高中数学高考板块2 核心考点突破拿高分 专题5 第2讲 圆锥曲线的方程与性质(小题)课件PPT
展开NEIRONGSUOYIN
热点一 圆锥曲线的定义与标准方程
热点二 圆锥曲线的几何性质
热点三 圆锥曲线与圆、直线的综合问题
1.圆锥曲线的定义(1)椭圆:|PF1|+|PF2|=2a(2a>|F1F2|).(2)双曲线:||PF1|-|PF2||=2a(0<2a<|F1F2|).(3)抛物线:|PF|=|PM|,点F不在定直线l上,PM⊥l于点M.2.求圆锥曲线标准方程“先定型,后计算”所谓“定型”,就是确定曲线焦点所在的坐标轴的位置;所谓“计算”,就是指利用待定系数法求出方程中的a2,b2,p的值.
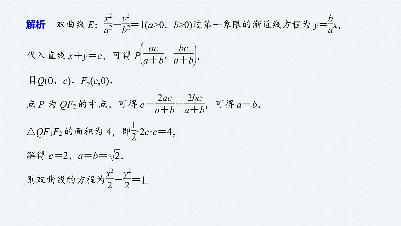
例1 (1)(2019·石嘴山模拟)已知F1,F2分别为双曲线E: =1(a>0,b>0)的左、右焦点,过右焦点F2的直线l:x+y=c在第一象限内与双曲线E的渐近线交于点P,与y轴正半轴交于点Q,且点P为QF2的中点,△QF1F2的面积为4,则双曲线E的方程为
且Q(0,c),F2(c,0),
(2)(2019·南充模拟)P是双曲线 =1的右支上一点,F1,F2分别为双曲线的左、右焦点,则△PF1F2的内切圆的圆心横坐标为
设内切圆与x轴的切点是点H,与PF1,PF2的切点分别为M,N,
由圆的切线长定理知,|PM|=|PN|,|F1M|=|F1H|,|F2N|=|F2H|,
设内切圆的圆心横坐标为x,即点H的横坐标为x,
跟踪演练1 (1)已知以圆C:(x-1)2+y2=4的圆心为焦点的抛物线C1与圆C在第一象限交于A点,B点是抛物线C2:x2=8y上任意一点,BM与直线y=-2垂直,垂足为M,则|BM|-|AB|的最大值为A.1 B.2 C.-1 D.8
解析 因为圆C:(x-1)2+y2=4的圆心为C(1,0),所以可得以C(1,0)为焦点的抛物线方程为y2=4x,
所以A(1,2).抛物线C2:x2=8y的焦点为F(0,2),准线方程为y=-2,即有|BM|-|AB|=|BF|-|AB|≤|AF|=1,当且仅当A,B,F(A在B,F之间)三点共线时,可得最大值1.
1.椭圆、双曲线中a,b,c之间的关系
设|BF2|=x,则|AF2|=2x,∴|AF1|=2a-2x,|BF1|=2a-x,
解析 设F′为双曲线的右焦点,连接AF′,BF′,
∴四边形AFBF′为矩形,且|AB|=2c,又|BF|-|BF′|=2a,∴|BF|-|AF|=2a,
圆锥曲线与圆、直线的综合问题的注意点:(1)注意使用圆锥曲线的定义;(2)引入参数,注意构建直线与圆锥曲线的方程组;(3)注意用好平面几何性质;(4)涉及中点弦问题时,也可用“点差法”求解.
解析 由题意可得|OA|=a,|AF2|=c-a,
又因点P在双曲线的右支上,所以|PF1|-|PF2|=2a,因为|PF1|=2|PF2|,所以|PF2|=2a;
(a2+b2)x2-2a2x+a2-a2b2=0,设P(x1,y1),Q(x2,y2),Δ=4a4-4(a2+b2)(a2-a2b2)>0,化为a2+b2>1.
化为a2+b2=2a2b2.
解析 因为点P在以线段F1A为直径的圆上,所以AP⊥PF1,又因为F2B∥AP,所以F2B⊥BF1,又因为|F2B|=|BF1|,所以△F1F2B是等腰直角三角形,因为|OB|=b,|OF2|=c,所以b=c,|F2B|2=c2+b2=a2=2c2,
(2)(2019·内江、眉山等六市模拟)设点P是抛物线C:y2=4x上的动点,Q是C的准线上的动点,直线l过Q且与OQ(O为坐标原点)垂直,则点P到l的距离的最小值的取值范围是A.(0,1) B.(0,1] C.[0,1] D.(0,2]
解析 抛物线C的准线方程是x=-1,若点Q的坐标为(-1,0),此时直线l的方程为x=-1,显然点P到直线l的距离的最小值是1,若点Q的坐标为(-1,t),其中t≠0,
设与直线l平行且与抛物线C相切的直线方程为x-ty+m=0,代入抛物线方程,得y2-4ty+4m=0,
所以Δ=16t2-16m=0,解得m=t2,所以与直线l平行且与抛物线C相切的直线方程为x-ty+t2=0,所以点P到直线l的距离的最小值为直线x-ty+t2+1=0与直线x-ty+t2=0的距离,
因为t2>0,所以0
则点A为椭圆C的上顶点或下顶点.
解析 如图,作PB⊥x轴于点B.由题意可得|F1F2|=|PF2|=2c,由∠F1F2P=120°,
所以OA∥BF2,所以F1B⊥OA,所以|OF1|=|OB|,所以∠BF1O=∠F1BO,所以∠BOF2=2∠BF1O.因为直线OA,OB为双曲线C的两条渐近线,
因为tan∠BOF2=tan(2∠BF1O),
解析 由双曲线的渐近线与直线x-2y+1=0平行,
2.已知抛物线C:y2=2x,过原点作两条互相垂直的直线分别交C于A,B两点(A,B均不与坐标原点重合),则抛物线的焦点F到直线AB距离的最大值为A.2 B.3 C. D.4
当直线AB的斜率不存在时,2t1+2t2=0,此时t1=-t2,
即x-(t1+t2)y-2=0.令y=0,解得x=2.∴直线AB恒过定点D(2,0).
解析 ∵以AB为直径的圆恰好经过双曲线的右焦点C,∴以AB为直径的圆的方程为x2+y2=c2,设B点在第一象限,坐标为(x,y),且到x轴的距离为h,由对称性知△ABC的面积
得4a4=(c2-a2)2,
高中数学高考板块2 核心考点突破拿高分 专题3 第2讲 立体几何(大题)课件PPT: 这是一份高中数学高考板块2 核心考点突破拿高分 专题3 第2讲 立体几何(大题)课件PPT,共50页。PPT课件主要包含了内容索引,热点分类突破,真题押题精练,∴OM∥平面BCF,2线面夹角,3二面角,押题预测,真题体验等内容,欢迎下载使用。
高中数学高考板块2 核心考点突破拿高分 专题5 第3讲 圆锥曲线中的最值、范围、证明问题(大题)(1)课件PPT: 这是一份高中数学高考板块2 核心考点突破拿高分 专题5 第3讲 圆锥曲线中的最值、范围、证明问题(大题)(1)课件PPT,共51页。PPT课件主要包含了内容索引,热点分类突破,真题押题精练,热点一最值问题,热点二范围问题,热点三证明问题,1求E的方程,∵9-t20,押题预测,真题体验等内容,欢迎下载使用。
高中数学高考板块2 核心考点突破拿高分 专题5 第1讲 直线与圆(小题)(1)课件PPT: 这是一份高中数学高考板块2 核心考点突破拿高分 专题5 第1讲 直线与圆(小题)(1)课件PPT,共41页。PPT课件主要包含了内容索引,热点分类突破,真题押题精练,押题预测,真题体验等内容,欢迎下载使用。

