2023高考数学二轮真题与模拟训练26讲 专题07 三角恒等变换解析
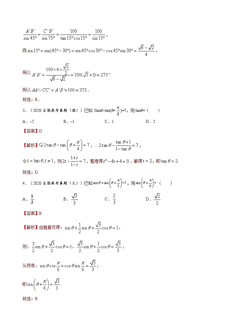
展开专题7 三角恒等变换第一部分 近3年高考真题一、选择题1.(2021·浙江高考真题)已知是互不相同的锐角,则在三个值中,大于的个数的最大值是( )A.0 B.1 C.2 D.3【答案】C【解析】法1:由基本不等式有,同理,,故,故不可能均大于.取,,,则,故三式中大于的个数的最大值为2,故选:C.法2:不妨设,则,由排列不等式可得:,而,故不可能均大于.取,,,则,故三式中大于的个数的最大值为2,故选:C.2.(2021·全国高考真题(理))2020年12月8日,中国和尼泊尔联合公布珠穆朗玛峰最新高程为8848.86(单位:m),三角高程测量法是珠峰高程测量方法之一.如图是三角高程测量法的一个示意图,现有A,B,C三点,且A,B,C在同一水平面上的投影满足,.由C点测得B点的仰角为,与的差为100;由B点测得A点的仰角为,则A,C两点到水平面的高度差约为()( )A.346 B.373 C.446 D.473【答案】B【解析】过作,过作,故,由题,易知为等腰直角三角形,所以.所以.因为,所以在中,由正弦定理得:,而,所以,所以.故选:B.3.(2020·全国高考真题(理))已知2tanθ–tan(θ+)=7,则tanθ=( )A.–2 B.–1 C.1 D.2【答案】D【解析】,,令,则,整理得,解得,即.故选:D.4.(2020·全国高考真题(文))已知,则( )A. B. C. D.【答案】B【解析】由题意可得:,则:,,从而有:,即.故选:B.5.已知 ∈(0,),2sin2α=cos2α+1,则sinα=A. B.C. D.【答案】B【解析】,.,又,,又,,故选B.6.已知函数,则( )A.的最小正周期为,最大值为B.的最小正周期为,最大值为C.的最小正周期为,最大值为D.的最小正周期为,最大值为【答案】B【解析】根据题意有,所以函数的最小正周期为,且最大值为,故选B.7.已知角的顶点为坐标原点,始边与轴的非负半轴重合,终边上有两点,,且,则( )A. B. C. D.【答案】B【解析】由三点共线,从而得到,因为,解得,即,所以,故选B.二、填空题8.(2020·全国高考真题(文))若,则__________.【答案】【解析】.故答案为:.9.(2020·江苏高考真题)已知 =,则的值是____.【答案】【解析】故答案为:10.(2020·北京高考真题)若函数的最大值为2,则常数的一个取值为________.【答案】(均可)【解析】因为,所以,解得,故可取.故答案为:(均可).11.已知,则的值是_____.【答案】.【解析】由,得,解得,或.,当时,上式当时,上式=综上,12.函数的最小值为___________.【答案】.【解析】,,当时,,故函数的最小值为.三、解答题13.(2020·全国高考真题(文))的内角A,B,C的对边分别为a,b,c.已知B=150°.(1)若a=c,b=2,求的面积;(2)若sinA+sinC=,求C.【答案】(1);(2).【解析】(1)由余弦定理可得,的面积;(2),,,.14.设常数,函数.(1)若为偶函数,求的值;(2)若,求方程在区间上的解.【答案】(1);(2)或或.【解析】(1)∵,∴,∵为偶函数,∴,∴,∴,∴;(2)∵,∴,∴,∴,∵,∴,∴,∴,或,∴,或,∵,∴或或15.已知为锐角,,.(1)求的值;(2)求的值.【答案】(1);(2)【解析】(1)因为,,所以.因为,所以,因此,.(2)因为为锐角,所以.又因为,所以,因此.因为,所以,因此,.16.已知函数.(Ⅰ)求的最小正周期; (Ⅱ)若在区间上的最大值为,求的最小值.【答案】(Ⅰ) ;(Ⅱ).【解析】(Ⅰ),所以的最小正周期为.(Ⅱ)由(Ⅰ)知.因为,所以.要使得在上的最大值为,即在上的最大值为1.所以,即.所以的最小值为.17.在中,角所对的边分别为.已知.(Ⅰ)求角的大小;(Ⅱ)求的值;(Ⅲ)求的值.【答案】(Ⅰ);(Ⅱ);(Ⅲ).【解析】(Ⅰ)在中,由及余弦定理得,又因为,所以;(Ⅱ)在中,由,及正弦定理,可得;(Ⅲ)由知角为锐角,由,可得,进而,所以.第二部分 模拟训练1.已知的内角,,成等差数列,若,则( )A. B. C. D.【答案】D【解析】解:∵,,成等差数列,∴,又,∴,由得,,∴,则,故选:D.2.已知函数在内有且仅有1个最大值点和3个零点,则的取值范围是( )A. B. C. D.【答案】B【解析】,, ,则的取值范围是.故选:B.3.将函数的图象沿轴向左平移个单位后得到函数,若为偶函数,则的最小值为( )A. B. C. D.【答案】A【解析】函数,将函数的图象沿轴向左平移个单位后,得到函数,因为函数是偶函数,.当时,.故选:A4.设的内角A,B,C满足,则函数图象的对称轴方程是( )A. B.C. D.【答案】C【解析】因为,,所以,.由,,得,.故选:C.5.在△ABC中,角A,B,C所对的边分别为a,b,c,满足.(1)求角A;(2)若,,求△ABC的面积.【答案】(1)A;(2).【解析】(1)在三角形ABC中,,由正弦定理得:,化为: ,三角形中,解得,,∴A.(2)由余弦定理得,,,,化为,所以三角形ABC的面积S46.在锐角中,内角,,所对的边分别为,,,且直线为函数图象的一条对称轴.(1)求;(2)若,求面积的最大值.【答案】(1);(2).【解析】(1),∴直线为函数图像的一条对称轴,∴(),即(),又,∴当时,.(2)∵,,∴由余弦定理得,,即,当且仅当b=c=4时等号成立∴,故面积的最大值为.7.在中,角的对边分别为,已知.(1)求边的长﹔(2)在边上取一点,使得,求的值.【答案】(1);(2).【解析】在中,因为,,,由余弦定理,得所以解得:或(舍)所以.(2)在中,由正弦定理,得.所以在中,因为,所以为钝角.而,所以为锐角故因为,所以,,8.已知函数.(1)求的最小正周期和值域;(2)若对任意,的恒成立,求实数的取值范围.【答案】(1)最小正周期,值域为;(2).【解析】解:(1)∴的为最小正周期,值域为;(2)记,则,由恒成立,知恒成立,即恒成立,∵∴.∵在时单调递增∴k的取值范围是9.已知函数.(Ⅰ)若,求的值;(Ⅱ)若函数图象上所有点的纵坐标保持不变,横坐标变为原来的倍得函数的图象,求函数在得的值域.【答案】(Ⅰ);(Ⅱ).【解析】解:(Ⅰ),因为,所以,即,所以,所以;(Ⅱ)图象上所有点横坐标变为原来的倍得到函数的图象,所以的解析式为,因为,所以,则,所以故在上的值域为.10.已知函数.(1)求函数的最小正周期;(2)将函数图象上所有点的横坐标都缩短到原来的倍(纵坐标不变),再向左平移个单位得到函数图象,求函数的单调增区间.【答案】(1)最小正周期;(2)单调增区间是.【解析】(1),所以函数的最小正周期为;(2)将函数图象上所有点的横坐标都缩短到原来的倍(纵坐标不变),得到,再向左移动个单位得,由,解得.函数的单调增区间是.
2023高考数学二轮真题与模拟训练26讲 专题19 圆与方程解析: 这是一份2023高考数学二轮真题与模拟训练26讲 专题19 圆与方程解析
2023高考数学二轮真题与模拟训练26讲 专题12 数列求和解析: 这是一份2023高考数学二轮真题与模拟训练26讲 专题12 数列求和解析
2023高考数学二轮真题与模拟训练26讲 专题26 计数原理与概率统计解析: 这是一份2023高考数学二轮真题与模拟训练26讲 专题26 计数原理与概率统计解析,共13页。试卷主要包含了已知关于的二次函数.,,得下表等内容,欢迎下载使用。

