物线方程是________.
7.已知抛物线y2=4x,过点P(4,0)的直线与抛物线相交于A(x1,y1),B(x2,y2)两点,则y12+y22的最小值是________.
8.已知抛物线C的顶点在原点,焦点在x轴上,且抛物线上有一点P(4,m)到焦点的距离为6.则抛物线C的方程为________;若抛物线C与直线y=kx-2相交于不同的两点A,B,且AB中点横坐标为2,则k=________.
三、解答题
9.在平面直角坐标系Oxy中,设点F(1,0),直线l:x=-1,点P在直线l上移动,R是线段PF与y轴的交点,RQ⊥FP,PQ⊥l.
(1)求动点Q的轨迹方程;
(2)记Q的轨迹为曲线E,过点F作两条互相垂直的直线交曲线E的弦为AB,CD,设AB,CD的中点分别为点M,N,求证:直线MN过定点(3,0).
10.设抛物线y2=4x上一点P到y轴的距离为d1,到直线l:3x+4y+12=0的距离为d2,则d1+d2的最小值为( )
A.2 B.153 C.163 D.3
11.过抛物线C:y2=4x的焦点F,且斜率为3的直线交C于点M(M在x轴的上方),l为C的准线,点N在l上,且MN⊥l,则M到直线NF的距离为( )
A.5 B.22 C.23 D.33
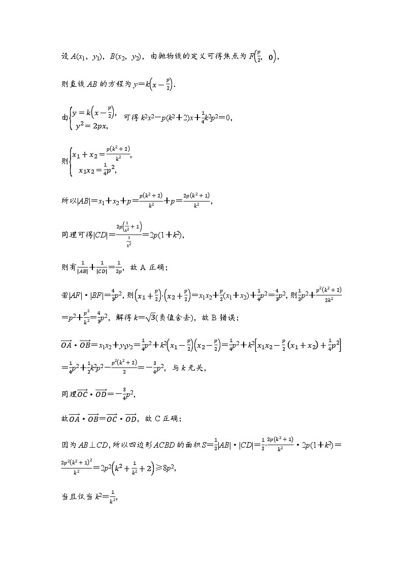
12.(多选)已知点F是抛物线y2=2px(p>0)的焦点,AB,CD是经过点F的弦且AB⊥CD,直线AB的斜率为k,且k>0,C,A两点在x轴上方,则下列结论中一定成立的是( )
A.1AB+1CD=12p
B.若|AF|·|BF|=43p2,则k=33
C.OA·OB=OC·OD
D.四边形ACBD面积的最小值为16p2
13.定长为3的线段AB的端点A,B在抛物线y2=x上移动,则AB的中点到y轴距离的最小值为________,此时AB中点的坐标为________.
14.过抛物线y2=2px(p>0)的顶点O作两条互相垂直的弦交抛物线于A,B两点,求证:
(1)A,B两点的横坐标之积、纵坐标之积分别为定值;
(2)直线AB过定点.
15.如图,已知抛物线C:y2=2px(p>0)的焦点为F,若过点F且斜率为1的直线与抛物线相交于M,N两点,且|MN|=8.
(1)求抛物线C的方程;
(2)设直线l为抛物线C的切线,且l∥MN,P为l上一点,求PM·PN的最小值.
高中数学人教A版 (2019)必修 第一册4.3 对数巩固练习: 这是一份高中数学人教A版 (2019)必修 第一册4.3 对数巩固练习,文件包含人教A版高中数学必修第一册课时分层作业32对数的运算含答案docx、人教A版高中数学必修第一册课时分层作业32答案docx等2份试卷配套教学资源,其中试卷共7页, 欢迎下载使用。
高中人教A版 (2019)3.3 抛物线习题: 这是一份高中人教A版 (2019)3.3 抛物线习题,文件包含人教A版高中数学选择性必修第一册课时分层作业31抛物线的简单几何性质docx、人教A版高中数学选择性必修第一册课时分层作业31详解答案docx等2份试卷配套教学资源,其中试卷共6页, 欢迎下载使用。
高中数学人教A版 (2019)选择性必修 第一册3.3 抛物线课后复习题: 这是一份高中数学人教A版 (2019)选择性必修 第一册3.3 抛物线课后复习题,文件包含人教A版高中数学选择性必修第一册课时分层作业30抛物线及其标准方程docx、人教A版高中数学选择性必修第一册课时分层作业30详解答案docx等2份试卷配套教学资源,其中试卷共8页, 欢迎下载使用。

