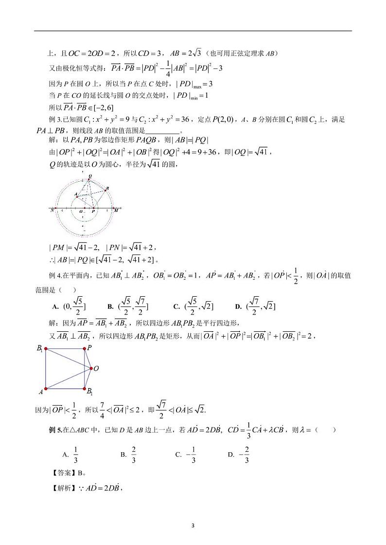
高考数学二轮微专题-突破140(解析版)
展开2024年高考数学重难点突破专题十 概率与统计第三十讲 概率答案140: 这是一份2024年高考数学重难点突破专题十 概率与统计第三十讲 概率答案140,共9页。试卷主要包含了解析,25=50,等内容,欢迎下载使用。
新高考数学二轮复习考点突破讲义 第1部分 专题突破 专题4 微重点13 截面、交线问题(含解析): 这是一份新高考数学二轮复习考点突破讲义 第1部分 专题突破 专题4 微重点13 截面、交线问题(含解析),共14页。
新高考数学二轮复习考点突破讲义 第1部分 专题突破 专题1 微重点4 函数的公切线问题(含解析): 这是一份新高考数学二轮复习考点突破讲义 第1部分 专题突破 专题1 微重点4 函数的公切线问题(含解析),共11页。试卷主要包含了))等内容,欢迎下载使用。

