高中数学人教A版 (2019)必修 第二册6.3 平面向量基本定理及坐标表示获奖教学作业课件ppt
展开6.3.3 平面向量加、减运算的坐标表示
人教A版2019必修第二册
目录
【单元目标】(1)理解平面向量基本定理及其意义。(2)借助平面直角坐标系,掌握平面向量的正交分解及坐标表示。(3)会用坐标表示平面向量的加、减运算与数乘运算。(4)能用坐标表示平面向量的数量积,会表示两个向量的平面夹角。(5)能用坐标示平面向量共线、垂直的条件。
新 课 导 入
【单元知识结构框架】
教学重点: 平面向量基本定理、平面向量的坐标表示及平面向量运算的坐标表示。教学难点: 平面向量基本定理唯一性证明。
问题1:平面向量的基本定理是什么?
问题2:用坐标表示向量的基本原理是什么?
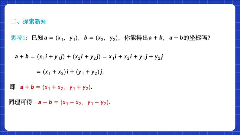
问题3:如图,取与 x 轴、 y 轴同向的两个单位向量i,j作为基底,分别用 i,j 表示OA,OB,并求出它们的坐标.
新 课 探 究
二、探索新知
解:a+b =(2,1)+(-3,4)=(-1,5), a-b =(2,1)-(-3,4)=(5,-3).
例4 已知a=(2,1),b=(-3,4),你能求出a+b,a-b的坐标吗?
问题5:能不能其他的方法进行求解呢?
例5 如图,已知□ABCD的三个顶点A, B, C的坐标分别是(-2, 1),(-1, 3),(3, 4),求顶点D的坐标.
解法1:设顶点D的坐标为(x,y).
∴(1,2)=(3-x,4-y).
∴顶点D的坐标为(2,2).
解法2:如图,由向量加法的平行四边形法则可知
所以顶点D的坐标为(2,2).
你能比较一下两种解法在思想方法上的异同点吗?
例5 如图,已知□ABCD的三个顶点A, B, C的坐标分别是(-2, 1),(-1, 3),(3, 4),求顶点D的坐标.
1.点A(1,-3), 的坐标为(3,7),则点B的坐标为( )A.(4,4) B.(-2,4)C.(2,10) D.(-2,-10)
【答案】 A
课 堂 练 习
A.(4,6) B.(-4,-6)C.(-2,-2) D.(2,2)
【答案】 A
3.已知边长为2的正三角形ABC,顶点A在坐标原点,AB边在x轴上,C在第一象限,D为AC的中点,分别求向量 的坐标.
【解】 如图,正三角形ABC的边长为2,
则顶点A(0,0),B(2,0),C(2cos 60°,2sin 60°),
1·向量坐标表示加减运算:
2·向量的坐标表示方法:定义法:分别向坐标轴引垂线.原点法:向量起点放到原点,终点的坐标两点法:终点的坐标-起点坐标。
课 堂 小 结
1. 习题6.3.32.6.3.3平面向量的加、减运算的坐标表示(分层作业)(必做题+选做题)
课 后 作 业
人教A版2019必修第二册
课程结束
高中数学人教A版 (2019)必修 第二册第十章 概率10.3 频率与概率完美版教学作业ppt课件: 这是一份高中数学人教A版 (2019)必修 第二册第十章 概率10.3 频率与概率完美版教学作业ppt课件,文件包含大单元1032随机模拟课件人教A版2019必修第二册pptx、大单元103频率与概率单元教学设计人教A版2019必修第二册docx、大单元1032随机模拟分层作业必做题+选做题人教A版2019必修第二册解析版docx、大单元1032随机模拟分层作业必做题+选做题人教A版2019必修第二册原卷版docx等4份课件配套教学资源,其中PPT共22页, 欢迎下载使用。
人教A版 (2019)必修 第二册8.6 空间直线、平面的垂直精品教学作业课件ppt: 这是一份人教A版 (2019)必修 第二册8.6 空间直线、平面的垂直精品教学作业课件ppt,文件包含大单元861直线与直线垂直分层作业必做题+选做题人教A版2019必修第二册解析版docx、大单元861直线与直线垂直课件人教A版2019必修第二册pptx、大单元86空间直线平面的垂直单元教学设计人教A版2019必修第二册docx、大单元861直线与直线垂直分层作业必做题+选做题人教A版2019必修第二册原卷版docx等4份课件配套教学资源,其中PPT共36页, 欢迎下载使用。
高中数学人教A版 (2019)必修 第二册第八章 立体几何初步8.4 空间点、直线、平面之间的位置关系一等奖教学作业ppt课件: 这是一份高中数学人教A版 (2019)必修 第二册第八章 立体几何初步8.4 空间点、直线、平面之间的位置关系一等奖教学作业ppt课件,文件包含大单元841平面课件人教A版2019必修第二册pptx、大单元841平面分层作业必做题+选做题人教A版2019必修第二册解析版docx、大单元84空间点直线平面之间的位置关系单元教学设计人教A版2019必修第二册docx、大单元841平面分层作业必做题+选做题人教A版2019必修第二册原卷版docx等4份课件配套教学资源,其中PPT共31页, 欢迎下载使用。

