人教B版高中数学必修第四册第11章章末综合提升课件+学案
展开类型1 空间几何体的表面积与体积
记牢常见几何体的表面积、体积公式是解决此类问题的关键.涉及古代文化背景的题目,首先读懂题意,再按题意与所学的知识联系起来,将问题转化为我们熟悉的问题后再解决.
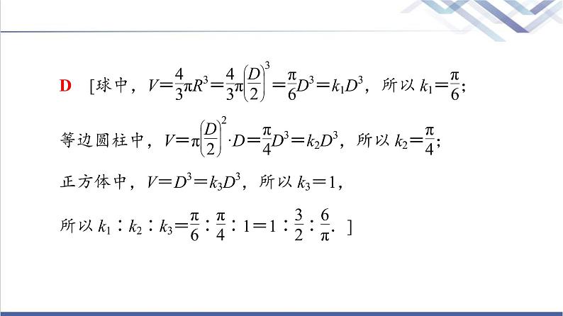
【例1】 17世纪日本数学家们对于数学关于体积方法的问题还不了解,他们将体积公式“V=kD3”中的常数k称为“立圆术”或“玉积率”,创用了求“玉积率”的独特方法“会玉术”,其中,D为直径,类似地,对于等边圆柱(轴截面是正方形的圆柱叫做等边圆柱)、正方体也有类似的体积公式V=kD3,其中,在等边圆柱中,D表示底面圆的直径;在正方体中,D表示棱长.假设运用此“会玉术”求得的球、等边圆柱、正方体的“玉积率”分别为k1,k2,k3,那么,k1∶k2∶k3=( )
A.∶∶1 B.∶∶2
C.1∶3∶ D.1∶∶
D [球中,V=πR3=π=D3=k1D3,所以k1=;
等边圆柱中,V=π·D=D3=k2D3,所以k2=;
正方体中,V=D3=k3D3,所以k3=1,
所以k1∶k2∶k3=∶∶1=1∶∶.]
1.《九章算术》是我国古代内容极为丰富的数学名著,书中有如下问题:“今有阳马,广五尺,褒七尺,高八尺,问积几何?”其意思为:“今有底面为矩形,一侧棱垂直于底面的四棱锥,它的底面长、宽分别为7尺和5尺,高为8尺,问它的体积是多少?”若以上的条件不变,则这个四棱锥的外接球的表面积为( )
A.142π平方尺 B.140π平方尺
C.138π平方尺 D.128π平方尺
C [可以把该四棱锥补成一个长方体,长、宽分别为7尺和5尺,高为8尺,四棱锥的外接球就是长方体的外接球,其直径为=尺,所以表面积为4π×=138π平方尺.]
类型2 与球有关的切、接问题
涉及球与棱柱、棱锥的切、接问题时,一般过球心及多面体中的特殊点(一般为切、接点)或线作截面,把空间问题转化为平面问题,再利用平面几何知识寻找几何体中元素间的关系,或只画内切、外接的几何体的直观图,确定球心的位置,弄清球的半径(直径)与该几何体已知量的关系,列方程(组)求解.
若球面上四点P,A,B,C构成的三条线段PA,PB,PC两两互相垂直,且PA=a,PB=b,PC=c,一般把有关元素“补形”成为一个球内接长方体,则可利用4R2=a2+b2+c2进行求解.
【例2】 求棱长为a的正四面体的外接球、内切球及棱切球的半径.
[思路探究] 正四面体的内切球、外接球、棱切球的球心与正四面体的中心O重合,则内切球的半径为点O到各面的距离,外接球的半径为点O到各顶点的距离,棱切球的半径为点O到各棱的距离.
[解] 由正四面体的对称性与球的对称性知正四面体的外接球、内切球、棱切球的球心都与正四面体的中心重合.如图所示,设正四面体ABCD的高为AG,O为正四面体的中心,连接CG并延长交BD于点E,连接OC,OE,则外接球的半径R=OA=OC.由题意可得CE=,
则CG=CE=,EG=CE=,
所以AG==.所以OG=-R.
在Rt△OCG中,OC2=OG2+CG2,
即R2=+,解得R=.
所以内切球的半径r=OG=-=.
棱切球的半径为OE===.
2.(1)已知正方体的外接球的体积是,那么正方体的棱长是( )
A.2 B. C. D.
(2)设A,B,C,D是同一个半径为4的球的球面上四点,△ABC为等边三角形且其面积为9,则三棱锥DABC体积的最大值为( )
A.12 B.18 C.24 D.54
(1)D (2)B [(1)根据球的体积,求得其半径r=2,再由r=可得棱长a为.
(2)设等边△ABC的边长为x,则x2sin 60°=9,解得x=6.设△ABC的外接圆半径为r,则r=2,所以球心到△ABC所在平面的距离d==2,则点D到平面ABC的最大距离d1=d+4=6,所以三棱锥DABC体积的最大值Vmax=S△ABC×6=×9×6=18.]
类型3 空间中的平行关系
空间中的平行关系主要是指空间中线与线、线与面及面与面的平行,其中三种关系相互渗透.在解决线面、面面平行问题时,一般遵循从“低维”到“高维”的转化,即从“线线平行”到“线面平行”,再到“面面平行”;而利用性质定理时,其顺序相反,且“高维”的性质定理就是“低维”的判定定理.特别注意,转化的方法由具体题目的条件决定,不能过于呆板僵化,要遵循规律而不局限于规律.
【例3】 如图所示,四边形ABCD是平行四边形,PB⊥平面ABCD,MA∥PB,PB=2MA.在线段PB上是否存在一点F,使平面AFC∥平面PMD?若存在,请确定点F的位置;若不存在,请说明理由.
[思路探究] 假设存在满足条件的点F,由于平面AFC∥平面PMD,且平面AFPM与平面AFC、平面PMD分别交于直线AF,PM,则必有AF∥PM,又PB=2MA,则点F是PB的中点.
[解] 当点F是PB的中点时,平面AFC∥平面PMD,证明如下:如图,连接AC和BD交于点O,连接FO,那么PF=PB.
∵四边形ABCD是平行四边形,
∴O是BD的中点.∴OF∥PD.
又OF⊄平面PMD,PD⊂平面PMD,
∴OF∥平面PMD.又MAPB,∴PFMA.
∴四边形AFPM是平行四边形.∴AF∥PM.
又AF⊄平面PMD,PM⊂平面PMD,
∴AF∥平面PMD.
又AF∩OF=F,AF⊂平面AFC,OF⊂平面AFC.
∴平面AFC∥平面PMD.
3.如图,已知四边形ABCD是平行四边形,点P是平面ABCD外一点,M是PC的中点,在DM上取一点G,过G和AP作平面交平面BDM于GH,求证:AP∥GH.
[证明] 连接AC交BD于O,连接MO,因为四边形ABCD为平行四边形,所以O为AC的中点,又因为M为PC的中点,所以MO∥AP,
又因为MO⊂平面BDM,PA⊄平面BDM,
所以PA∥平面BDM,
又因为PA⊂平面PAHG,
平面PAHG∩平面BDM=GH,
所以PA∥GH.
类型4 空间中的垂直关系
空间中的垂直关系包括线与线的垂直、线与面的垂直及面与面的垂直,三种垂直关系是本章学习的核心,学习时要突出三者间的互化意识.如在证明两平面垂直时一般从现有直线中寻找平面的垂线,若这样的垂线不存在,则可通过作辅助线来解决.如有面面垂直时,一般要用性质定理,在一个平面内作交线的垂线,使之转化为线面垂直,进一步转化为线线垂直.
【例4】 如图,斜三棱柱ABCA1B1C1的底面是直角三角形,∠ACB=90°,点B1在底面ABC上的射影恰好是BC的中点,且BC=CA=AA1.
(1)求证:平面ACC1A1⊥平面B1C1CB;
(2)求证:BC1⊥AB1.
[证明] (1)设BC的中点为M,连接B1M.
∵点B1在底面ABC上的射影恰好是点M,
∴B1M⊥平面ABC.
∵AC⊂平面ABC,
∴B1M⊥AC.
又∵BC⊥AC,B1M∩BC=M,
∴AC⊥平面B1C1CB.
又∵AC⊂平面ACC1A1,
∴平面ACC1A1⊥平面B1C1CB.
(2)连接B1C.
∵AC⊥平面B1C1CB,
∴AC⊥BC1.
在斜三棱柱ABCA1B1C1中,∵BC=CC1,
∴四边形B1C1CB是菱形.∴B1C⊥BC1
又∵B1C∩AC=C,
∴BC1⊥平面ACB1.∴BC1⊥AB1.
4.如图所示,在斜三棱柱A1B1C1ABC中,底面是等腰三角形,AB=AC,侧面BB1C1C⊥底面ABC.
(1)若D是BC的中点,求证:AD⊥CC1;
(2)过侧面BB1C1C的对角线BC1的平面交侧棱于点M,若AM=MA1,求证:截面MBC1⊥侧面BB1C1C.
[解] (1)证明:因为AB=AC,D是BC的中点,
所以AD⊥BC.
因为底面ABC⊥侧面BB1C1C,底面ABC∩侧面BB1C1C=BC,
所以AD⊥侧面BB1C1C.
所以AD⊥CC1.
(2)延长B1A1与BM的延长线交于点N,连接C1N.
因为AM=MA1,所以NA1=A1B1.
因为A1C1=A1N=A1B1,所以C1N⊥B1C1,
所以C1N⊥侧面BB1C1C.
因为C1N⊂截面MBC1,
所以截面MBC1⊥侧面BB1C1C.
类型5 空间中的角的求解
1.两条异面直线所成的角
(1)一般通过平移(在所给图形内平移一条直线或平移两条直线)或补形(补形的目的仍是平移),把异面直线所成角转化为共面直线所成角来计算.
(2)平移时经常利用某些特殊点(如中点)或中位线、成比例线段来实现,补形时经常把空间图形补成熟悉的或完整的几何体(如正方体、长方体、平行六面体等).
2.直线和平面所成的角
当直线为平面的斜线时,它是斜线与斜线在平面内的射影所成的角,通常在斜线上取一特殊点向平面作垂线找到这个锐角,然后通过解直角三角形加以求出.
3.求解二面角的平面角的步骤
一找(寻找现成的二面角的平面角);
二作(若没有找到现成的,需要引出辅助线作出二面角的平面角);
三求(有了二面角的平面角后,在三角形中求出该角相应的三角函数值).
【例5】 如图,在Rt△AOB中,∠OAB=30°,斜边AB=4,Rt△AOC可以通过Rt△AOB以直线AO为轴旋转得到,且二面角BAOC是直二面角,动点D在斜边AB上.
(1)求证:平面COD⊥平面AOB;
(2)当D为AB的中点时,求异面直线AO与CD所成角的正切值;
(3)求CD与平面AOB所成角的正切值的最大值.
[解] (1)证明:由题意,CO⊥AO,BO⊥AO,∴∠BOC是二面角BAOC的平面角.
又∵二面角BAOC是直二面角.
∴CO⊥BO.
又∵AO∩BO=O,∴CO⊥平面AOB.
又CO⊂平面COD.
∴平面COD⊥平面AOB.
(2)作DE⊥OB,垂足为点E,连接CE(如图),则DE∥AO.
∴∠CDE是异面直线AO与CD所成的角.
在Rt△OCB中,CO=BO=2,OE=BO=1,
∴CE==.
又DE=AO=,
∴在Rt△CDE中,tan∠CDE===.
即异面直线AO与CD所成的角的正切值是.
(3)由(1)知,CO⊥平面AOB,
∴∠CDO是CD与平面AOB所成的角,
且tan∠CDO==.
∴当OD最小时,tan∠CDO最大.
此时,OD⊥AB,垂足为点D,
OD==,tan∠CDO=,
即CD与平面AOB所成角的正切值的最大值是.
5.在我国古代数学名著《九章算术》中,将四个面都为直角三角形的四面体称为鳖臑,如图,在鳖臑ABCD中,AB⊥平面BCD,且AB=BC=CD,则异面直线AC与BD所成角的余弦值为( )
A. B.- C. D.-
A [如图,分别取BC,CD,AD,BD的中点M,N,P,Q,连接MN,NP,MP,PQ,MQ,
则MN∥BD,NP∥AC,所以∠PNM即为异面直线AC和BD所成的角(或其补角).
又由题意得PQ⊥MQ,PQ=AB,MQ=CD.
设AB=BC=CD=2,则PM=.
又MN=BD=,NP=AC=,
所以△PNM为等边三角形,所以∠PNM=60°,
所以异面直线AC与BD所成角为60°,其余弦值为.]
1.(2020·新高考全国卷Ⅰ)日晷是中国古代用来测定时间的仪器,利用与晷面垂直的晷针投射到晷面的影子来测定时间.把地球看成一个球(球心记为O),地球上一点A的纬度是指OA与地球赤道所在平面所成角,点A处的水平面是指过点A且与OA垂直的平面.在点A处放置一个日晷,若晷面与赤道所在平面平行,点A处的纬度为北纬40°,则晷针与点A处的水平面所成角为( )
A.20° B.40° C.50° D.90°
B [过球心O,点A以及晷针的轴截面如图所示,其中CD为晷面,GF为晷针所在直线,EF为点A处的水平面,GF⊥CD,CD∥OB,∠AOB=40°,
∠OAE=∠OAF=90°,所以∠GFA=∠CAO=∠AOB=40°.故选B.]
2.(2020·全国卷Ⅰ)已知A,B,C为球O的球面上的三个点,⊙O1为△ABC的外接圆.若⊙O1的面积为4π,AB=BC=AC=OO1,则球O的表面积为( )
A.64π B.48π C.36π D.32π
A [如图所示,设球O的半径为R,⊙O1的半径为r,因为⊙O1的面积为4π,所以4π=πr2,解得r=2,又AB=BC=AC=OO1,所以=2r,解得AB=2,故OO1=2,所以R2=OO+r2=(2)2+22=16,所以球O的表面积S=4πR2=64π.故选A.]
3.(2020·全国卷Ⅲ)已知圆锥的底面半径为1,母线长为3,则该圆锥内半径最大的球的体积为________.
π [易知半径最大的球即为该圆锥的内切球.圆锥PE及其内切球O如图所示,设内切球的半径为R,则sin∠BPE===,所以OP=3R,所以PE=4R===2,所以R=,所以内切球的体积V=πR3=π,即该圆锥内半径最大的球的体积为π.]
4.(2020·全国卷Ⅰ)如图,D为圆锥的顶点,O是圆锥底面的圆心,△ABC是底面的内接正三角形,P为DO上一点,∠APC=90°.
(1)证明:平面PAB⊥平面PAC;
(2)设DO=,圆锥的侧面积为π,求三棱锥PABC的体积.
[解] (1)证明:由题设可知,PA=PB=PC,
由于△ABC是正三角形,
故可得△PAC≌△PAB,
△PAC≌△PBC.
又∠APC=90°,
故∠APB=90°,∠BPC=90°.
从而PB⊥PA,PB⊥PC,故PB⊥平面PAC,所以平面PAB⊥平面PAC.
(2)设圆锥的底面半径为r,母线长为l.
由题设可得rl=,l2-r2=2.
解得r=1,l=.
从而AB=.由(1)可得PA2+PB2=AB2,故PA=PB=PC=.
所以三棱锥PABC的体积为
××PA×PB×PC=××=.

