- 第六讲 函数基本性质(单调性与奇偶性)(A版)教案 教案 12 次下载
- 第七讲 幂函数(A版)学案 学案 7 次下载
- 第九讲 对数与对数函数(A版)教案 教案 11 次下载
- 第十讲 函数的应用学案 学案 7 次下载
- 第11讲 任意角与弧度制、三角函数的概念、诱导公式 学案 学案 8 次下载
数学人教版(中职)4.1 指数与指数函数导学案及答案
展开第八讲 指数与指数函数
一、知识点睛
1、指数幂的化简和比较大小
2、指数函数的图像和性质
二、考点梳理
重难点一 根式
(1)概念:式子叫做根式,其中n叫做根指数,a叫做被开方数.
(2)性质:()n=a(a使有意义);当n为奇数时,=a,当n为偶数时,=|a|=
重难点二 分数指数幂
(1)规定:正数的正分数指数幂的意义是a=(a>0,m,n∈N*,且n>1);正数的负分数指数幂的意义是a-=(a>0,m,n∈N*,且n>1);0的正分数指数幂等于0;0的负分数指数幂没有意义.
(2)有理指数幂的运算性质:aras=ar+s;(ar)s=ars;(ab)r=arbr,其中a>0,b>0,r,s∈Q.
重难点三 指数函数及其性质
(1)概念:函数y=ax(a>0且a≠1)叫做指数函数,其中指数x是自变量,函数的定义域是R,a是底数.
(2)指数函数的图象与性质
| a>1 | 0<a<1 |
图象 | ||
定义域 | R | |
值域 | (0,+∞) | |
性质 | 过定点(0,1),即x=0时,y=1 | |
当x>0时,y>1; 当x<0时,0<y<1 | 当x<0时,y>1; 当x>0时,0<y<1 | |
在(-∞,+∞)上是增函数 | 在(-∞,+∞)上是减函数 | |
一、重难点
1 指数与指数运算
1.;
2.
3.正分数指数幂:规定:a=(a>0,m,n∈N*,且n>1)
4.负分数指数幂:规定:a-==(a>0,m,n∈N*,且n>1)
5.幂的运算性质
(1)aras=ar+s(a>0,r,s∈R).
(2)(ar)s=ars(a>0,r,s∈R).
(3)(ab)r=arbr(a>0,b>0,r∈R).
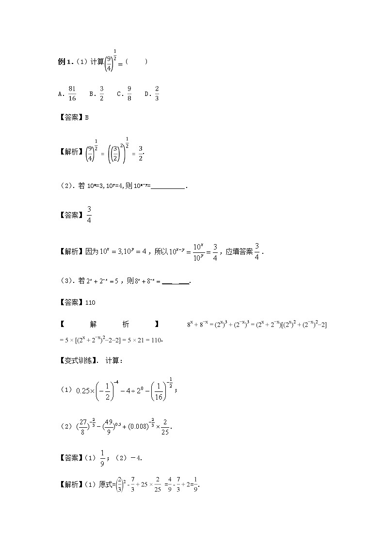
例1.(1)计算( )
A. B. C. D.
(2).若10x=3,10y=4,则10x-y=__________.
(3).若,则___ ___.
【变式训练】. 计算:
(1);
(2).
2 指数函数的图像与性质
例2.求下列函数的定义域和值域:
(1)y=;(2)y=x2-2x-3;(3)y=4x+2x+1+2.
例3.(1)函数图象一定过点 ( )
A.(0,1) B.(0,3) C.(1,0) D.(3,0)
(2). 如图①,②,③,④,根据图象可得a、b、c、d与1的大小关系为( )
A. a<b<1<c<d B. b<a<1<d<c
C. 1<a<b<c<d D. a<b<1<d<c
【变式训练】.(1)已知,,,则、、的大小关系是( )
A. B. C. D.
(2).函数的图象的大致形状是( )
A. B.
C. D.
3 指数函数的单调性与最值(比较大小)
例4. 比较下列各组数的大小:
(1)1.52.5和1.53.2;(2)0.6-1.2和0.6-1.5;(3)1.70.2和0.92.1;(4)a1.1与a0.3(a>0且a≠1).
【变式训练】.(1)设0<a<1,则使不等式成立的x的集合是________.
(2).设,,,则( )
A. B. C. D.
4 指数型复合函数的应用
例5.已知函数,求其单调区间及值域
【变式训练】.已知函数 ().
(1)若,求函数的值域;
(2)若方程有解,求实数的取值范围.
二、课后作业
1.已知在同一坐标系下,指数函数和的图象如图,则下列关系中正确的是( )
A. B. C. D.
2.函数的图象是( )
A. B.
C. D.
3.已知,,,则下列不等式正确的是( )
A. B. C. D.
4.若函数(且)的图象恒过定点,则 , ______.
5.已知f(x)是定义在R上的偶函数,且.若当时,,则________.
6.设函数,则满足的的取值范围是__________.
7.设函数且,.
(1)求的解析式;
(2)画出的图象(不写过程)并求值域.
8.已知函数,为常数,且函数的图象过点.
(1)求的值;
(2)若,且,求满足条件的的值.
9.设函数.
(1)若,求的值.
(2)若,求函数的解析式;
(3)在(2)的条件下,设,在上的最小值为,求.
中职苏教版(中职)第7章 平面向量导学案及答案: 这是一份中职苏教版(中职)第7章 平面向量导学案及答案,共77页。学案主要包含了题型目录,典型例题,题型专练,思路导引等内容,欢迎下载使用。
高中数学高教版(中职)基础模块下册7.1.2 平面向量的加法学案设计: 这是一份高中数学高教版(中职)基础模块下册7.1.2 平面向量的加法学案设计,文件包含第二讲平面向量的加法运算原卷版docx、第二讲平面向量的加法运算解析版docx等2份学案配套教学资源,其中学案共23页, 欢迎下载使用。

