所属成套资源:高考数学专练(新高考专用)
重难点6-2 数列求和问题8大题型-高考数学专练(新高考专用)
展开
这是一份重难点6-2 数列求和问题8大题型-高考数学专练(新高考专用),文件包含重难点6-2数列求和问题8大题型解析版docx、重难点6-2数列求和问题8大题型原卷版docx等2份试卷配套教学资源,其中试卷共56页, 欢迎下载使用。
重难点6-2 数列求和问题8大题型
数列求和是高考数学的必考内容,一般利用等差数列的通项来构建考查裂项求和,构建等差等比数列考查错位相减法求和,解答题中等差数列、等比数列通项的考查往往是第1问,数列求和则是第2问。近几年在数列求和中加大了思维能力的考查,减少了对程序化计算(错位相减、裂项相消)的考查,主要基于新的情景,要求考生通过归纳或挖掘数列各项间关系发现规律再进行求和。
一、几种数列求和的常用方法
1、分组转化求和法:一个数列的通项公式是由若干个等差或等比或可求和的数列组成的,则求和时可用分组求和法,分别求和后相加减.
2、裂项相消法:把数列的通项拆成两项之差,在求和时中间的一些项可以相互抵消,从而求得前n项和.
3、错位相减法:如果一个数列的各项是由一个等差数列和一个等比数列的对应项之积构成的,那么求这个数列的前项和即可用错位相减法求解.
4、倒序相加法:如果一个数列与首末两端等“距离”的两项的和相等或等于同一个常数,那么求这个数列的前项和即可用倒序相加法求解.
二、公式法求和常用公式
公式法主要适用于等差数列与等比数列.
1、等差数列的前n项和
2、等比数列的前n项和
3、一些常见的数列的前n项和:
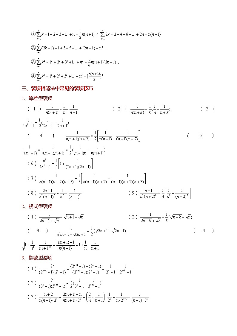
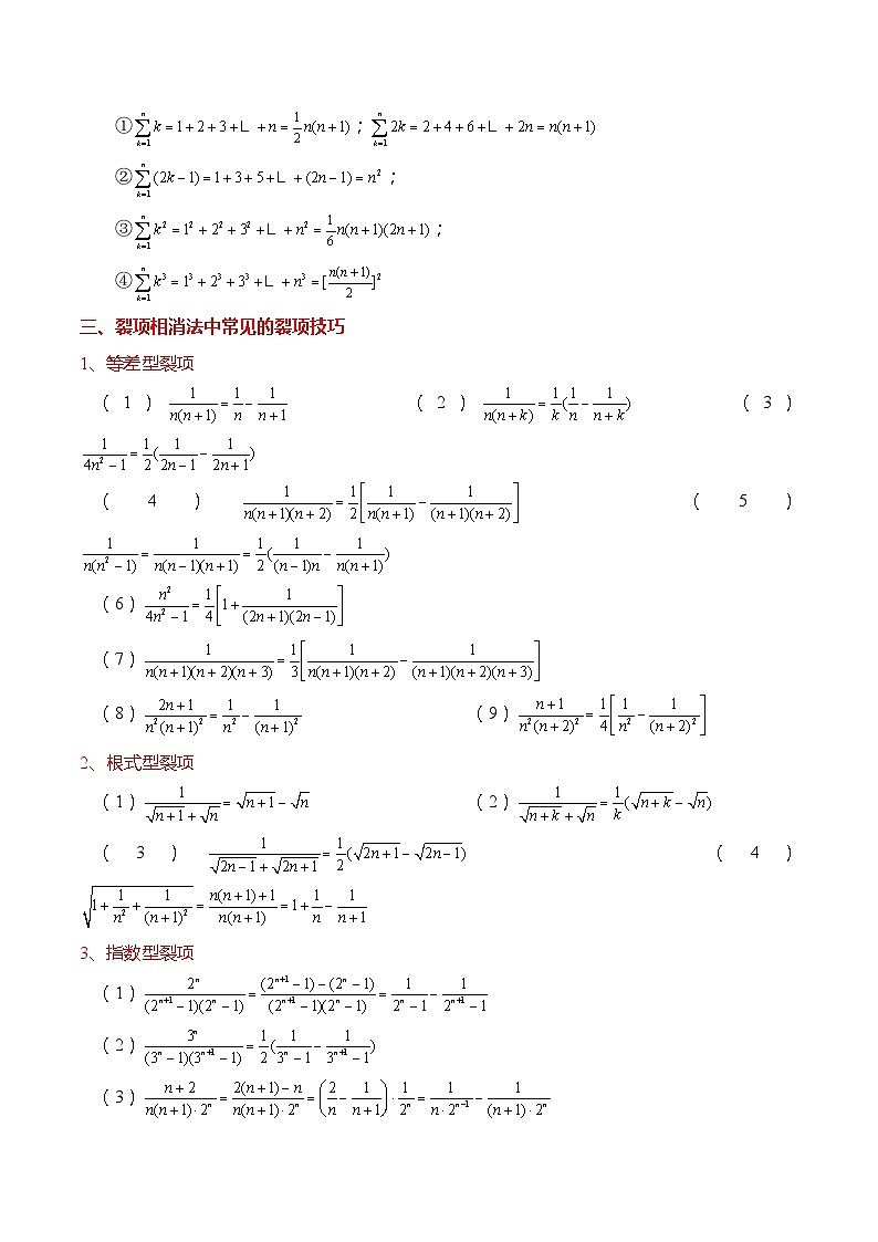
①;
②;
③;
④
三、裂项相消法中常见的裂项技巧
1、等差型裂项
(1) (2) (3)
(4) (5)
(6)
(7)
(8) (9)
2、根式型裂项
(1) (2)
(3) (4)
3、指数型裂项
(1)
(2)
(3)
(4)
(5)
(6)
4、对数型裂项
四、错位相减法求和步骤
形如,
其中为等差数列,首项为,公差为;为等比数列,首项为,公比为.
对数列进行求和,首先列出,记为①式;
再把①式中所有项同乘等比数列的公比,即得,记为②式;
然后①②两式错开一位作差,从而得到的前项和。
注:等差数列的通项常见形式为 (其中A、B为常数),
等比数列通项常见的形式为 (其中A、m为常数)
【题型1 等差等比数列求和】
【例1】(2023·全国·校联考二模)已知公差不为0的等差数列中,,且,,成等比数列.
(1)求数列的通项公式;
(2)设,求数列的前项和.
【答案】(1);(2)
【解析】(1)由已知得,即,,
又因为,所以,解得或(舍去),
所以.
(2)由(1)得,因为,
所以是以为首项,以27为公比的等比数列,
所以.
【变式1-1】(2023·浙江金华·浙江金华第一中学校考模拟预测)记为数列的前项和,已知.
(1)求的通项公式;
(2)令,记数列的前项和为,试求除以3的余数.
【答案】(1);(2)2
【解析】(1)由有,即,
又,故,所以数列是以1为首项,为公差的等差数列,
所以,即,
故,两式相减得,即,
所以,
因此的通项公式为.
(2)由(1)及,有,所以,
又,
因为均为正整数,所以存在正整数使得,
故,
所以除以3的余数为2.
【变式1-2】(2023春·湖南长沙·高三长郡中学校考阶段练习)已知数列满足:.则的前60项的和为( )
A.1240 B.1830 C.2520 D.2760
【答案】D
【解析】由,
故,,,,….
故,,,….
从第一项开始,依次取2个相邻奇数项的和都等于3;
,,,….
从第二项开始,依次取2个相邻偶数项的和构成以13为首项,
以24为公差的等差数列.
故.故选:D.
【变式1-3】(2022秋·黑龙江哈尔滨·高三哈师大附中校考期末)“中国剩余定理”又称“孙子定理”,最早可见于我国南北朝时期的数学著作《孙子算经》,1852年,英国传教士伟烈亚力将该解法传至欧洲,1874年,英国数学家马西森指出此法符合1801年由高斯得到的关于同余式解法的一般性定理,因而西方称之为“中国剩余定理”.此定理讲的是关于整除的问题,现将1到2023这2023个数中,能被7除余1且被9除余1的数按从小到大的顺序排成一列,构成数列,则该数列的和为( )
A.30014 B.30016 C.33296 D.33297
【答案】D
【解析】现将1到2023这2023个数中,
能被7除余1且被9除余1的数按从小到大的顺序排成一列,
则该数列中的数字被63除余1,,
由,得,
,
数列的和为:.故选:D.
【变式1-4】(2023春·重庆渝中·高三重庆巴蜀中学校考阶段练习)已知数列满足:关于的一元二次方程有两个相等的实根.
(1)求证:数列成等差数列;
(2)设数列的前项和为,,,求的最小值.
【答案】(1)证明见解析;(2)-12
【解析】(1)因为方程
有两个相等的根,则,
化简得:,所以,
根据等差数列的定义可知,数列为等差数列.
(2)因为数列成等差数列,设公差为,首项为,
则由,,可列方程组,解得,
所以,令解得,
所以从第四项起,,所以的最小值为.
【题型2 裂项相消法求和】
【例2】(2023春·河南·高三校联考阶段练习)已知数列满足,,.
(1)求数列的通项公式;
(2)若数列,为数列的前n项和,求.
【答案】(1);(2)
【解析】(1)根据题意,∵,∴,
∴,则,,,…,,,
利用累乘法可得,,∴.
(2)根据题意,
∴
.
【变式2-1】(2023·全国·模拟预测)记为等差数列的前项和,已知,为与的等比中项.
(1)求数列的通项公式.
(2)若,求数列的前项和.
【答案】(1)或;(2)
【解析】(1)设等差数列的公差为.
由,得,解得.
由为与的等比中项,得,
所以,则.
整理,得,解得或.
当时,;当时,.
故数列的通项公式为或.
(2)当时,,则,
所以,则,所以.
因为
,
所以.
【变式2-2】(2023·全国·模拟预测)已知数列的前n项和,数列为等差数列,满足,的前9项和.
(1)求数列,的通项公式;
(2)求数列的前n项和.
【答案】(1),;(2)
【解析】(1)由是等差数列,,解得.
由得公差,故.
故的前n项和,
则,,,
则,
经检验时也满足上式,故.
(2)由(1)知
,
故数列的前n项和
【变式2-3】(2023·全国·模拟预测)已知数列的前项和为,且满足,.
(1)求数列的通项公式.
(2)记,求数列的前项和.
【答案】(1);(2)
【解析】(1)方法一:当时,由得:,即,
又,;
当时,,
又,满足,即当时,成立,
数列是以为首项,为公比的等比数列,.
方法二:由得:,又,
数列是以为首项,为公比的等比数列,
,即,
当时,,
又满足,.
(2)由(1)得:,
.
【变式2-4】(2023·吉林长春·校联考一模)已知等差数列的首项,记的前n项和为,.
(1)求数列的通项公式;
(2)若数列公差,令,求数列的前n项和.
【答案】(1)或;(2)
【解析】(1)由题意可得:,
整理得,则
可得或,
故或.
(2)∵,由(1)可得,
则,
故
所以.
【变式2-5】(2023·山西·校联考模拟预测)在①;②;③,这三个条件中任选一个补充在下面横线上,并解答问题.
已知数列的前n项和.
(1)证明:数列是等差数列;
(2)若,设___________,求数列的前n项和.
【答案】(1)证明见解析;(2)答案见解析
【解析】(1)因为①,
所以②,
②①得,整理得,
由等差数列的定义可知是等差数列.
(2)由(1)得的公差,
又因为,所以.
若选①:
所以
.
若选②:,
所以.
若选③:
,
则,
两式作差得
.
所以.
【题型3 错位相减法求和】
【例3】(2023春·广东揭阳·高三校联考阶段练习)已知正项数列中,.
(1)求的通项公式;
(2)若,求的前n项和.
【答案】(1);(2)
【解析】(1)当时,,解得,
由当时,,得当时,,
两式相减得,即,
又,所以,
又适合上式,
所以数列是以为首项,为公差的等差数列,所以;
(2),
则,
,
两式相减得
,所以.
【变式3-1】(2023·四川成都·川大附中校考二模)已知数列的前n项和为,,且.,.
(1)求数列和的通项公式;
(2)若,求数列的前n项和.
【答案】(1),;(2)
【解析】(1)∵,∴,则,所以为等比数列,
又,得,所以,
由知是等差数列,且,,
∴,得,.∴.
(2)因为,,所以,
所以
则
上面两式作差得
,
∴
【变式3-2】(2023·全国·模拟预测)记公差为1的等差数列的前项和为,______.从下面①②③三个条件中任选一个补充在上面问题中的横线处并作答.
①;②;③,,成等比数列.
(1)求的通项公式;
(2)设,求数列的前项和.
注:如果选择多个条件分别解答,按第一个解答计分.
【答案】(1);(2).
【解析】(1)选条件①,,则,即,
而公差,因此,所以.
选条件②,,则,而公差,解得
所以.
选条件③,,,成等比数列,即,,成等比数列,
有,解得,
所以.
(2)由(1)知,,
,
则,
两式相减得,
所以.
【变式3-3】(2023·全国·高三专题练习)已知数列的前n项和为,在数列中,,,.
(1)求数列,的通项公式;
(2)设,为数列的前n项和,求的最值.
【答案】(1),;(2)最小值为,最大值为1
【解析】(1)由已知得,当时
.
∴
当时,,也满足上式.所以
当时,,∴
当时,,符合上式
当时,,所以,也符合上式,综上,
∴,.
(2)由(1)可得:
∴
两式相减:
∴
当n为奇数时,不妨设,
则
∴单调递减,
当n为偶数时,不妨设,
则
∴单调递增,
∴的最小值为,最大值为1.
【变式3-4】(2023·河南·洛阳市第三中学校联考一模)已知数列的前项和满足.
(1)求数列的通项公式;
(2)求数列的前项和.
【答案】(1);(2)
【解析】(1)①因为①,
当时,,得.
当时,②,
①-②得:,即,
所以.
所以数列是首项为,公比为的等比数列.
所以.
所以.
(2)由(1)知,,
令,
则③.
所以④.
③-④得:,
整理得:
所以.
【题型4 逆序相加法求和】
【例4】(2023·全国·本溪高中校联考模拟预测)“数学王子”高斯是近代数学奠基者之一,他的数学研究几乎遍及所有领域,在数论、代数学、非欧几何、复变函数和微分几何等方面都作出了开创性的贡献.我们高中阶段也学习过很多高斯的数学理论,比如高斯函数、倒序相加法、最小二乘法、每一个n阶代数方程必有n个复数解等.已知某数列的通项,则( )
A.48 B.49 C.50 D.51
【答案】D
【解析】函数,
,
又,所以.
则,,
∴,所以.故选:D
【变式4-1】(2023·全国·高三专题练习)设函数,设,.
(1)计算的值.
(2)求数列的通项公式.
【答案】(1)2;(2)
【解析】(1);
(2)由题知,当时,,
又,两式相加得
,
所以,
又不符合,
所以.
【变式4-2】(2022·全国·高三专题练习)设是函数的图象上任意两点,且,已知点的横坐标为.
(1)求证:点的纵坐标为定值;
(2)若且求;
【答案】(1)证明见解析;(2).
【解析】(1)证明:设,因为,故可得,
由知,故,
故.
故点的纵坐标为定值.
(2)由(1)知
,
两式相加得:
,
故.
【变式4-3】(2023·全国·高三专题练习)已知,则______.
【答案】4042
【解析】由,令可得,,
且,
则,
所以,函数关于点对称,即
由已知,,
又
两式相加可得,
所以,.
【题型5 并项法求和】
【例5】(2023·全国·高三专题练习)已知,求数列的前n项和.
【答案】为偶数时,;为奇数时,.
【解析】因为,
所以当为偶数时,,
所以,
当为奇数时,,
综上可知:当为偶数时,;为奇数时,.
【变式5-1】(2023·云南曲靖·曲靖一中校考模拟预测)设为数列的前项和,且满足:.
(1)设,证明是等比数列;
(2)求.
【答案】(1)证明见解析;;(2).
【解析】(1)因为,,则,
两式相减得:,整理可得,即,
于是,,
所以数列是等比数列.
(2)由(1)知,,又,则
所以.
【变式5-2】(2023·福建厦门·统考二模)记等差数列的公差为,前项和为;等比数列的公比为,前项和为,已知,,.
(1)求和;
(2)若,,求的前项和.
【答案】(1)或.;(2)
【解析】(1)由已知条件可得:①,②,③,
由①②消去得:,
由①③得:,
所以,得或,
所以或.
(2)当时,,则,所以,
所以
,
的前项和为
【变式5-3】(2023春·江西·高三校联考阶段练习)记数列的前项和为,则________.
【答案】
【解析】设,可知的最小正周期,
令(,),则
当时,则;
当时,则;
当时,则;
对于,都有.
所以
又
所以
【题型6 奇偶项数列求和】
【例6】(2023·广西·统考模拟预测)记为等比数列的前项和.已知.
(1)求;
(2)设求数列的前项和.
【答案】(1);(2)
【解析】(1)设等比数列的公比为.由题意,可知
,解得:,
.
(2)由题设及(1)可知:
当为奇数时,,
当为偶数时,,
故,
【变式6-1】(2023·山东济南·一模)已知数列满足.
(1)若数列满足,证明:是常数数列;
(2)若数列满足,求的前项和.
【答案】(1)证明见解析;(2)
【解析】(1)因为
,
所以,所以是常数数列.
(2)因为,所以,
所以,所以.
因为,
所以
,
所以.
【变式6-2】(2023·云南红河·统考二模)已知等差数列的公差,,其前项和为,且______.
在①,,成等比数列;②;③这三个条件中任选一个,补充在横线上,并回答下列问题.
(1)求数列的通项公式;
(2)若数列满足,求数列的前项和.
注:如果选择多个条件分别解答,那么按第一个解答计分.
【答案】(1);(2)
【解析】(1)若选择条件①.因为,,成等比数列,所以,
,整理得,
又,解得,所以数列的通项公式为.
若选择条件②.因为,所以,
,解得,
所以数列的通项公式为,
若选择条件③.因为,所以,
即,
因为,,所以,所以,
则数列的通项公式为
(2)解法一:
解法二:
【变式6-3】(2023·山东聊城·统考一模)已知数列满足,,数列满足.
(1)求数列和的通项公式;
(2)求数列的前项和.
【答案】(1),;(2)
【解析】(1),得,
因为,即,解得,
由,得,
又,
故,所以,即,
所以,
又,所以数列是以为首项,为公比的等比数列,
所以,所以,
则,故,
所以;
(2)当为偶数时,
,
当为奇数时,
,
综上所述,.
【变式6-4】(2023·河南焦作·统考模拟预测)已知数列满足.
(1)求的通项公式;
(2)已知数列的前20项和.
【答案】(1);(2)
【解析】(1)当时,可得,
当时,,
,
上述两式作差可得,
因为满足,所以的通项公式为.
(2),
所以,
.
所以数列的前20项和为.
【题型7 含绝对值数列求和】
【例7】(2022秋·江苏常州·高三校考阶段练习)已知数列的前项和为,满足.
(1)求数列的通项公式及;
(2)若数列满足,求数列的前10项的和.
【答案】(1);;(2).
【解析】(1)由得:,即,
由得:,
两式相减得:,即,
所以数列是以1为首项,2为公比的等比数列,
所以,则;
(2)由(1)知:,则,
所以
.
【变式7-1】(2023·重庆沙坪坝·高三重庆八中校考阶段练习)已知等差数列的前n项和为,且,.
(1)求,并求的最大值;
(2)设数列的前n项和为,求.
【答案】(1);(2)
【解析】(1)等差数列的前n项和为,
,解得:,
则,
,开口向下,对称轴为,
则或时,取最大值,为,
即的最大值;
(2)根据(1)可得,
令,解得:,
.
【变式7-2】(2023·全国·模拟预测)在数列中,,.
(1)求的通项公式;
(2)求数列的前项和.
【答案】(1);(2)
【解析】(1)因为在数列中,,,所以,,
所以,等式两边同加上得,
因为,所以,数列是首项为,公比为的等比数列,
所以,.
(2)因为,
即,所以,为单调递减数列,
因为,,
所以,时,,时,,
记的前项和为,则,
所以,当时,,;
当时,,,①
,②
所以,①②得:,
即,
综上,
【变式7-3】(2023春·安徽阜阳·高三阜阳市第二中学校考阶段练习)在数列,中,,对任意,,等差数列及正整数满足,,且.
(1)求数列,的通项公式;
(2)令,求前项和.
【答案】(1),;(2).
【解析】(1)由题意知,因为,所以.
因为,所以,所以,所以,即,
所以是以1为首项,2为公比的等比数列,所以.
设数列公差为,
,
∴,.
(2)因为,所以
所以当时,数列的前项和;
当时,数列的前项和
.
所以.
【题型8 数列求和与不等式】
【例8】(2023春·湖北·高三统考阶段练习)已知数列的首项,且满足.
(1)求证:数列为等比数列
(2)设数列满足,求最小的实数,使得对一切正整数均成立.
【答案】(1)证明见解析;(2)
【解析】(1)因为,所以.
又,所以数列是一个首项为,公比为的等比数列.
(2)由知,当为偶数时,,
当为奇数时,
故
,
当时,,则,
所以的最小值为.
【变式8-1】(2022·全国·高三专题练习)已知数列前项和为满足,.
(1)求通项公式;
(2)设,求证:.
【答案】(1);(2)证明见解析.
【解析】(1)由,得,两式相减,得.
由,,得,
所以,,即数列是以2为首项,公比为3的等比数列,
从而有.
(2)证明:由(1)知,从而,
所以,当时,,
从而有;
当时,不等式显然成立.
综上有成立.
【变式8-2】(2023·天津南开·统考一模)已知等差数列的首项为1,前项和为,单调递增的等比数列的首项为2,且满足.
(1)求和的通项公式;
(2)证明:;
(3)记的前项和为,证明:.
【答案】(1);(2)证明见解析;(3)证明见解析
【解析】(1)由题意,设等差数列的公差为,等比数列的公比为,
因为,
所以即解得(舍去),或
所以.
(2)由(1)知,
所以
(3)由(1)知.
所以
所以
.
即
【变式8-3】(2022·全国·高三专题练习)已知数列的前n项和为,,数列满足:当,,成等比数列时,公比为,当,,成等差数列时,公差也为.
(1)求与;
(2)证明:.
【答案】(1),;(2)证明见解析.
【解析】(1)因为,所以当时,,当时,,
当时,, ,
所以,
.
(2)当时,,,,
∴,成等比数列,则,
当时,,,,
∴,成等差数列,则,
∵,∴当时,,
又∵,
∴当时,,即,
综上可得,.
【变式8-4】(2021·全国·高三专题练习)已知各项均为正数的数列的前n项和满足,且.
(1)求的通项公式:
(2)设数列满足,并记为的前n项和,求证:.
【答案】(1);(2)证明见解析.
【解析】(1)由,结合,因此
由
得,
又,得
从而是首项为2公差为3的等差数列,
故的通项公式为.
(2)由可得,
从而,
∵,
于是
∴.
(建议用时:60分钟)
1.(2023·山东济宁·统考一模)已知数列的前项和为,且满足:.
(1)求证:数列为常数列;
(2)设,求.
【答案】(1)证明见解析;(2)
【解析】(1)由,
当时,,当时,,
两式相减得,
即,所以,
所以,
当时,,上式也成立,
所以数列为常数列;
(2)由(1)得,所以,
则,
则,
两式相减得
,
所以.
2.(2023·全国·模拟预测)已知正项数列的前项和为,,当时,.
(1)求数列的通项公式.
(2)记,求数列的前项和.
【答案】(1);(2)
【解析】(1)由题意,得当时,.①
当时,.②
①-②,得,所以,
由于 ,所以,所以.③
当时,由,得.
整理,得,解得或(舍去).
又,符合③式,
所以数列是首项为2,公差为2的等差数列,所以.
(2)由(1),得,所以,
所以,
所以.
两式相减,得
,
所以.
3.(2023春·河南·高三清丰县第一高级中学校联考阶段练习)在数列中,,,,且对,恒成立.
(1)求数列的通项公式;
(2)令,若数列的前n项和为,求证:.
【答案】(1);(2)证明见解析
【解析】(1)因为对,,即,所以是等差数列.
又,,所以的公差,
所以,
又,所以.
(2)由(1)知,所以,
所以
,
所以
.
因为,所以.
4.(2023春·重庆渝中·高三重庆巴蜀中学校考阶段练习)数列的前n项和为,若,,,依次成等比数列(公比不等于1).
(1)求数列的通项公式;
(2)若数列满足,的前n项和为,求.
【答案】(1);(2).
【解析】(1)∵,则时,;
时,,
∴,
∴,
∴,
∴,
所以数列为等差数列,记其公差为d,则,,
所以,解得或(舍去),∴;
(2)由题可得,
所以.
5.(2023·河北邯郸·统考一模)设数列的前n项和为,且.
(1)求的通项公式;
(2)若,求数列的前n项和.
【答案】(1);(2)
【解析】(1)当时,,解得.
当时,,则,即,
从而是首项为1,公比为2的等比数列,
所以,,且当时,也满足,
所以故.
(2)由(1)可得,则,
故
.
6.(2023·四川眉山·统考二模)已知数列是公差为2的等差数列,其前3项的和为12,是公比大于0的等比数列,,.
(1)求数列和的通项公式;
(2)若数列满足,求的前项和.
【答案】(1),;(2)
【解析】(1)设公差为,公比为,
则由题可得数列的前3项的和,
因为,所以,所以,
又因为,
所以解得或(舍),
所以.
(2)由(1)可知,,
所以的前项和为:
.
所以
7.(2023·湖北武汉·华中师大一附中校联考模拟预测)数列满足,.
(1)设,求的最大项;
(2)求数列的前n项和.
【答案】(1);(2)
【解析】(1)由得.
又,∴是以1为首项,3为公比的等比数列,
∴,,.
当时,不会最大;当时,设是最大项,则,且,
即,且,即且,解得.
又,∴,∴的最大项是.
(2),①
①得,②
①②得,
∴.
8.(2023·全国·模拟预测)已知是各项均为正数的数列,为的前n项和,且,,成等差数列.
(1)求的通项公式;
(2)证明:.
【答案】(1);(2)证明见解析
【解析】(1)由,,成等差数列,得.①
当时,,
∴,得(舍去).
当时,,②
①-②得,,
∴,
又,∴,
∴是首项为2,公差为1的等差数列,
∴,故.
(2)由(1)知,,
∴
.
9.(2023秋·江苏南京·高三南京市第一中学校考期末)已知数列满足.
(1)求的通项公式;
(2)记数列的前项和为,证明:.
【答案】(1);;(2)证明见解析
【解析】(1)因为,所以,
又,所以,
所以,.
(2)由(1)知,,,
则,
,
当时,,,故;
当时,,,故;
假设当时,,
所以当时,,
因为,所以,
故,则,即,
所以,则,
综上:.
10.(2023春·湖南长沙·高三湖南师大附中校考阶段练习)已知数列各项都不为0,,,的前项和为,且满足.
(1)求的通项公式;
(2)若,求数列的前项和.
【答案】(1),;(2)
【解析】(1)时,,,两式相减,可得,由题意得, 可得,则有
当为奇数时,为等差数列,,
当为偶数时,为等差数列,,
(2),
,利用倒序相加,
可得,解得,
,
相关试卷
这是一份重难点8-2 圆锥曲线综合问题6大题型-高考数学专练(新高考专用),文件包含重难点8-2圆锥曲线综合问题6大题型解析版docx、重难点8-2圆锥曲线综合问题6大题型原卷版docx等2份试卷配套教学资源,其中试卷共68页, 欢迎下载使用。
这是一份重难点8-1 圆的最值与范围问题6大题型-高考数学专练(新高考专用),文件包含重难点8-1圆的最值与范围问题6大题型解析版docx、重难点8-1圆的最值与范围问题6大题型原卷版docx等2份试卷配套教学资源,其中试卷共44页, 欢迎下载使用。
这是一份重难点7-1 空间角与空间距离问题8大题型-高考数学专练(新高考专用),文件包含重难点7-1空间角与空间距离问题8大题型解析版docx、重难点7-1空间角与空间距离问题8大题型原卷版docx等2份试卷配套教学资源,其中试卷共91页, 欢迎下载使用。

