高中数学北师大版 (2019)选择性必修 第一册第二章 圆锥曲线1 椭圆1.2 椭圆的简单几何性质课文课件ppt
展开第2课时 椭圆的简单几何性质的综合问题
第二章 1.2 椭圆的简单几何性质
学习目标
1.进一步熟悉求解椭圆方程的方法.
2.会利用椭圆的几何性质解决一些简单的实际问题.
3.了解代入法求解轨迹方程的方法.
内容索引
椭圆方程的设法
一
根据下列条件,求椭圆的标准方程.
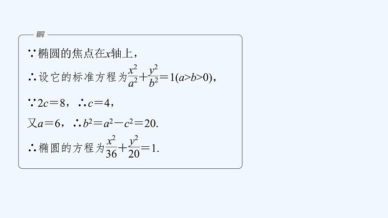
(2)已知椭圆的两个焦点间的距离为8,两个顶点坐标分别是(-6,0),(6,0),求焦点在x轴上的椭圆的标准方程.
∵椭圆的焦点在x轴上,
∵2c=8,∴c=4,又a=6,∴b2=a2-c2=20.
延伸探究 本例(1)中的条件“焦点在x轴上”去掉,其他条件不变,求椭圆方程.
当焦点在y轴上时,
反思感悟
根据下列条件求椭圆的标准方程.
椭圆简单几何性质的实际应用
二
(多选)中国的嫦娥四号探测器,简称“四号星”,是世界首个在月球背面软着陆和巡视探测的航天器.2019年9月25日,中国科研人员利用嫦娥四号数据精确定位了嫦娥四号的着陆位置,并再现了嫦娥四号的落月过程,该成果由国际科学期刊《自然·通讯》在线发表.如图所示,现假设“四号星”沿地月转移轨道飞向月球后,在月球附近一点P变轨进入以月球球心F为一个焦点的椭圆轨道Ⅰ绕月飞行,之后卫星在P点第二次变轨进入仍以F为一个焦点的椭圆轨道Ⅱ绕月飞行.若用2c1和2c2分别表示椭圆轨道Ⅰ和Ⅱ的焦距,用2a1和2a2分别表示椭圆轨道Ⅰ和Ⅱ的长轴长,则下列式子正确的是
√
√
由图可知,a1>a2,c1>c2,所以a1+c1>a2+c2,所以A不正确;在椭圆轨道Ⅰ中可得,a1-c1=|PF|,在椭圆轨道Ⅱ中可得,|PF|=a2-c2,所以a1-c1=a2-c2,所以B正确;a1+c2=a2+c1,两边同时平方得,
所以C错误,D正确.
解决和椭圆有关的实际问题的思路(1)通过数学抽象,找出实际问题中涉及的椭圆,将原问题转化为数学问题.(2)确定椭圆的位置及要素,并利用椭圆的方程或几何性质求出数学问题的解.(3)用解得的结果说明原来的实际问题.
反思感悟
某隧道的拱线设计为半个椭圆的形状,最大拱高h为6米(如图所示),路面设计是双向车道,车道总宽为 米,如果限制通行车辆的高度不超过4.5米,那么隧道设计的拱宽d至少应是____米.
32
解得a=16,∵车辆高度不超过4.5米,∴a≥16,d=2a≥32,故拱宽至少为32米.
代入法求轨迹方程
三
点B是椭圆 =1上的动点,A(2a,0)为定点,求线段AB的中点M的轨迹方程.
设动点M的坐标为(x,y),B点坐标为(x0,y0),
即点B的坐标可表示为(2x-2a,2y).
反思感悟
相关点代入法求轨迹方程的一般步骤(1)建立平面直角坐标系,设所求动点的坐标为(x,y),其相关动点的坐标为(x0,y0).(2)找出(x,y)与(x0,y0)之间的等量关系,用x,y表示x0,y0.(3)将x0,y0代入其所在的曲线方程.(4)化简方程得所求方程.(5)根据题意,方程后加限制条件.
A.(x-3)2+2(y-3)2=1 B.(x+3)2+2(y+3)2=1C.(x+1)2+2(y+1)2=9 D.(x-1)2+2(y-1)2=9
√
设动点M(x,y),Q(m,n),
又Q(m,n)在椭圆x2+2y2=16上,故16(x+3)2+32(y+3)2=16,即(x+3)2+2(y+3)2=1.
课堂小结
1.知识清单: (1)椭圆方程的设法. (2)实际生活中的椭圆问题. (3)求轨迹方程.2.方法归纳:待定系数法、代入法、分类讨论.3.常见误区:求椭圆方程未确定焦点在哪个轴上时不讨论而致误.
随堂演练
1.椭圆C: =1的右焦点为F,点P是椭圆C上的动点,则|PF|的最大值是A.2 B.3 C.4 D.6
1
2
3
4
√
则|PF|≤a+c=6.所以|PF|的最大值是6.
1
2
3
4
√
1
2
3
4
1
2
3
4
3.万众瞩目的北京冬奥会于2022年2月4日正式开幕,继2008年北京奥运会之后,国家体育场(又名鸟巢)将再次承办奥运会开幕式.在手工课上,王老师带领同学们一起制作了一个近似鸟巢的金属模型,其俯视图可近似看成是两个大小不同、扁平程度相同的椭圆.已知大椭圆的长轴长为40 cm,短轴长为20 cm,小椭圆的短轴长为10 cm,则小椭圆的长轴长为____ cm.
20
1
2
3
4
因为两个椭圆的扁平程度相同,
解得a小=10.所以小椭圆的长轴长为20 cm.
1
2
3
4
1
2
3
4
设点M的坐标为(x,y),点P的坐标为(x0,y0),则点D的坐标为(x0,0),
课时对点练
1.德国天文学家开普勒发现天体运行轨道是椭圆,已知地球运行的轨道是一个椭圆,太阳在它的一个焦点上,轨道近日点到太阳中心的距离和远日点到太阳中心的距离之比是29∶30,那么地球运行轨道所在椭圆的离心率是
1
2
3
4
5
6
7
8
9
10
11
12
13
14
15
16
√
1
2
3
4
5
6
7
8
9
10
11
12
13
14
15
16
设椭圆的长半轴长为a,半焦距为c,
1
2
3
4
5
6
7
8
9
10
11
12
13
14
15
16
2.与椭圆9x2+4y2=36有相同的焦点,且短轴长为2的椭圆的标准方程为
√
1
2
3
4
5
6
7
8
9
10
11
12
13
14
15
16
所以a2=b2+c2=6,
1
2
3
4
5
6
7
8
9
10
11
12
13
14
15
16
√
√
1
2
3
4
5
6
7
8
9
10
11
12
13
14
15
16
当焦点在x轴上时,
当焦点在y轴上时,
1
2
3
4
5
6
7
8
9
10
11
12
13
14
15
16
1
2
3
4
5
6
7
8
9
10
11
12
13
14
15
16
4.某月球探测器发射后顺利进入了以月球球心为一个焦点的椭圆形轨道,近月点与月球表面的距离为100 km,远月点与月球表面的距离为400 km.已知月球的直径约为3 476 km,则该椭圆形轨道的离心率约为
√
1
2
3
4
5
6
7
8
9
10
11
12
13
14
15
16
设A为近月点,B为远月点,F为月球的球心,如图所示.则|AF|=100+1 738=1 838(km),|BF|=400+1 738=2 138(km),故2a=1 838+2 138=3 976,a=1 988.又a+c=2 138,所以c=2 138-1 988=150,
1
2
3
4
5
6
7
8
9
10
11
12
13
14
15
16
√
1
2
3
4
5
6
7
8
9
10
11
12
13
14
15
16
设交点为P(x,y),A1(-3,0),A2(3,0),P1(x0,y0),P2(x0,-y0),∵A1,P1,P共线,
∵A2,P2,P共线,
1
2
3
4
5
6
7
8
9
10
11
12
13
14
15
16
1
2
3
4
5
6
7
8
9
10
11
12
13
14
15
16
6.椭圆是日常生活中常见的图形,在圆柱形的玻璃杯中盛半杯水,将杯体倾斜一个角度,水面的边界即是椭圆.现有一高度为12厘米,底面半径为3厘米的圆柱形玻璃杯,且杯中所盛水的体积恰为该玻璃杯容积的一半(玻璃厚度忽略不计),在玻璃杯倾斜的过程中(杯中的水不能溢出),杯中水面边界所形成的椭圆的离心率的取值范围是
√
1
2
3
4
5
6
7
8
9
10
11
12
13
14
15
16
当玻璃杯倾斜至杯中水刚好不溢出时,水面边界所形成椭圆的离心率最大,
1
2
3
4
5
6
7
8
9
10
11
12
13
14
15
16
7.已知椭圆的中心在原点,焦点在x轴上,离心率为 ,且过P(-5,4),则椭圆的方程为______________.
1
2
3
4
5
6
7
8
9
10
11
12
13
14
15
16
∴5a2-5b2=a2,即4a2=5b2.
解得a2=45.
1
2
3
4
5
6
7
8
9
10
11
12
13
14
15
16
1
2
3
4
5
6
7
8
9
10
11
12
13
14
15
16
其中m,n∈R,∴(x,y)=(2m+2n,m-n),
1
2
3
4
5
6
7
8
9
10
11
12
13
14
15
16
9.如图,在平面直角坐标系中有一直角梯形ABCD,AB的中点为O,AD⊥AB,AD∥BC,|AB|=8,|BC|=6,以A,B为焦点的椭圆经过点C,求椭圆的标准方程.
1
2
3
4
5
6
7
8
9
10
11
12
13
14
15
16
|AB|=8且AB的中点为O,则A的坐标为(-4,0),B的坐标为(4,0),即椭圆中c=4,则a2-b2=16;又|BC|=6,故C的坐标为(4,6),椭圆经过点C,
解得a2=64,b2=48,
1
2
3
4
5
6
7
8
9
10
11
12
13
14
15
16
10.已知中心在坐标原点的椭圆,经过点A(2,3),且点F(2,0)为其右焦点.(1)求椭圆的标准方程;
1
2
3
4
5
6
7
8
9
10
11
12
13
14
15
16
若点F(2,0)为其右焦点,则其左焦点为F′(-2,0),
又a2=b2+c2,∴b2=12,
1
2
3
4
5
6
7
8
9
10
11
12
13
14
15
16
(2)若P是(1)中所求椭圆上的动点,求PF的中点Q的轨迹方程.
1
2
3
4
5
6
7
8
9
10
11
12
13
14
15
16
设P(x0,y0),Q(x,y),∵Q为PF的中点,
1
2
3
4
5
6
7
8
9
10
11
12
13
14
15
16
√
1
2
3
4
5
6
7
8
9
10
11
12
13
14
15
16
设左焦点为F0,连接F0A,F0B,则四边形AFBF0为平行四边形.∵|AF|+|BF|=4,∴|AF|+|AF0|=4,∴a=2.
∴1≤|b|<2.
1
2
3
4
5
6
7
8
9
10
11
12
13
14
15
16
√
1
2
3
4
5
6
7
8
9
10
11
12
13
14
15
16
设M(x,y),A(x0,0),B(0,y0),
因为|AB|=5,
1
2
3
4
5
6
7
8
9
10
11
12
13
14
15
16
13.阿基米德(公元前287年—公元前212年)不仅是著名的物理学家,也是著名的数学家,他利用“逼近法”得到椭圆的面积除以圆周率等于椭圆的长半轴长与短半轴长的乘积.若椭圆C的对称轴为坐标轴,焦点在y轴上,且椭圆C的离心率为 ,面积为12π,则椭圆C的方程为_____________.
1
2
3
4
5
6
7
8
9
10
11
12
13
14
15
16
因为椭圆的焦点在y轴上,
1
2
3
4
5
6
7
8
9
10
11
12
13
14
15
16
1
2
3
4
5
6
7
8
9
10
11
12
13
14
15
16
设Q(x,y),
1
2
3
4
5
6
7
8
9
10
11
12
13
14
15
16
√
1
2
3
4
5
6
7
8
9
10
11
12
13
14
15
16
解得y0=±1,所以A点坐标为(2,±1),
1
2
3
4
5
6
7
8
9
10
11
12
13
14
15
16
(1)求“挞圆”的方程;
1
2
3
4
5
6
7
8
9
10
11
12
13
14
15
16
由题意知b=15,a+9=34,解得a=25,b=15.
1
2
3
4
5
6
7
8
9
10
11
12
13
14
15
16
(2)在“挞圆”形水池内建一矩形网箱养殖观赏鱼,若该矩形网箱的一条边所在直线方程为y=t(t∈(0,15)),求该网箱所占水面面积的最大值.
1
2
3
4
5
6
7
8
9
10
11
12
13
14
15
16
设P(x0,t)为矩形在第一象限内的顶点,Q(x1,t)为矩形在第二象限内的顶点,
所以网箱所占水面面积的最大值为510平方米.
数学选择性必修 第一册4.2 直线与圆锥曲线的综合问题教课课件ppt: 这是一份数学选择性必修 第一册4.2 直线与圆锥曲线的综合问题教课课件ppt,文件包含第五章22第2课时排列的综合问题pptx、第五章22第2课时排列的综合问题docx等2份课件配套教学资源,其中PPT共60页, 欢迎下载使用。
新教材北师大版步步高选择性必修一【学案+同步课件】第二章 章末复习课: 这是一份新教材北师大版步步高选择性必修一【学案+同步课件】第二章 章末复习课,文件包含第二章章末复习课pptx、第二章章末复习课docx等2份课件配套教学资源,其中PPT共50页, 欢迎下载使用。
北师大版 (2019)选择性必修 第一册2.1 圆的标准方程教学演示免费课件ppt: 这是一份北师大版 (2019)选择性必修 第一册2.1 圆的标准方程教学演示免费课件ppt,文件包含第二章11第2课时椭圆的标准方程的综合问题pptx、第二章11第2课时椭圆的标准方程的综合问题docx等2份课件配套教学资源,其中PPT共60页, 欢迎下载使用。

