微专题13 导数解答题之双变量问题 -2024年新高考数学二轮复习微专题提分突破140分
展开
这是一份微专题13 导数解答题之双变量问题 -2024年新高考数学二轮复习微专题提分突破140分,共46页。
1、破解双参数不等式的方法:
一是转化,即由已知条件入手,寻找双参数满足的关系式,并把含双参数的不等式转化为含单参数的不等式;
二是巧构函数,再借用导数,判断函数的单调性,从而求其最值;
三是回归双参的不等式的证明,把所求的最值应用到双参不等式,即可证得结果;
四是主元法.
【典型例题】
例1.(2024·浙江温州·二模)如图,对于曲线,存在圆满足如下条件:
①圆与曲线有公共点,且圆心在曲线凹的一侧;
②圆与曲线在点处有相同的切线;
③曲线的导函数在点处的导数(即曲线的二阶导数)等于圆在点处的二阶导数(已知圆在点处的二阶导数等于);
则称圆为曲线在点处的曲率圆,其半径称为曲率半径.
(1)求抛物线在原点的曲率圆的方程;
(2)求曲线的曲率半径的最小值;
(3)若曲线在和处有相同的曲率半径,求证:.
【解析】(1)
记,设抛物线在原点的曲率圆的方程为,其中为曲率半径.
则,,
故,,即,
所以抛物线在原点的曲率圆的方程为;
(2)设曲线在的曲率半径为.则
法一:,
由知,,
所以 ,
故曲线在点处的曲率半径,
所以,则,
则,当且仅当,即时取等号,
故,曲线在点处的曲率半径.
法二:,,
所以,而,
所以,解方程可得,
则,当且仅当,即时取等号,
故,曲线在点处的曲率半径.
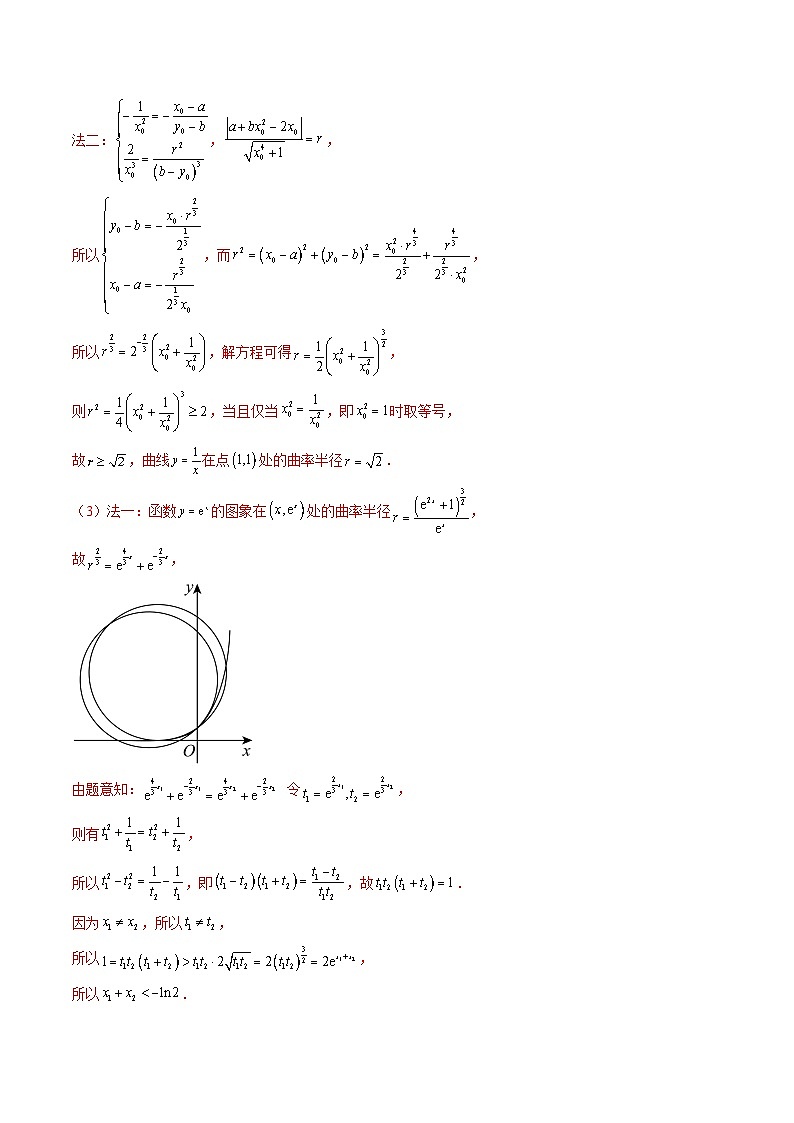
(3)法一:函数的图象在处的曲率半径,
故,
由题意知: 令,
则有,
所以,即,故.
因为,所以,
所以,
所以.
法二:函数的图象在处的曲率半径,
有
令,则有,
则,故 ,
因为,所以,
所以有,
令,则,即,
故,所以,即;
法三:函数的图象在处的曲率半径.
故
设,则,
所以当时,当时,
所以在上单调递减,在上单调递增,
故有,
所以,
要证,即证,
即证 将 ,
下证:当时,有,
设函数(其中),
则,
故单调递增, ,
故,所以.
法四:函数的图象在处的曲率半径,
有,
设.
则有,
所以当时,当时,
故在上单调递减,在上单调递增.
故有,
所以,
要证,即证,
即证.将,
下证:当时,有,
设函数(其中),
则,
故单调递增,故 ,
故,所以.
例2.(2024·四川南充·二模)已知函数有三个极值点.
(1)求实数的取值范围;
(2)若,求实数的取值范围.
【解析】(1)函数有三个极值点
则有三个不等实根
即方程有三个不等实根,
令,则,
由得,由得或
在上单调递减,在上单调递增,在上单调递减,
又,,所以
(2)由(1)知,,
所以,令,则,
令,则
令,则,
即,,故
在上单调递增,所以.
例3.(2024·四川·一模)已知函数.
(1)若,求的最小值;
(2)若有2个零点,证明:.
【解析】(1)当,函数,
则,
可知当时,,单调递减;
当时,,单调递增,
则当时,取得极小值,也即为最小值,
所以的最小值为;
(2)由已知,是的两个零点,
则,,
两式相减,得,
整理得,
欲证明,
只需证明不等式,
即证明,也即证明,
不妨设,令,则,
只需证明,即证明即可,
令,则,
又令,则,
所以,当时,,即单调递减,则,
故当时,单调递增,则,
所以,原不等式成立,故不等式得证.
例4.(2024·全国·模拟预测)已知函数有3个极值点,其中是自然对数的底数.
(1)求实数的取值范围;
(2)求证:.
【解析】(1)由题意,得,
由,得或,所以0是函数的一个极值点.
所以有2个不相等的实数根,且这2个根均不为0和.
令,则.
当时,恒成立,故在定义域上是增函数,不可能有2个零点;
当时,由,得,由,得,
所以在上是减函数,在上是增函数,
所以,即,所以.
又.
由零点存在定理可知,在上存在唯一零点.
令,则,令得,
令得,所以在上递增,在上递减,
所以,,
所以,
由零点存在定理可知,在上存在唯一零点.
因为所以,
综上,的取值范围是.
(2)证明:由(1)知,0是函数的一个极值点.不妨设,所以只要证明.
由得,即两式相除得.
令,则.
所以,所以.
所以要证明,只要证明,
即,其中,所以.
所以只要证明.令,
所以,从而恒成立,
所以在上是减函数,所以.
所以在上是增函数,所以,即证:.
另由,知,所以,且为的两根.
记,则,当,,当,
故在上递增,在上递减.
不妨取,所以要证,即要证,
只要证,又,故只要证,
即要证,也即要证(#).
令,则.
而当时,,故在上递减,
故,故在上递增,故,所以(#)成立,
故.
例5.(2024·高三·湖南长沙·阶段练习)已知函数.
(1)若是函数的一个极值点,求实数的值;
(2)若函数有两个极值点,其中,
①求实数的取值范围;
②若不等式恒成立,求实数的取值范围.
【解析】(1)易知,又是函数的一个极值点,
,即.
此时,令,
在上单调递增,且,
当,当,
在上单调递减,在上单调递增,
所以是的极小值点,即符合题意;
因此实数的值为.
(2)①因为,且有两个极值点,
所以方程在上有两个不同的根,即方程有两个不同的正数根,
将问题转化为函数与函数的图象在上有两个不同交点,
则,令,解得,
当时,单调递减,当时,单调递增,
且当时,,故作出的图象如下:
由图象可得满足题意,即.
即实数的取值范围为;
②由①知是的两个根,
故,则,
不妨设,又,所以可得,
可得,即,所以;
故由可得,
即,所以;
也即,化简得,
由于,所以等价于对任意的恒成立,
令,故对任意的恒成立,
则,
设,则,
(i)当时,单调递增,
故单调递减,故,不满足,舍去;
(ii)当时,单调递减,
故单调递增,故,故恒成立,符合题意;
(iii)当时,令,则,
当时,单调递增,
当时,单调递减,
又,故时,,此时单调递减,故,
因此当时,,不符合题意,舍去.
综上,实数的取值范围为.
例6.(2024·高三·甘肃·开学考试)已知函数.
(1)若在上单调递增,求的取值范围;
(2)若有2个极值点,求证:.
【解析】(1)法一:因为在上单调递增,
所以时,即,
设,则,
所以时单调递减,时单调递增,
所以,
所以,即的取值范围是;
法二:因为,
所以,
若,则在上单调递增;
若,令,则,
时单调递减;时单调递增,
所以是的极小值点,所以,
所以当,即时,在上单调递增.
综上,的取值范围是.
(2)由(1)知是方程的两个不同正根,所以,
经验证,分别是的极小值点,极大值点,
,
下面证明.
由,得,
两边取对数,得,即,
则,
设,则,则要证,即证,
即证.
设,则,
所以在上单调递增,从而,
于是成立,
故.
例7.(2024·高三·湖南·开学考试)已知函数.
(1)讨论的单调性;
(2)若方程有两个不相等的根,且的导函数为,证明:.
【解析】(1),则,
当时,,函数在R上单调递增;
当时,令,,
所以函数在上单调递减,在上单调递增.
(2)因为方程有两个不等的根,且,
由(1)知,,
令,
则
,
所以函数在上单调递增,
所以
,
又在上单调递增,
所以,又,
所以,所以,
又,所以.
例8.(2024·高三·河南周口·期末)已知函数.
(1)若在上单调递减,求的取值范围;
(2)若,求证:;
(3)在(2)的条件下,若方程两个不同的实数根分别为,,求证:.
【解析】(1)由,则,
在上单调递减,即在上恒成立,
即有在上恒成立,即,
令,,则,
设,,则,
故在上单调递减,
故,
即恒成立,故在上单调递增,
有,即,
故的取值范围为;
(2)若,则,,
设,则,
故在上单调递增,又,
,故在上存在唯一零点,
设该零点为,即有,
有时,,时,,
即在上单调递减,在上单调递增,
又,,
故当时,,即,
故在上单调递减,
当时,有,故,
即在上单调递增,
故时,,
又,且定义域为,
故为偶函数,即当时,,
故恒成立;
(3), 有,
由(2)可知,若方程两个不同的实数根,则,
下面证明:,
不妨设,则,
要证,只需证明,而,
由(2)可知,在上单调递减,故只需证明,
而,故只需证明,
设
,
则,即在上单调递增,
故,故,即,
又,故,
由(2)得,,
当时,,故在上单调递增,
又,,
故.
例9.(2024·全国·模拟预测)设函数.
(1)若,求函数的最值;
(2)若函数有两个不同的极值点,记作,且,求证:.
【解析】(1)由题意得,则.
令,解得;令,解得,
在上单调递增,在上单调递减,
,
无最小值,最大值为.
(2),则,
又有两个不同的极值点,
欲证,即证,
原式等价于证明①.
由,得,则②.
由①②可知原问题等价于求证,
即证.
令,则,上式等价于求证.
令,则,
恒成立,在上单调递增,
当时,,即,
原不等式成立,即.
【过关测试】
1.(2024·高三·天津宁河·期末)已知函数,.
(1)当时,求曲线在处的切线方程;
(2)求的单调区间;
(3)设是函数的两个极值点,证明:.
【解析】(1)当时,,
得,则,,
所以切线方程为,即;
(2),
当时,恒成立,在上单调递增,无减区间,
当时,令,得,单调递增,
令,得,单调递减,
综合得:当时,的单调递增区间为,无减区间;
当时,的单调递增区间为,的单调递减区间为;
(3),
则,
因为是函数的两个极值点,
即是方程的两不等正根,
所以,得,
令,则,
得,
则,
所以
,
则,
令,
则,
所以在上单调递增,
所以,
所以,
即.
2.(2024·高三·全国·专题练习)已知函数,其中.
(1)当时,求的极值;
(2)当,时,证明:.
【解析】(1)由题意,,,
所以当时,,,
由解得:或,由解得:,
所以在上单调递增,在上单调递减,在上单调递增,
故有极大值,极小值.
(2)由题意,,,
要证,只需证,
而,
,
所以只需证,
即证①,下面给出两种证明不等式①的方法:
证法1:要证,只需证,
即证,令,
则,所以在上单调递增,
显然,所以当时,,
因为,所以,即,
故.
证法2:要证,只需证,即证,
令,则,所以只需证当时,,即证,
令,则,
所以在上单调递增,又,所以成立,即,
故
3.(2024·广东湛江·一模)已知函数.
(1)讨论的单调性;
(2)若方程有两个根,,求实数a的取值范围,并证明:.
【解析】(1)由题意可得,所以,
的定义域为,
又,由,得,
当时,,则在上单调递增,
当时,,则在上单调递减,
(2)由,得,设,
,由,得,
当时,,则在上单调递增,
当时,,则在上单调递减,
又,,且当趋近于正无穷,趋近于,
的图象如下图,
所以当时,方程有两个根,
证明:不妨设,则,,
设,
,所以在上单调递增,
又,所以,即,
又,所以,
又,,在上单调递减,所以,
故.
4.(2024·广东·模拟预测)已知.
(1)讨论的单调性;
(2)若存在两个零点,证明:存在三个零点,且
(3)在(2)的条件下,证明:.
【解析】(1),如果则,所以在R上递减;
如果,则的符号以为分界线,左边负右边正,
所以在递减,在递增;
(2)由于有两个零点,
故,而且,也就是,
所以,
如果或,
那么,
所以有零点,
同时,由于且,所以,
而,令,
则,令,
则,
这表明递增,
同时由于,
所以在上有一实数u,满足,
且时,,时,.
所以在递减,在递增.
假设,就意味着在和上均递增,
所以,矛盾.
所以,
从而在和上各有一零点,
且在和上大于0,在上小于0.
那么由于,
我们知道,
所以上一定还有的零点.
综上所述,存在三个零点,且;
(3)设,,
则有:,
但,
要证,只需要证明:,
首先,容易说明当时,,
实际上,这也就是说此时,
而意味着,
上一问已证,同时由于是的零点(可导函数取极值的必要条件),
所以,
在这里对某个函数,我们定义函数列:,
换言之是进行次求导后得到的函数,
从而令,,
则,
所以时,,
所以时,,
所以时,,
即,
所以,
又因为,
所以,从而,
也就是,
由于,
而在上小于0,在上大于0,
故,
又由于,,
而在上递减,在上递增,
故,
综上,,从而.
证.
5.(2024·天津和平·一模)已知函数,(为自然对数的底数).
(1)求函数的单调区间:
(2)设在处的切线方程为,求证:当时,;
(3)若,存在,使得,且,求证:当时,.
【解析】(1)因为,定义域为,
令,即,
所以递减区间为,递增区间为.
(2)因为,所以,而,
所以在点处的切线方程为:,
当时,令,
由,,当时,,当时,,
所以在递减,在上单调递增,故,即,
所以,所以,
所以在时恒成立,
即时,得证.
(3)由题意可知,
因为时,,
令,所以在时单调递减,
所以,所以在上为减函数,且,此时,
则由(1)有在上单调递减,在上单调递增,且,此时,
由题意,设,
设与交点的横坐标为,则,有,
因为,且,
所以,又,
所以,
令,则
,
令,则,
所以时,,时,,
所以函数在上递增,在上递减,
所以,即,
所以,,
所以在单调递增.
在时,,
所以,
所以.
6.(2024·天津·一模)设函数.
(1)求曲线在点处的切线方程;
(2)设函数
(i)当时,取得极值,求的单调区间;
(ii)若存在两个极值点,证明:.
【解析】(1),
则,
所以曲线在点处的切线方程为,即;
(2)(i),
,
∵时,取得极值,∴,解得,
∴,
令,得或;令,得,
∴的单调增区间为,,单调减区间为;
(ii),
∵存在两个极值点,
∴方程,即在上有两个不等实根.
∵,解得,
则
∴所证不等式等价于,
即,
不妨设,即证,
令,,
则,
∴在上递增,∴,
∴成立,
∴.
7.(2024·青海·一模)已知函数.
(1)若,求的取值范围;
(2)若有两个零点,,证明:.
【解析】(1)由题意可知的定义域为,且,
对于,有在上恒成立,即递减,
所以,即在上恒成立,
当时,,当时,,
所以在上单调递增,在时单调递减,
所以当时,函数有最大值,,所以,
即,所以的取值范围为;
(2)不妨设,由(1)知,即,令,
构造,且,
所以
,
令,则,
当时,,递减,故,
所以时,单调递减,故,
即在上,所以,
又,所以,即,
由(1)知在上单调递减,所以,故得证.
8.(2024·全国·一模)已知
(1)若,求实数的取值范围;
(2)设是的两个零点(),求证:①;②.
【解析】(1),设,
则,所以单调递增,注意到,
所以当时,,,单调递减,
当时,,,单调递增,
所以,
若,则,解得,
所以实数的取值范围为;
(2)①由题意不妨设,则由(1)可知,且,
所以
,
设,,
所以函数单调递增,所以,
所以,即,
又函数在上面单调递减,所以,所以;
②注意到,
所以,要证,
只需,即只需,
令,则,
当时,,单调递增,
当时,,单调递减,
又,所以,
所以要证,只需,即,
不妨设,
则,
当时,,单调递增,
当时,,单调递增,
因为,所以,即,
又因为,所以,
综上所述,命题得证.
9.(2024·吉林延边·一模)已知有两个极值点.
(1)求实数a的取值范围;
(2)证明:.
【解析】(1)由题意可知,
因为有两个极值点,所以有两个不等根,
即有两个交点,
令,
当时,,当时,,
即在上单调递增,在上单调递减,
而时,,,,
所以,
此时在上单调递减,在上单调递增,
即在处取得极小值,在取得极大值,符合题意,
故;
(2)由(1)不妨设:,
构造,
,
易知,则,
所以在上单调递增,,
所以,
又在上单调递增,所以,即
由(1)知,
欲证,可证,
构造
,
令,
时,易知,
即,所以在上单调递增,
所以,则在上单调递减,
所以,
即,证毕.
10.(2024·辽宁大连·一模)已知函数的定义域为区间值域为区间,若则称是的缩域函数.
(1)若是区间的缩域函数,求a的取值范围;
(2)设为正数,且若是区间的缩域函数,证明:
(i)当时,在单调递减;
(ii)
【解析】(1)若是区间的缩域函数,则,;
即,解得;
可得,则;
令,则;
当时,,则单调递减;
当时,,则单调递增.
所以,解得,
下面证明,即,也即;
令,则,
当时,,单调递增;
当时,,单调递减;
因此可得,所以,
综上a的取值范围为
(2)(i)当时,若是区间的缩域函数,则,
即,进一步,
当时,,即,;
由(1)可知,当时,,则单调递减;
所以在区间上单调递减,
(ii)若是区间的缩域函数,则;
故有,即;
设函数,则;
当时,,单调递增,
当时,,单调递减;
因为为正数且则,又,
所以在上单调递减,所以;
记,设,且,由的单调性可知,故;
记,
则,
当时,,单调递增;
故,即;
因为在上单调递减,故,即;
由,故,
所以,又因为,
故.
11.(2024·高三·江西·开学考试)已知函数,且的极值点为.
(1)求;
(2)证明:;
(3)若函数有两个不同的零点,证明:.
【解析】(1)由,
则,
所以当时,单调递增,
当时,单调递减,
所以为的极大值点,即.
(2)由(1)知,,
要证,只需证,即,
令,则,
当时,单调递减;
当时,单调递增,
所以,即,所以.
(3)因为是的两个不同的零点,
所以,
两式相减并整理,得.
设,由(2)知,
所以要证,只需证,即证.
设,下面只需证,
设,则,
所以在上单调递增,从而,
所以成立,从而.
12.(2024·高三·河北·开学考试)已知函数
(1)若、在处切线的斜率相等,求的值;
(2)若方有两个实数根,试证明:;
(3)若方程有两个实数根,试证明:.
【解析】(1)
,,
又,
所以.
(2)由(1)知,则
令,
令
时,单调递增
时,单调递减
所以
因为
由差比的性质知:,
又,则
欲证:
即证:
不妨设:
下证,令
下证令
所以在上单调递增,
所以
所以
(3)不妨设,下证
在处的切线方程为
构造
当时,;时,;
所以在上单调递减,在上单调递增
又
所以在上单调递减,在上单调递增,
所以,
所以,
设方程的函数值为的根,则
因为在上单调递减,所以,
在处的切线方程为,
构造
当时,;时,;
所以在上单调递减,在上单调递增
又
所以在上单调递减,在上单调递增
所以
所以
设方程的根
又,由在上单调递增
所以
又
所以.
13.(2024·四川凉山·二模)已知函数.
(1)若函数在R上是增函数,求a的取值范围;
(2)设,若,证明:.
【解析】(1)
函数,求导得,
依题意,对任意实数,恒成立,而,
因此,解得:,
所以的取值范围为.
(2)函数的定义域为,
由,得,
由(1)知,函数在上是增函数,
不妨令,则,即,
亦即,则,
于是,则,
下面证明:,即证:,即证:,
令,即证:,设,
求导得,则函数在上单调递减,
于是,即,所以.
14.(2024·高三·江苏·专题练习)已知函数,.
(1)求的单调区间;
(2)设是函数的两个极值点,证明:.
【解析】(1)的定义域为,
,
当时,恒成立,在上单调递增,
当时,令,得,单调递增,
令,得,单调递减,
综合得:当时,的单调递增区间为,无减区间;
当时,的单调递增区间为,的单调递减区间为;
(2),
则,
因为是函数的两个极值点,
即是方程的两不等正根,
所以,得,
令,则,
得,
则,
所以
,
则,
令,则,
所以在上单调递增,
所以,
所以,即.
15.(2024·江西上饶·一模)已知函数,若为实数,且方程有两个不同的实数根.
(1)求的取值范围:
(2)①证明:对任意的都有;
②求证:.
【解析】(1),,,,
在上为增函数,在上为减函数
,,当时,,且时,.
故函数的图象如下:
因为方程有两个不同的实数根,
所以;
(2)(ⅰ)记,,
则,,设,
则,
在上为减函数,
,,
存在,使得,
时,;时,,
在上为增函数,在上为减函数,
又,,;
(ⅱ)不妨设,则,
由(1)知,又,,
.
要证,
只要证
,
记,,
,
在上为增函数,,
成立,
成立.
16.(2024·高三·新疆伊犁·阶段练习)已知,函数.
(1)当时,求的单调区间;
(2)当时,设的导函数为,若恒成立,求证:存在,使得;
(3)设,若存在,使得,证明:.
【解析】(1)当时,,,
所以当时,,当时,,
所以的递增区间为,递减区间.
(2)当时,可得,则,
因为恒成立,即恒成立,令,
若,则,存在,使得,
即,不符合题意,所以,
取,则,可得,
即存在,使得.
(3)由函数,可得,
设,因为,可得
则
又由,可得,所以函数为单调递增函数,
所以,即,
所以,即,
设,可得,
所以当时,,即,所以,
即,所以,
代入可得:,
则,所以.
17.(2024·高三·广东·阶段练习)设函数,其中a为实数.
(1)当时,求的单调区间;
(2)当在定义域内有两个不同的极值点时,证明:.
【解析】(1)的定义域为,,
令,得或,
时,,时,,
所以的单调递增区间为,单调递减区间为;
(2),
由在上有两个不同的极值点,
故有两个不同的正根,则有,解得,
因为
,
设,,
则,故在上单调递增,
又,
故.
18.(2024·高三·山东菏泽·阶段练习)已知函数,,为常数.
(1)求的单调性;
(2)令,若且.证明:.
【解析】(1)
,,
当时,为常函数,
当时,当时,,单调递增,
当时,,单调递增,
当时,,单调递减,
当时,当时,,单调递减,
当时,,单调递减,
当时,,单调递增,
综上所述,当时,为常函数,无单调性
当时,在、上单调递增,在上单调递减,
当时,在上单调递增,在、上单调递减;
(2),,
令,则,
因 ,故 有两个零点,
若,则,单调递增,不可能有两个零点,
所以,令,得,
当时,,单调递减;
当时,,单调递增;
所以,
因为有两个零点,所以,则,
又,,,
设,因为,,则,
因为,所以,,
则,取对数得,
令,,则,
要证,即证,即证,
即证,
令,则,
在上单调递增.
则,,
成立,即,也即.
19.(2024·河北邯郸·三模)已知函数,.
(1)求曲线在点处的切线方程.
(2)已知关于的方程恰有4个不同的实数根,其中,.
(i)求的取值范围;
(ii)求证:.
【解析】(1),
所以,
又,所以曲线在点处的切线方程为.
(2)(i)由,得,该方程有一根为,且,
所以即有3个不同的实数根,且这3个实数根均不为.
令,则,
所以当时,,当时,,当时,,
所以在上单调递增,在上单调递减,在上单调递增.
又,且当无限趋近于时,且趋近于0,
当从0的左侧无限趋近于0时,趋近于,当从0的右侧无限趋近于0时,趋近于,
当无限趋近于时,的增速远大于的增速,所以趋近于.
故的大致图象如图所示:
又,所以当时,直线与曲线有3个不同的交点,且这3个交点的横坐标均不为,所以的取值范围为.
(ii)由(i)知,,所以,,
所以,则,
要证,只需证,
不妨设,所以,所以,则只需证.
令,则,令,
则当时,,
所以在上单调递增,所以,
所以当时,恒成立,所以原不等式得证.
20.(2024·黑龙江齐齐哈尔·一模)已知函数.
(1)设函数,讨论的单调性;
(2)设分别为的极大值点和极小值点,证明:.
【解析】(1),
,
当时,在上恒成立,则在上单调递增,
当时,单调递减,
单调递增,
综上,当时,在上单调递增,
当时,在上单调递减,在上单调递增;
(2)分别是的极大值点和极小值点,
,且对于有,
且对称轴,所以,
,
所以,
综上,要证,
只需证,
因为,
即证:,
设.
所以,
所以在上单调递增,所以.
所以成立.
21.(2024·广西南宁·一模)已知函数.
(1)若直线与函数和均相切,试讨论直线的条数;
(2)设,求证:.
【解析】(1)设直线与函数和分别相切于,
由可得,
直线方程为以及,
故,进而,
令,
记,
当单调递减,
单调递增,
又,故存在唯一的,
故当 单调递增,
当单调递减,
,
又,
因此存在两个零点,故直线的条数为2条.
(2)令则,
由,由于故,
令,则,故,
故
记,
记,所以在单调递减,故,
故,在单调递减,故,
所以即,
相关试卷
这是一份微专题23 痛点问题之概率统计经典解答题 -2024年新高考数学二轮复习微专题提分突破140分(原卷版),共12页。
这是一份微专题23 痛点问题之概率统计经典解答题 -2024年新高考数学二轮复习微专题提分突破140分,共33页。
这是一份微专题24 痛点问题之新定义问题-2024年新高考数学二轮复习微专题提分突破140分(原卷版),共15页。

