备战2024高考一轮复习数学(理) 课时验收评价(十四) 导数的概念及运算、定积分
展开课时验收评价(十四) 导数的概念及运算、定积分
一、点全面广强基训练
1.已知函数f(x)=cos x,则f(π)+f′等于( )
A.- B.- C.- D.-
解析:选C 因为f′(x)=-cos x+(-sin x),所以f(π)+f′=-+×(-1)=-.
2.函数f(x)=+2x在x=1处切线的倾斜角为( )
A. B. C. D.
解析:选A 由题得f′(x)=-+2,
∴f′(1)=-1+2=1,∴切线的斜率为1,
∴切线的倾斜角为.
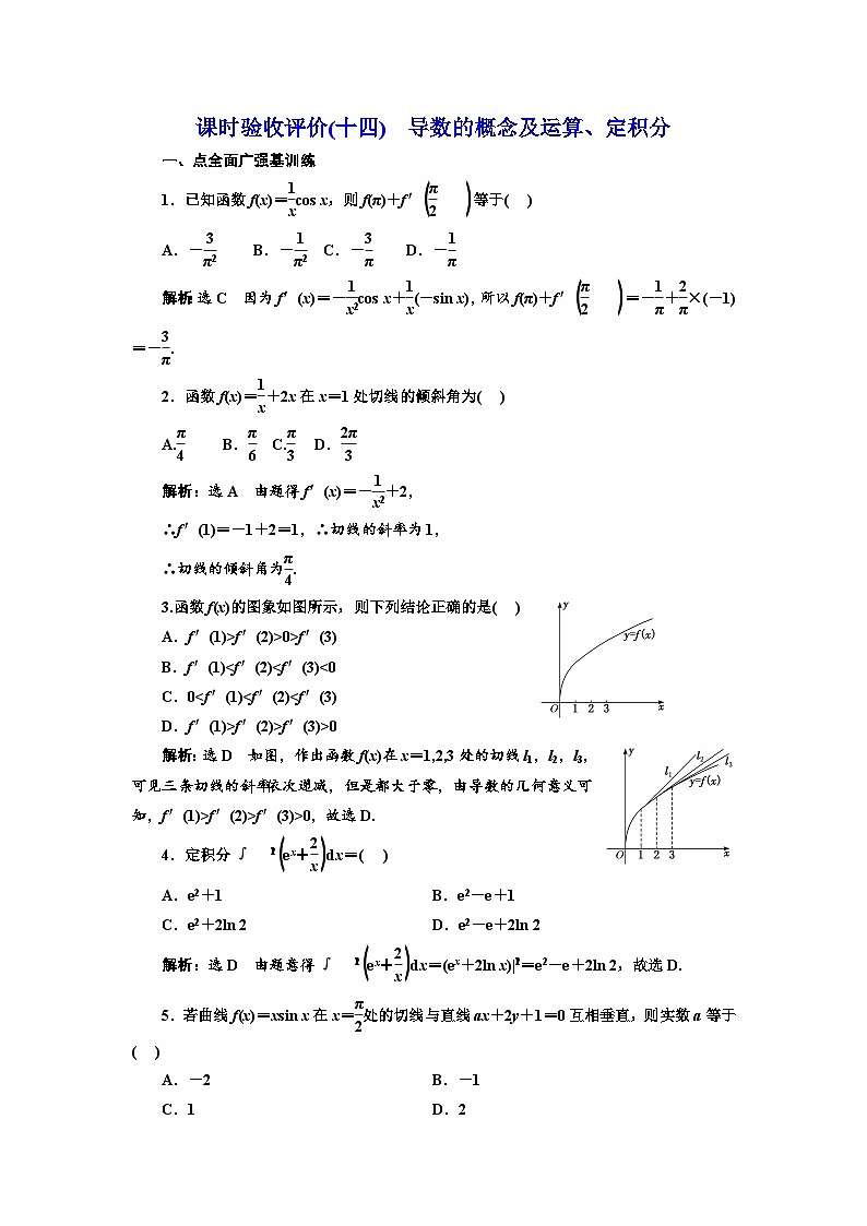
3.函数f(x)的图象如图所示,则下列结论正确的是( )
A.f′(1)>f′(2)>0>f′(3)
B.f′(1)<f′(2)<f′(3)<0
C.0<f′(1)<f′(2)<f′(3)
D.f′(1)>f′(2)>f′(3)>0
解析:选D 如图,作出函数f(x)在x=1,2,3处的切线l1,l2,l3,可见三条切线的斜率依次递减,但是都大于零,由导数的几何意义可知,f′(1)>f′(2)>f′(3)>0,故选D.
4.定积分dx=( )
A.e2+1 B.e2-e+1
C.e2+2ln 2 D.e2-e+2ln 2
解析:选D 由题意得dx=(ex+2ln x)|=e2-e+2ln 2,故选D.
5.若曲线f(x)=xsin x在x=处的切线与直线ax+2y+1=0互相垂直,则实数a等于( )
A.-2 B.-1
C.1 D.2
解析:选D 由题意可得f′(x)=sin x+xcos x,f′=1,∴曲线f(x)=xsin x在x=处的切线的斜率为1,
又∵直线ax+2y+1=0的斜率为-,
∴×1=-1,解得a=2.故选D.
6.已知直线2x-y+1=0与曲线y=aex+x相切(其中e为自然对数的底数),则实数a的值是( )
A. B.1
C.2 D.e
解析:选B 由题意知y′=aex+1,令aex+1=2,则a>0,x=-ln a,代入曲线方程得y=1-ln a,所以切线方程为y-(1-ln a)=2(x+ln a),即y=2x+ln a+1=2x+1⇒a=1.
7.(2023·重庆模拟)已知函数f(x)=e2x-1,直线l过点(0,-e)且与曲线y=f(x)相切,则切点的横坐标为( )
A.1 B.-1 C.2 D.e-1
8.已知直线y=-x+1是函数f(x)=-·ex图象的切线,则实数a=________.
9.(2023·河南高三阶段练习)已知函数f(x)=acos x(a>1)在处的切线与坐标轴围成的三角形的面积为,则实数a的值为________.
解析:∵f(x)=acos x,∴f′(x)=-asin x,
∴f′=-a,又∵f=0,
∴f(x)在点处的切线方程为y=(-a),
令x=0,得y=a;令y=0,得x=,
∴×a×=,解得a=.
答案:
10.若点P是曲线y=x2-ln x上任意一点,则点P到直线y=x-2的最小距离为________.
解析:由y=x2-ln x,得y′=2x-(x>0),
设点P0(x0,y0)是曲线y=x2-ln x上到直线y=x-2的距离最小的点,
则y′|x=x0=2x0-=1,解得x0=1或x0=-(舍去).
∴点P0的坐标为(1,1).
∴所求的最小距离为=.
答案:
11.设f(x)是定义在R上的奇函数,且当x≥0时,f(x)=2x2.
(1)求x<0时,f(x)的表达式;
(2)令g(x)=ln x,问是否存在x0,使得f(x),g(x)在x=x0处的切线互相平行?若存在,求出x0的值;若不存在,请说明理由.
解:(1)当x<0时,-x>0,
f(x)=-f(-x)=-2(-x)2=-2x2.
∴当x<0时,f(x)的表达式为f(x)=-2x2.
(2)若f(x),g(x)在x0处的切线互相平行,
则f′(x0)=g′(x0),
当x>0时,f′(x0)=4x0=g′(x0)=,
解得x0=±.故存在x0=满足条件.
12.已知函数f(x)=ax+(x≠0)在x=2处的切线方程为3x-4y+4=0.
(1)求a,b的值;
(2)求证:曲线上任一点P处的切线l与直线l1:y=x,直线l2:x=0围成的三角形的面积为定值.
解:(1)由f(x)=ax+,得f′(x)=a-(x≠0).
由题意得
即解得a=1,b=1.
(2)证明:由(1)知f(x)=x+,
设曲线的切点为P,f′(x0)=1-,
曲线在点P处的切线方程为
y-=(x-x0),
即y=x+.当x=0时,y=.
即切线l与l2:x=0的交点坐标为A.
由得
即l与l1:y=x的交点坐标为B(2x0,2x0).
又l1与l2的交点为O(0,0),则所求的三角形的面积为S=·|2x0|·=2.
即切线l与l1,l2围成的三角形的面积为定值.
二、重点难点培优训练
1.设点P在曲线y=ex上,点Q在曲线y=ln x上,则|PQ|的最小值为( )
A. B.
C.1+ln 2 D.
解析:选D 因为函数y=ex与y=ln x互为反函数,其图象关于y=x对称,所以可先求点P到直线y=x的最近距离d,设曲线y=ex上斜率为1的切线为y=x+b,因为y′=ex,由ex=1,可得x=0,所以切点的坐标为(0,1),即b=1,所以d==,所以|PQ|的最小值为.
2.已知函数f(x)=ax-ln x,且 =3,则函数f(x)在(1,f(1))处的切线方程是________.
解析:由
=3 =3,
得 f′(1)=1,
而f′(x)=a-,所以a=2,f(x)=2x-ln x,f(1)=2,
所以切线方程为y-2=x-1,即y=x+1.
答案:y=x+1
3.已知曲线f(x)=x3+ax+在x=0处的切线与曲线g(x)=-ln x相切,则a的值为________.
解析:由f(x)=x3+ax+,得f′(x)=3x2+a,f′(0)=a,f(0)=,
∴曲线y=f(x)在x=0处的切线方程为y-=ax.
设直线y-=ax与曲线g(x)=-ln x相切于点(x0,-ln x0),
g′(x)=-,
∴
将②代入①得ln x0=,
∴x0=e,∴a=-=-e.
答案:-e
4.已知函数f(x)=x3+(1-a)x2-a(a+2)x+b(a,b∈R).
(1)若函数f(x)的图象过原点,且在原点处的切线斜率为-3,求a,b的值;
(2)若曲线y=f(x)存在两条垂直于y轴的切线,求a的取值范围.
解:f′(x)=3x2+2(1-a)x-a(a+2).
(1)由题意,得
解得b=0,a=-3或a=1.
(2)因为曲线y=f(x)存在两条垂直于y轴的切线,
所以关于x的方程f′(x)=3x2+2(1-a)x-a(a+2)=0有两个不相等的实数根,
所以Δ=4(1-a)2+12a(a+2)>0,
即4a2+4a+1>0,所以a≠-.
所以a的取值范围为∪.
备战2024高考一轮复习数学(理) 课时验收评价(四十四) 程序框图: 这是一份备战2024高考一轮复习数学(理) 课时验收评价(四十四) 程序框图,共3页。试卷主要包含了故选B,问题,如图所示,程序框图的功能是等内容,欢迎下载使用。
备战2024高考一轮复习数学(理) 课时验收评价(六十四) 随机抽样与用样本估计总体: 这是一份备战2024高考一轮复习数学(理) 课时验收评价(六十四) 随机抽样与用样本估计总体,共7页。试卷主要包含了点全面广强基训练,重点难点培优训练等内容,欢迎下载使用。
备战2024高考一轮复习数学(理) 课时验收评价(三十) 平面向量的概念及线性运算: 这是一份备战2024高考一轮复习数学(理) 课时验收评价(三十) 平面向量的概念及线性运算,共5页。试卷主要包含了点全面广强基训练,重点难点培优训练等内容,欢迎下载使用。

