人教版八年级下册16.3 二次根式的加减课后复习题
展开A组 基础训练
1.计算3 eq \r(2) - eq \r(2) 的值是( )
A.2 B.3 C. eq \r(2) D.2 eq \r(2)
2.(孝感中考)下列二次根式中不能与 eq \r(2) 合并的是( )
A. eq \r(\f(1,2)) B. eq \r(8) C. eq \r(12) D. eq \r(18)
3.下列计算正确的是( )
A. eq \r(8) - eq \r(2) = eq \r(2) B. eq \r(3) + eq \r(2) = eq \r(5)
C. eq \r(2) × eq \r(3) =6 D. eq \r(8) ÷ eq \r(2) =4
4.估算 eq \r(28) - eq \r(7) 的值在( )
A.7和8之间 B.6和7之间
C.3和4之间 D.2和3之间
5.计算4 eq \r(\f(1,2)) +3 eq \r(\f(1,3)) - eq \r(8) 的结果是( )
A. eq \r(3) + eq \r(2) B. eq \r(3)
C. eq \f(\r(3),3) D. eq \r(3) - eq \r(2)
6.计算 eq \r(27) + eq \r(3) =_________.
7.化简: eq \r(18) - eq \r(8) =__________.
8.一个三角形的三边长分别为 eq \r(28) , eq \r(32) , eq \r(50) ,则它的周长为___________.
9.当y=3时, eq \r(8y+3) - eq \r(18-2y) 的值是________.
10.计算|2- eq \r(5) |+|4- eq \r(5) |的值是______.
11.计算:
(1) eq \r(12) - eq \r(3) ;
(2) eq \r(12) -4 eq \r(0.75) + eq \r(1\f(1,3)) ;
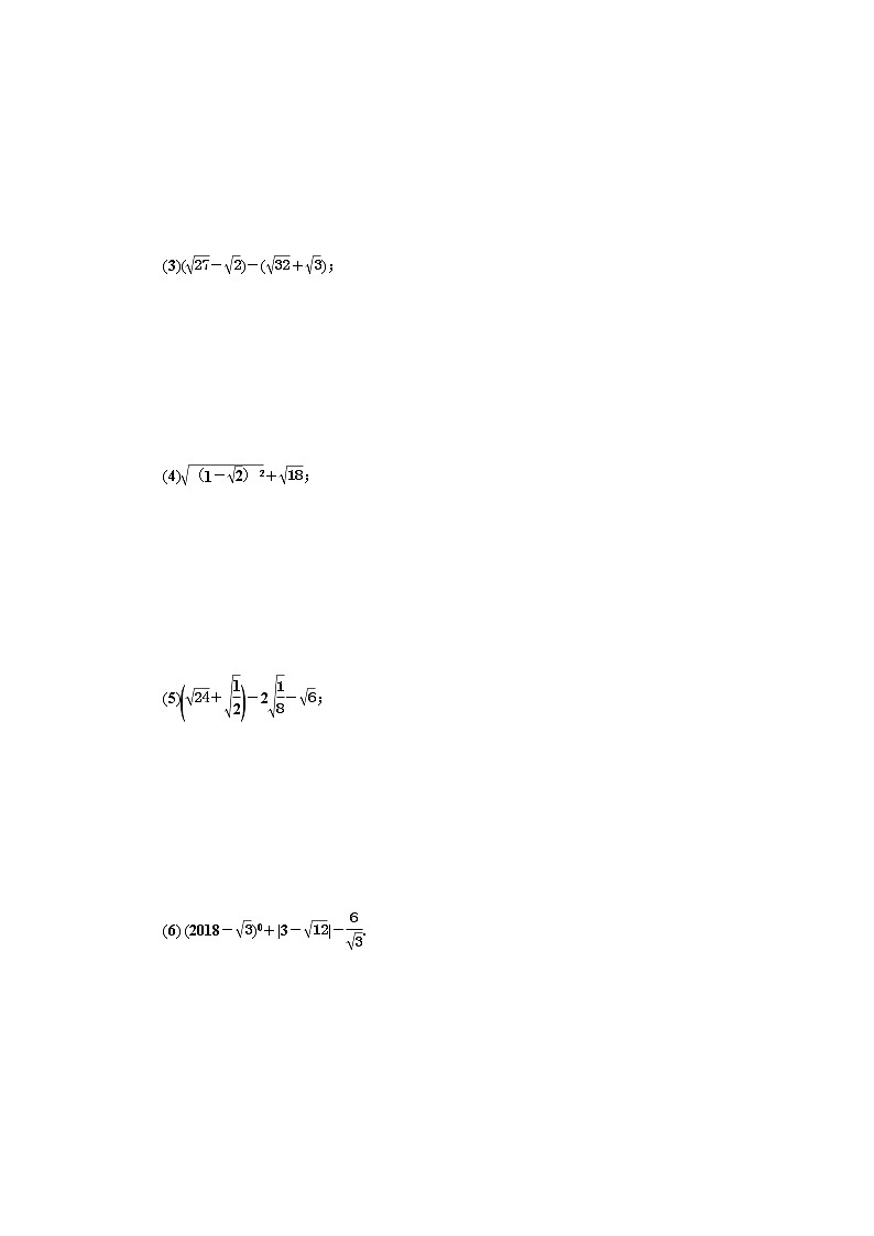
(3)( eq \r(27) - eq \r(2) )-( eq \r(32) + eq \r(3) );
(4) eq \r((1-\r(2))2) + eq \r(18) ;
(5) eq \b\lc\(\rc\)(\a\vs4\al\c1(\r(24)+\r(\f(1,2)))) -2 eq \r(\f(1,8)) - eq \r(6) ;
(6) (2018- eq \r(3) )0+|3- eq \r(12) |- eq \f(6,\r(3)) .
B组 自主提高
12.如图,数轴上A,B两点对应的实数分别是1和 eq \r(3) ,若点A关于B点的对称点为点C,则点C所对应的实数为( )
A.2 eq \r(3) -1 B.1+ eq \r(3) 第12题图
C.2+ eq \r(3) D.2 eq \r(3) +1
13.若 eq \r(19) 的整数部分是a,小数部分是b,计算 eq \r(19) a+b的值为________.
14.我们规定“⊗”的意义是:当a>b时,a⊗b=a+b;当a≤b时,a⊗b=a-b,其他运算符号意义不变.按上述规定,计算( eq \r(3) ⊗1)-( eq \r(3) ⊗2)=___________.
15.先化简,再求值:
x eq \r(\f(1,x)) - eq \r(4y) - eq \r(\f(x,4)) - eq \f(1,y) eq \r(y3) ,其中x=4,y=9.
16.已知一个等腰三角形两边长分别为 eq \r(18a) cm, eq \r(12a) cm,求它的周长.
C组 综合运用
17.已知实数a,b,c满足|a― eq \r(8) |+ eq \r(b-\r(18)) +(c- eq \r(32) )2=0.
(1)求a,b,c的值;
(2)以a,b,c为边能否构成三角形?并说明你的理由.
参考答案
1—5.DCADB
6.4 eq \r(3)
7. eq \r(2)
8.2 eq \r(7) +9 eq \r(2)
9. eq \r(3)
10.2
11.(1) eq \r(3) (2) eq \f(2\r(3),3) (3)2 eq \r(3) -5 eq \r(2) (4)4 eq \r(2) -1 (5) eq \r(6) (6)-2
12.A
13.5 eq \r(19) -4
14.3
15.原式= eq \r(x) -2 eq \r(y) - eq \f(\r(x),2) - eq \r(y) = eq \f(\r(x),2) -3 eq \r(y) =-8.
16.三角形的周长为: eq \r(18a) + eq \r(18a) + eq \r(12a) =(6 eq \r(2a) +2 eq \r(3a) )cm或 eq \r(12a) + eq \r(12a) + eq \r(18a) =(4 eq \r(3a) +3 eq \r(2a) )cm
17.(1)由题意得 eq \b\lc\{(\a\vs4\al\c1(a-\r(8)=0,,b-\r(18)=0,,c-\r(32)=0,)) 解得 eq \b\lc\{(\a\vs4\al\c1(a=2\r(2),,b=3\r(2),,c=4\r(2).)) (2)能.理由如下:∵a4 eq \r(2) ,即a+b>c,∴以a,b,c为边能够构成三角形.
人教版八年级下册16.3 二次根式的加减课时训练: 这是一份人教版八年级下册16.3 二次根式的加减课时训练,共7页。试卷主要包含了单选题,填空题,解答题等内容,欢迎下载使用。
2021学年16.3 二次根式的加减课堂检测: 这是一份2021学年16.3 二次根式的加减课堂检测,共5页。试卷主要包含了单项选择题,填空题,解答题等内容,欢迎下载使用。
初中数学人教版八年级下册16.3 二次根式的加减练习题: 这是一份初中数学人教版八年级下册16.3 二次根式的加减练习题,共11页。试卷主要包含了基本概念,典例分析,针对训练等内容,欢迎下载使用。

