所属成套资源:2024届高考数学第一轮复习(2010-2019)高考真题分类训练之专题
- 2024届高考第一轮复习:理科数学2010-2018高考真题分类训练之专题七 不等式 第二十讲 二元一次不等式(组)与简单的线性规划问题答案 试卷 0 次下载
- 2024届高考第一轮复习:理科数学2010-2018高考真题分类训练之专题七 不等式 第十九讲 不等式的性质与一元二次不等式 试卷 0 次下载
- 2024届高考第一轮复习:理科数学2010-2018高考真题分类训练之专题七 不等式第二十一讲 不等式的综合应用 试卷 0 次下载
- 2024届高考第一轮复习:理科数学2010-2018高考真题分类训练之专题七 不等式第二十一讲 不等式的综合应用答案 试卷 0 次下载
- 2024届高考第一轮复习:理科数学2010-2018高考真题分类训练之专题三 导数及其应用第八讲导数的综合应用 试卷 0 次下载
2024届高考第一轮复习:理科数学2010-2018高考真题分类训练之专题七 不等式 第十九讲 不等式的性质与一元二次不等式答案
展开
这是一份2024届高考第一轮复习:理科数学2010-2018高考真题分类训练之专题七 不等式 第十九讲 不等式的性质与一元二次不等式答案,共11页。试卷主要包含了解析,解析 由约束条件作出可行域如图等内容,欢迎下载使用。
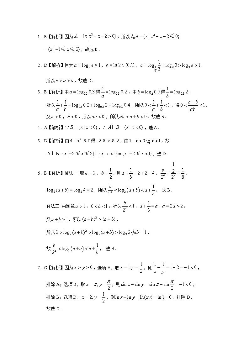
专题七 不等式第十九讲 不等式的性质与一元二次不等式答案部分2019年 1.解析:取,,则,排除A;,排除B;,排除D.函数在单调递增,由可得,所以,C正确.故选C.2010-2018年1.解析:作出表示的平面区域,如图所示.分别联立其中两个方程,得A(2,2),B(-1,1),C(1,-1),则.故选C.2.解析:画出不等式组所表示的可行域如图所示:
联立,解得,即.令,化为.求z的最大值就是求截距的最大值
由图可知,当直线过点时,z有最大值为.
故选C.3.解析 由约束条件作出可行域如图:
化目标函数为,由图可知,当直线过时,有最大值. 联立,解得. 所以的最大值为.
故选C. 2010-2018年 1.B【解析】因为,所以,故选B.2.D【解析】因为,,.所以,故选D.3.B【解析】由得,由得,所以,所以,得.又,,所以,所以.故选B.4.A【解析】∵,∴,选A.5.D【解析】由得,由得,故,选D.6.B【解析】解法一 取,,则,,,所以, 选B.解法二 由题意,,所以,,又,所以,所以,故, 选B.7.C【解析】因为,选项A,取,则,排除A;选项B,取,则,排除B;选项D,,则,排除D,故选C.8.C【解析】.9.C 【解析】取满足题意得函数,若取,则,所以排除A.若取,则,所以排除D;取满足题意的函数,若取,则,所以排除B,故结论一定错误的是C.10.B 【解析】由,得,由,得.由,得,所以,由,得,所以,由,得,与矛盾,故正整数的最大值是4.11.A【解析】 ,故=[2, 1].12.D【解析】由,又,由不等式性质知:,所以13.D【解析】由已知得,此时大小不定,排除A,B;由正弦函数的性质,可知C不成立;故选D.14.B【解析】不妨设,当时,;当时,,∴.15.C【解析】如图△ADE∽△ABC,设矩形的另一边长为,则,所以,又,所以,即,解得.16.A【解析】∵由 (),得,即,∴.∵,∴.故选A.17.A【解析】法一 由,得当,①,无解,即,不符合,排除C.取,①,符合,排除B、D.解法二 数形结合,∵是奇函数.ⅰ)取,,如图,无解.排除C.ⅱ)取,,,满足,排除B、D解法三 由题意,即,所以,当时无解,所以,此时,∴.排除C、D.又,∴取,①,符合,排除B.18.C【解析】验证A,当,故排除A;验证B,当,而,故排除B;验证C,令,显然恒成立,所以当,,所以,为增函数,所以,恒成立,故选C;验证D,令,令,解得,所以当时,,显然不恒成立,故选C.19.B【解析】由题可知,,若有则,即,解得.20.【解析】当时,不等式为恒成立;当,不等式恒成立;当时,不等式为,解得,即;综上,的取值范围为. 21.【解析】由,解得,根据几何概型的计算公式得概率为.22.1,2,3(答案不唯一)【解析】因为“设,,是任意实数.若,则”是假命题,则它的否定“设,,是任意实数.若,则”是真命题,由于,所以,又,所以,因此,,依次取整数1,2,3,满足.相矛盾,所以验证是假命题.23.【解析】由题意可得对于上恒成立,即,解得.24.【解析】不等式对恒成立,则有即.∴.∴.又,结合下图可知,∈.25.-1【解析】由于不等式,即,记,显然,所以当时,,当且仅当时取“等号”,而,因此,当为与在处的公切线时,才能使恒成立。此时,所以.26.【解析】因为,,当且仅当,即,解得.27.【解析】易得不等式的解集为.28.(﹣5,0) ∪(5,﹢∞)【解析】做出 ()的图像,如下图所示.由于是定义在上的奇函数,利用奇函数图像关于原点对称做出x<0的图像.不等式,表示函数y=的图像在y=x的上方,观察图像易得:解集为(﹣5,0) ∪(5,﹢∞).29.(-7,3)【解析】当≥0时,令,解得,.又因为为定义域为R的偶函数,则不等式等价于,即-7<<3;故解集为(-7,3).30.(0,8)【解析】因为不等式x2﹣ax+2a>0在R上恒成立.∴△=,解得0<<8.31.9【解析】因为的值域为[0,+∞),所以即,所以的两根,由一元二次方程根与系数的关系得解得=9.32.【解析】不等式可化为采用穿针引线法解不等式即可.33.【解析】.34.27【解析】,,,的最大值是27.35.【解析】已知为增函数且≠0,若>0,由复合函数的单调性可知和均为增函数,此时不符合题意.<0,时有因为在上的最小值为2,所以1+即>1,解得.36.D【解析】依据题意得在上恒定成立,即在上恒成立.当时函数取得最小值,所以,即,解得或.37.20【解析】七月份的销售额为,八月份的销售额为,则一月份到十月份的销售总额是,根据题意有,即,令.则,解得或(舍去),故,解得.38.【解析】(1)可知,,或,或,或,或或,所以函数的定义域D为;(2),由得,即,或,结合定义域知或,所以函数的单调递增区间为,,同理递减区间为,;(3)由得,,,,或或或,,,,,,结合函数的单调性知的解集为.39.【解析】:(I)由得,.因为在区间上,所以在区间上单调递减.从而.(Ⅱ)当时,“”等价于“”,“”等价于“”. 令,则, 当时,对任意恒成立. 当时,因为对任意,,所以在区间上单调递减.从而对任意恒成立. 当时,存在唯一的使得. 与在区间上的情况如下: +0-↗ ↘因为在区间上是增函数,所以.进一步,“对任意恒成立”当且仅当,即,综上所述,当且仅当时,对任意恒成立;当且仅当时,对任意恒成立. 所以,若对任意恒成立,则最大值为,的最小值为1.
相关试卷
这是一份2024届高考第一轮复习:理科数学2010-2018高考真题分类训练之专题十六 不等式选讲第四十二讲不等式选讲答案,共10页。试卷主要包含了解析因为,又,故有等内容,欢迎下载使用。
这是一份2024届高考第一轮复习:理科数学2010-2018高考真题分类训练之专题十六 不等式选讲第四十二讲不等式选讲,共4页。
这是一份2024届高考第一轮复习:理科数学2010-2018高考真题分类训练之专题七 不等式第二十一讲 不等式的综合应用答案,共8页。试卷主要包含了解析 ,,,等内容,欢迎下载使用。

