专题05 构造法求数列通项的八种技巧(二)-【技巧解密】新高考数学技巧硬核解密之数列(新高考适用)
展开这是一份专题05 构造法求数列通项的八种技巧(二)-【技巧解密】新高考数学技巧硬核解密之数列(新高考适用),文件包含专题05构造法求数列通项的八种技巧二解析版docx、专题05构造法求数列通项的八种技巧二原卷版docx等2份试卷配套教学资源,其中试卷共25页, 欢迎下载使用。
专题05 构造法求数列通项的八种技巧(二)
【必备知识点】
◆构造四:同型构造法
所谓同型构造法,就是将找因式中的因子和数列项数相同或者相近的部分通过同除或同乘化归成结构相同的形式,形成新的数列,如常数列,等差数列或等比数列.下面让我们来看看有哪些模型结构吧.
模型一:,构造,则,为常数数列.
模型二:,构造,则,为常数数列.
模型三:,构造,则,为常数数列.
模型四:,构造,则,为等比数列.
模型五:,构造,则,为等比数列.
模型六:,构造,则,为等差数列.
模型七:,构造,则,为等差数列.
模型八:,构造,则,为等差数列.
看了这么多模型,是不是觉得很多,很难记住呢,其实向大家展示这么多,只是想向大家展示,当看到这类式子,尽量将和,和等因子和数列项数相同的部分划归成结构相同的形式,构造成新数列.
【经典例题1】已知数列满足,求.
【经典例题2】已知数列中,且,求数列的通项公式.
【经典例题3】已知数列中,且,求数列的通项公式.
【经典例题4】已知,且,求数列的通项公式.
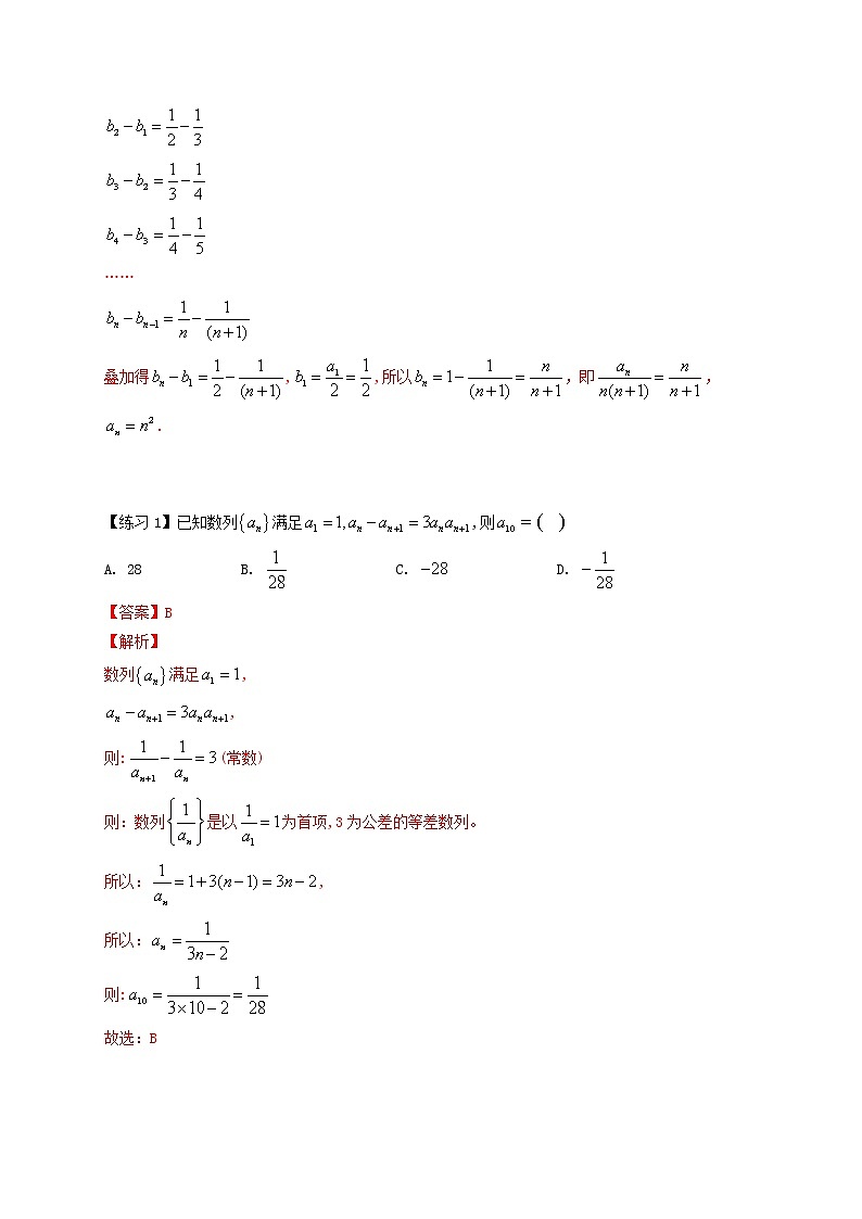
【练习1】已知数列满足,则
A. 28 B. C. D.
【练习2】已知是首项为1的正项数列,且,则它的通项公式是______________.
【练习3】已知数列满足,求数列的通项公式.
【练习4】已知数列满足,,求数列的通项公式.
【练习4】已知数列前项的和为,且满足.
(1)求的值;
(2)求的通项公式.
◆构造五:取倒数构造等差
类型一:数列满足:,则有.
所以是以为首项,为公差的等差数列,即.(当分母出现加减时,我们很难将它进行化简运算,所以往往取倒数再运算才能找到突破点).
类型二:数列满足:,则有.
所以是等差数列.
类型三:若数列的前项和为,且满足,则有,两边同除以得:,故是以为首项,为公差的等差数列,即 ,再用,求.
【经典例题1】在数列中,若,则___________.
【经典例题2】已知数列的前项和为,且满足.
(1)求证:是等差数列.
(2)求的表达式.
【经典例题3】已知数列的首项,证明:数列是等比数列并求的通项公式.
【练习1】设是数列的前项和,且,则
A. B. C. D.
【练习2】已知中,,则_______.
【练习3】已知数列,求的通项公式.
【过关检测】
一、单选题
1.已知数列满足,,则数列的前100项的和是( )
A. B. C. D.
2.数列满足,,则下列结论错误的是( )
A. B.是等比数列
C. D.
3.若数列满足,且,则( )
A. B. C. D.
4.已知数列满足,,,则满足的n的最大取值为( )
A.7 B.8 C.9 D.10
5.已知数列满足,则满足的的最大取值为( )
A.6 B.7 C.8 D.9
6.已知数列满足:,,则( )
A. B. C. D.
7.已知数列满足,,则( )
A. B. C. D.
8.已知数列中,,,则数列的通项公式为( )
A. B. C. D.
二、多选题
9.设数列的前n项和为,已知,且,则下列结论正确的是( )
A.是等比数列 B.是等比数列
C. D.
10.已知数列{}满足,,则下列结论正确的是( )
A.为等比数列 B.{}的通项公式为
C.{}为递增数列 D.的前n项和
三、填空题
11.已知数列,满足,,,则___________.
12.已知数列满足,则数列的前项和为______.
13.已知数列满足,且,则数列__________
14.已知数列的首项,且对任意的,都有,则______.
15.已知数列满足:,(N+),由、、归纳出数列的通项公式是__________.
16.数列满足,且,则___________.
17.已知数列满足,且,则数列|的前n项和为______.
四、解答题
18.已知数列中,,.
(1)求证:是等比数列,并求的通项公式;
(2)若不等式对于恒成立,求实数的最小值.
19.已知正项数列满足,且
(1)求正项数列的通项公式;
(2)求和.
20.已知正项数列满足,且.
(1)求数列的通项公式;
(2)记,记数列的前n项和为,证明:.
21.已知数列的通项公式为,
(1)求数列的通项公式.
(2)若,求满足条件的最大整数值.
相关试卷
这是一份专题02 等比数列必备知识点与考点突破-【技巧解密】新高考数学技巧硬核解密之数列(新高考适用),文件包含专题02等比数列必备知识点与考点突破解析版docx、专题02等比数列必备知识点与考点突破原卷版docx等2份试卷配套教学资源,其中试卷共43页, 欢迎下载使用。
这是一份专题03 累加法累乘法求数列通项-【技巧解密】新高考数学技巧硬核解密之数列(新高考适用),文件包含专题03累加法累乘法求数列通项解析版docx、专题03累加法累乘法求数列通项原卷版docx等2份试卷配套教学资源,其中试卷共25页, 欢迎下载使用。
这是一份专题04 构造法求数列通项的八种技巧(一)-【技巧解密】新高考数学技巧硬核解密之数列(新高考适用),文件包含专题04构造法求数列通项的八种技巧一解析版docx、专题04构造法求数列通项的八种技巧一原卷版docx等2份试卷配套教学资源,其中试卷共26页, 欢迎下载使用。

