河北省衡水市第二中学2022-2023学年高一下学期期中数学试题
展开2023-2024学年河北省衡水市武强中学高一上学期期中数学试题含答案: 这是一份2023-2024学年河北省衡水市武强中学高一上学期期中数学试题含答案,共11页。试卷主要包含了单选题,多选题,填空题,解答题,作图题等内容,欢迎下载使用。
【期中真题】河北省衡水市第二中学2022-2023学年高一上学期期中数学试题.zip: 这是一份【期中真题】河北省衡水市第二中学2022-2023学年高一上学期期中数学试题.zip,文件包含期中真题河北省衡水市第二中学2022-2023学年高一上学期期中数学试题原卷版docx、期中真题河北省衡水市第二中学2022-2023学年高一上学期期中数学试题解析版docx等2份试卷配套教学资源,其中试卷共20页, 欢迎下载使用。
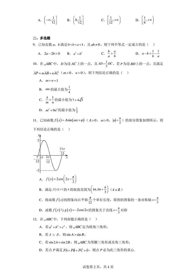
2022-2023学年河北省衡水市饶阳中学高一下学期期末数学试题含答案: 这是一份2022-2023学年河北省衡水市饶阳中学高一下学期期末数学试题含答案,共16页。试卷主要包含了单选题,多选题,填空题,解答题等内容,欢迎下载使用。

