所属成套资源:-2022学年人教A版(2019)高中数学必修第二册同步练习
- 6.3.2-6.3.4 平面向量的正交分解及坐标表示(提升练,含解析)-【新教材】2021-2022学年人教A版(2019)高中数学必修第二册 试卷 0 次下载
- 6.3.5 平面向量数量积的坐标表示(基础练,含解析)-【新教材】2021-2022学年人教A版(2019)高中数学必修第二册 试卷 1 次下载
- 6.4.1 平面几何中的向量方法(基础练,含解析)-【新教材】2021-2022学年人教A版(2019)高中数学必修第二册 试卷 1 次下载
- 6.4.1 平面几何中的向量方法(提升练,含解析)-【新教材】2021-2022学年人教A版(2019)高中数学必修第二册 试卷 0 次下载
- 6.4.2向量在物理中的应用举例(基础练,含解析)-【新教材】2021-2022学年人教A版(2019)高中数学必修第二册 试卷 1 次下载
人教A版 (2019)必修 第二册第六章 平面向量及其应用6.3 平面向量基本定理及坐标表示一课一练
展开这是一份人教A版 (2019)必修 第二册第六章 平面向量及其应用6.3 平面向量基本定理及坐标表示一课一练,文件包含635平面向量数量积的坐标表示提升练-2020-2021学年下学期高一数学同步课堂人教A版2019必修第二册解析版docx、635平面向量数量积的坐标表示提升练-2020-2021学年下学期高一数学同步课堂人教A版2019必修第二册原卷版docx等2份试卷配套教学资源,其中试卷共13页, 欢迎下载使用。
第六章 平面向量及其应用
6.3.5平面向量数量积的坐标表示 (提升篇)
一、单选题(共5小题,满分25分,每小题5分)
1.已知平面向量,,若,则实数( )
A. B. C. D.
2.已知向量,,满足,则( )
A. B. C. D.
3.若平面向量与的夹角为,,,则向量的模为( )
A. B. C. D.
4.在中,,,.D是BC边上的动点,则的取值范围是( )
A. B. C. D.
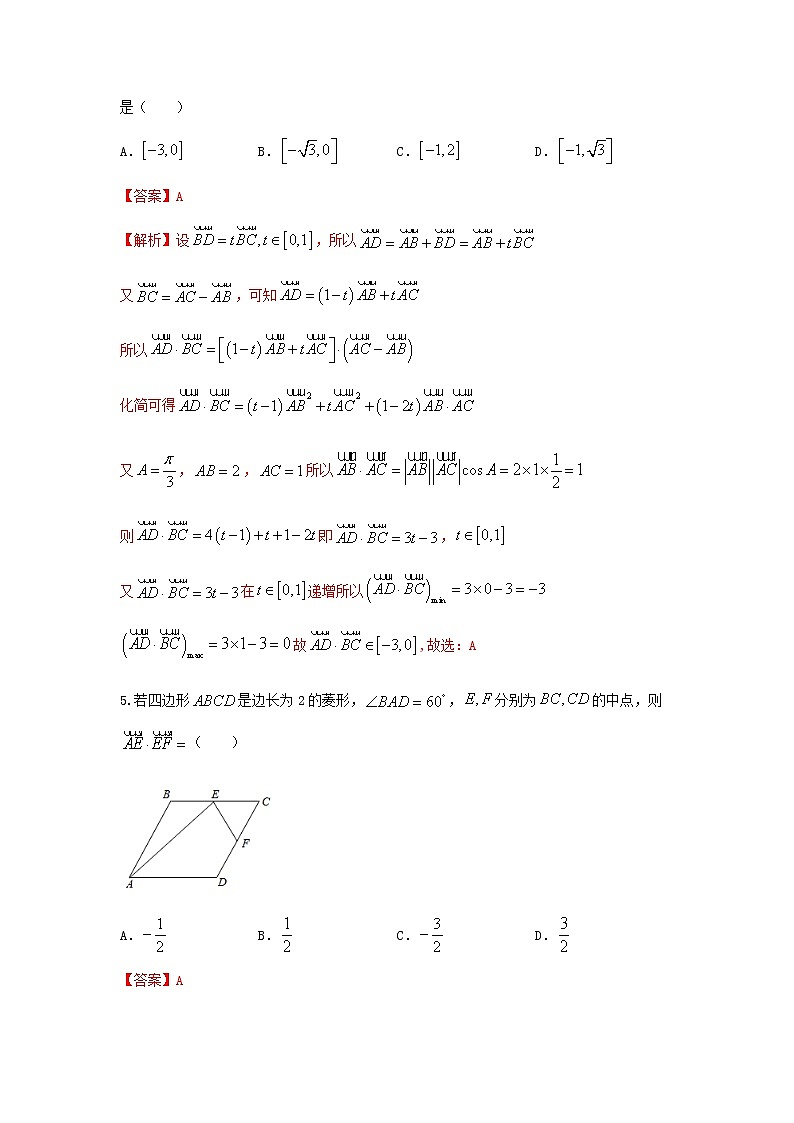
5.若四边形是边长为2的菱形,,分别为的中点,则( )
A. B. C. D.
二、多选题(共3小题,满分15分,每小题5分,少选得3分,多选不得分)
6.下列说法错误的是( )
A. 若
B. 若,且,则
C. 在中,若,则是直角三角形
D. 已知,,若与的夹角为锐角,则实数的取值范围是
7.下列说法错误的是
A. 若,,则
B.在中,,则为等腰三角形
C. 若,则存在唯一实数使得
D. 已知,,且与的夹角为锐角,则实数的取值范围是
8.下列说法中正确的是
A. 已知,且与夹角为锐角,则且
B. 若与平行,在方向上的投影为
C.已知,不能作为平面内所有向量的一组基底
D. 若非零,满足则与的夹角是
三、填空题(共3小题,满分15分,每小题5分,一题两空,第一空2分)
9.已知向量,,,其中,且,,则_________
10.如图,在中,,,为上一点,且满足,若,,则的值为__________;的值为__________.
11.若均为单位向量,且,则的取值范围为______________
四、解答题:(本题共3小题,共45分。解答应写出文字说明、证明过程或演算步骤。)
12.在中,底边上的中线,若动点满足.
(1)求的最大值;
(2)若为等腰三角形,且,点满足(1)的情况下,求的值.
13.已知两个不共线的向量a,b满足a=(1,),b=(cos θ,sin θ),θ∈R.
(1)若2a-b与a-7b垂直,求|a+b|的值;
(2)当θ∈时,若存在两个不同的θ,使得|a+b|=|ma|成立,求正数m的取值范围.
14.已知△OAB的顶点坐标为O(0,0),A(2,9),B(6,-3),点P的横坐标为14,且=λ,点Q是边AB上一点,且·=0.
(1)求实数λ的值与点P的坐标;
(2)求点Q的坐标;
(3)若R为线段OQ(含端点)上的一个动点,试求·(+)的取值范围.
相关试卷
这是一份高中人教A版 (2019)6.3 平面向量基本定理及坐标表示同步训练题,共12页。试卷主要包含了单选题,单空题,解答题等内容,欢迎下载使用。
这是一份高中数学人教A版 (2019)必修 第二册10.3 频率与概率课后复习题,文件包含103频率与概率提升练-2020-2021学年下学期高一数学同步课堂人教A版2019必修第二册解析版doc、103频率与概率提升练-2020-2021学年下学期高一数学同步课堂人教A版2019必修第二册原卷版doc等2份试卷配套教学资源,其中试卷共11页, 欢迎下载使用。
这是一份人教A版 (2019)必修 第二册8.6 空间直线、平面的垂直一课一练,文件包含861直线与直线垂直提升练-2020-2021学年下学期高一数学同步课堂人教A版2019必修第二册解析版doc、861直线与直线垂直提升练-2020-2021学年下学期高一数学同步课堂人教A版2019必修第二册原卷版doc等2份试卷配套教学资源,其中试卷共16页, 欢迎下载使用。

