还剩16页未读,
继续阅读
所属成套资源:2023版考前三个月冲刺专题练
成套系列资料,整套一键下载
2023版考前三个月冲刺专题练 第13练 三角函数的图象与性质
展开这是一份2023版考前三个月冲刺专题练 第13练 三角函数的图象与性质
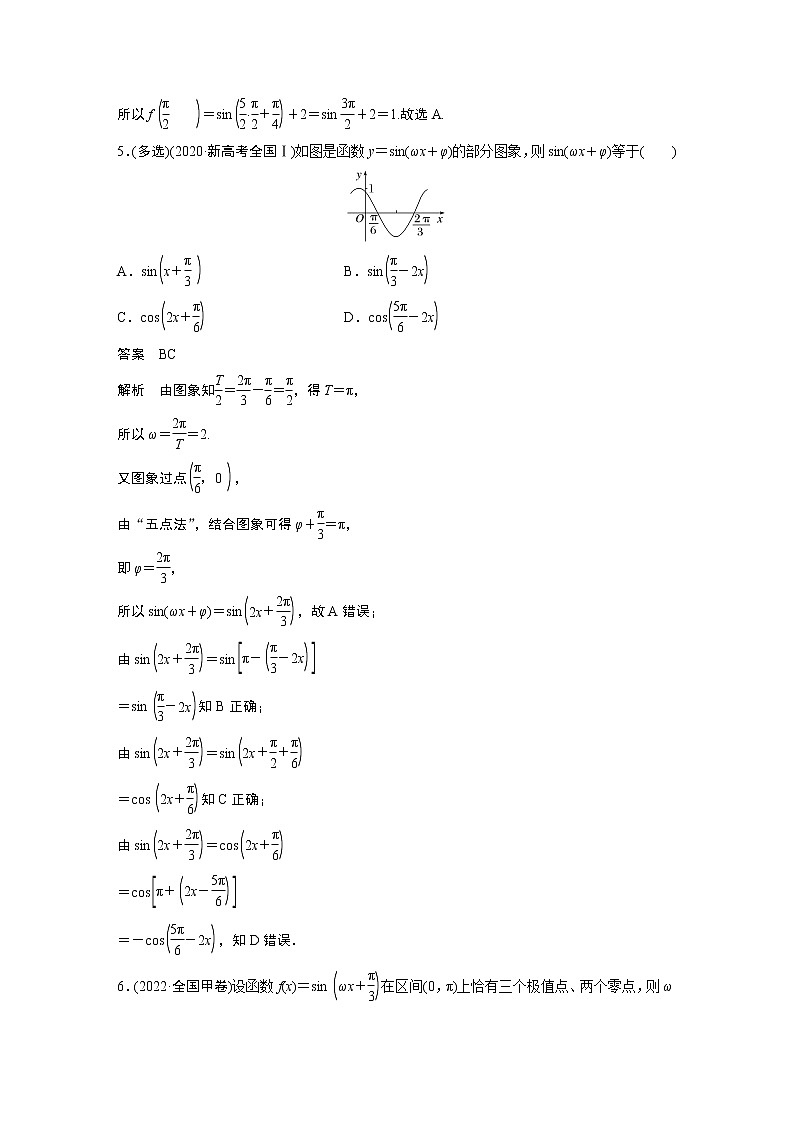
第13练 三角函数的图象与性质1.(2019·全国Ⅱ)下列函数中,以eq \f(π,2)为周期且在区间eq \b\lc\(\rc\)(\a\vs4\al\co1(\f(π,4),\f(π,2)))上单调递增的是( )A.f(x)=|cos 2x| B.f(x)=|sin 2x|C.f(x)=cos|x| D.f(x)=sin|x|答案 A解析 A中,函数f(x)=|cos 2x|的周期为eq \f(π,2),当x∈eq \b\lc\(\rc\)(\a\vs4\al\co1(\f(π,4),\f(π,2)))时,2x∈eq \b\lc\(\rc\)(\a\vs4\al\co1(\f(π,2),π)),函数f(x)单调递增,故A正确;B中,函数f(x)=|sin 2x|的周期为eq \f(π,2),当x∈eq \b\lc\(\rc\)(\a\vs4\al\co1(\f(π,4),\f(π,2)))时,2x∈eq \b\lc\(\rc\)(\a\vs4\al\co1(\f(π,2),π)),函数f(x)单调递减,故B不正确;C中,函数f(x)=cos|x|=cos x的周期为2π,故C不正确;D中,f(x)=sin|x|=eq \b\lc\{\rc\ (\a\vs4\al\co1(sin x,x≥0,,-sin x,x<0,))由正弦函数图象知,在x≥0和x<0时,f(x)均以2π为周期,但在整个定义域上f(x)不是周期函数,故D不正确.2.(2021·全国乙卷)把函数y=f(x)图象上所有点的横坐标缩短到原来的eq \f(1,2)倍,纵坐标不变,再把所得曲线向右平移eq \f(π,3)个单位长度,得到函数y=sineq \b\lc\(\rc\)(\a\vs4\al\co1(x-\f(π,4)))的图象,则f(x)等于( )A.sineq \b\lc\(\rc\)(\a\vs4\al\co1(\f(x,2)-\f(7π,12))) B.sineq \b\lc\(\rc\)(\a\vs4\al\co1(\f(x,2)+\f(π,12)))C.sineq \b\lc\(\rc\)(\a\vs4\al\co1(2x-\f(7π,12))) D.sineq \b\lc\(\rc\)(\a\vs4\al\co1(2x+\f(π,12)))答案 B解析 依题意,将y=sineq \b\lc\(\rc\)(\a\vs4\al\co1(x-\f(π,4)))的图象向左平移eq \f(π,3)个单位长度,再将所得曲线上所有点的横坐标扩大到原来的2倍,得到f(x)的图象,所以y=sineq \b\lc\(\rc\)(\a\vs4\al\co1(x-\f(π,4)))eq \o(―――――――――――――→,\s\up10(将其图象向左平移\f(π,3)个单位长度))y=sineq \b\lc\(\rc\)(\a\vs4\al\co1(x+\f(π,12)))的图象eq \o(――――――――――――――→,\s\up7(所有点的横坐标扩大到原来的2倍))f(x)=sineq \b\lc\(\rc\)(\a\vs4\al\co1(\f(x,2)+\f(π,12)))的图象.3.(2018·全国Ⅱ)若f(x)=cos x-sin x在[-a,a]上是减函数,则a的最大值是( )A.eq \f(π,4) B.eq \f(π,2) C.eq \f(3π,4) D.π答案 A解析 f(x)=cos x-sin x=-eq \r(2)eq \b\lc\(\rc\)(\a\vs4\al\co1(sin x·\f(\r(2),2)-cos x·\f(\r(2),2)))=-eq \r(2)sineq \b\lc\(\rc\)(\a\vs4\al\co1(x-\f(π,4))),当x∈eq \b\lc\[\rc\](\a\vs4\al\co1(-\f(π,4),\f(3π,4))),即x-eq \f(π,4)∈eq \b\lc\[\rc\](\a\vs4\al\co1(-\f(π,2),\f(π,2)))时,y=sineq \b\lc\(\rc\)(\a\vs4\al\co1(x-\f(π,4)))单调递增,则f(x)=-eq \r(2)sineq \b\lc\(\rc\)(\a\vs4\al\co1(x-\f(π,4)))单调递减.∵函数f(x)在[-a,a]上是减函数,∴[-a,a]⊆eq \b\lc\[\rc\](\a\vs4\al\co1(-\f(π,4),\f(3π,4))),∴00)的最小正周期为T.若eq \f(2π,3)
相关学案
2023版考前三个月冲刺专题练 第13练 三角函数的图象与性质【无答案版】:
这是一份2023版考前三个月冲刺专题练 第13练 三角函数的图象与性质【无答案版】,共7页。
2023版考前三个月冲刺专题练 第34练 客观题的解法:
这是一份2023版考前三个月冲刺专题练 第34练 客观题的解法,共11页。
2023版考前三个月冲刺专题练 第32练 分类讨论思想:
这是一份2023版考前三个月冲刺专题练 第32练 分类讨论思想,共19页。

