- 【简约实用】高教版(2021)中职数学 拓展模块二下册 6.2二倍角公式课件+教案+课内练习题答案 课件 12 次下载
- 【简约实用】高教版(2021)中职数学 拓展模块二下册 6.3正弦型函数的图像和性质课件+教案+课内练习题答案 课件 12 次下载
- 【简约实用】高教版(2021)中职数学 拓展模块二下册 6.4解三角形课件+教案+课内练习题答案 课件 12 次下载
- 【简约实用】高教版(2021)中职数学 拓展模块二下册 6.5三角计算的应用课件+教案+课内练习题答案 课件 10 次下载
- 【简约实用】高教版(2021)中职数学 拓展模块二下册 7.1数列的概念课件+教案+课内练习题答案 课件 10 次下载
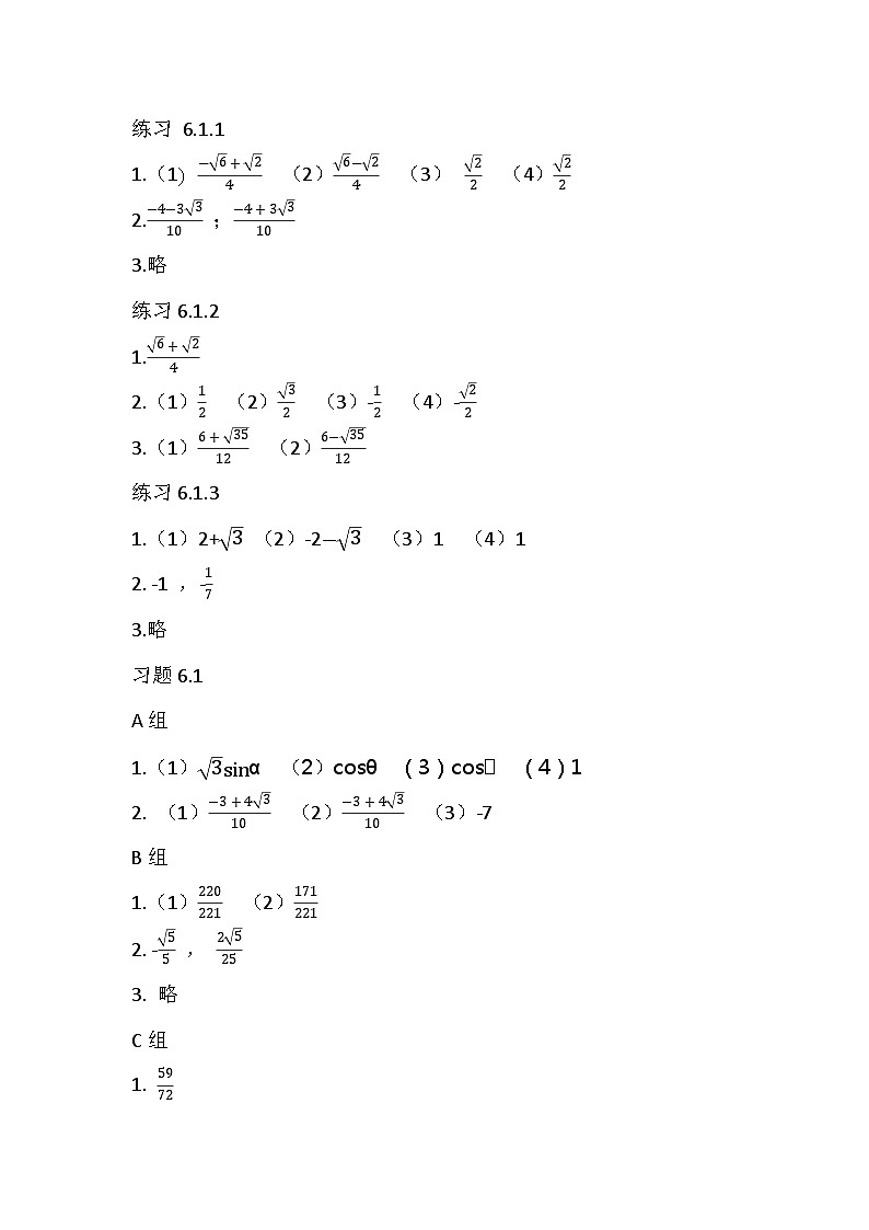
中职数学高教版(2021)拓展模块二 下册6.1.1 两角和与差的余弦公式练习题课件ppt
展开在基础模块,我们学习了三角函数的诱导公式:
观察这些公式可以发现,等式左边都是两个角的和(或差)的三角函数.其中第一个角是特殊角,第二个角α是任意角.如果这两个角都是任意角,那么它们的和(或差)的三角两数又是怎样的呢?
它们在三角计算和化简中具有重要作用.
现实中,很多与三角函数有关的实际问题常常涉及两个任意角的和(或差)的三角函数.为此,我们进一步学习两角和与差的三角函数公式.
6.1.1 两角和与差的余弦公式
早在公元2世纪,人们就推导出了两角和与差的余弦公式.
随着时间的推移和研究的深入,现在数学中已很少使用公元2世纪的推导方法,而是首先推导两角差的余弦公式,再通过诱导公式得到两角和的余弦公式.那么现在是怎样推导两角差的余弦公式的呢?
如图所示,设单位圆与x轴的交点为P1,角α、β和β-α的终边与单位圆的交点分别为P2、P3和P4,则点P1、P2、P3、P4的坐标分别为(1,0)、(csα,sin α)、(cs β,sinβ) 、(cs (β-α),sin (β-α)).
当P2、O、P3不在同一条直线上时, ∠P2OP3=∠P4OP1=α-β,且 |OP1|=|OP2|=|OP3|=|OP4|=1,因此 ΔP2OP3≌ΔP1OP4,所以 | P2P3|=| P1P4|. 当P2、O、P3在同一条直线上时,容易看出也有| P2P3|=| P1P4|.
于是,我们得到两角和与差的余弦公式: cs(α+β)=csαcsβ-sinαsinβ Cα+β cs(α-β)=csαcsβ+sinαsinβ Cα-β
例1 求cs15°的值.
1.求下列各式的值.cs105° ; (2) cs75° ;(3) cs55°cs10°+sin55°sin10° ;(4) cs²22.5°-sin²22.5°.
6.1.2 两角和与差的正弦公式
上一节学习了α±β的余弦,即cs(α±β)可以用α、β的正弦、余弦来表示.那么,α±β的正弦,即sin(α±β)是否也可以用α、β的正弦、余弦来表示呢?
于是,我们得到两角和与差的正弦公式: sin(α+β)=sinαcsβ+csαsinβ Sα+β sin(α-β)=sinαcsβ- csαsinβ Sα-β
例6 求下列各式的值.
6.1.3 两角和与差的正切公式
我们知道,α±β的正弦、余弦都可以用α、β的正弦与余弦表示,那么α±β的正切,即 tan(α±β),能否用α、β的正切来表示呢?
于是,我们得到两角和与差的正切公式:
1.书面作业:完成课后习题和《学习指导与练习》;2.查漏补缺:根据个人情况对课堂学习复习与回顾;3.拓展作业:阅读教材扩展延伸内容.
高教版(2021)拓展模块二 下册9.2 正态分布优秀练习题习题ppt课件: 这是一份高教版(2021)拓展模块二 下册9.2 正态分布优秀练习题习题ppt课件,文件包含高教版2021中职数学拓展模块二下册92正态分布课件pptx、高教版2021中职数学拓展模块二下册92正态分布教案docx、高教版2021中职数学拓展模块二下册92正态分布课内习题答案docx等3份课件配套教学资源,其中PPT共20页, 欢迎下载使用。
中职数学高教版(2021)拓展模块二 下册8.1.1 分类计数原理练习题课件ppt: 这是一份中职数学高教版(2021)拓展模块二 下册8.1.1 分类计数原理练习题课件ppt,文件包含高教版2021中职数学拓展模块二下册81计数原理课件pptx、高教版2021中职数学拓展模块二下册81计数原理教案docx、高教版2021中职数学拓展模块二下册81计数原理课内习题答案docx等3份课件配套教学资源,其中PPT共26页, 欢迎下载使用。
中职数学高教版(2021)拓展模块二 下册8.2.1 排列优质练习题习题ppt课件: 这是一份中职数学高教版(2021)拓展模块二 下册8.2.1 排列优质练习题习题ppt课件,文件包含高教版2021中职数学拓展模块二下册82排列与组合课件pptx、高教版2021中职数学拓展模块二下册82排列与组合教案docx、高教版2021中职数学拓展模块二下册82排列与组合课内习题答案docx等3份课件配套教学资源,其中PPT共60页, 欢迎下载使用。

