中考数学总复习精炼(含答案):02解方程及方程组、不等式(组)
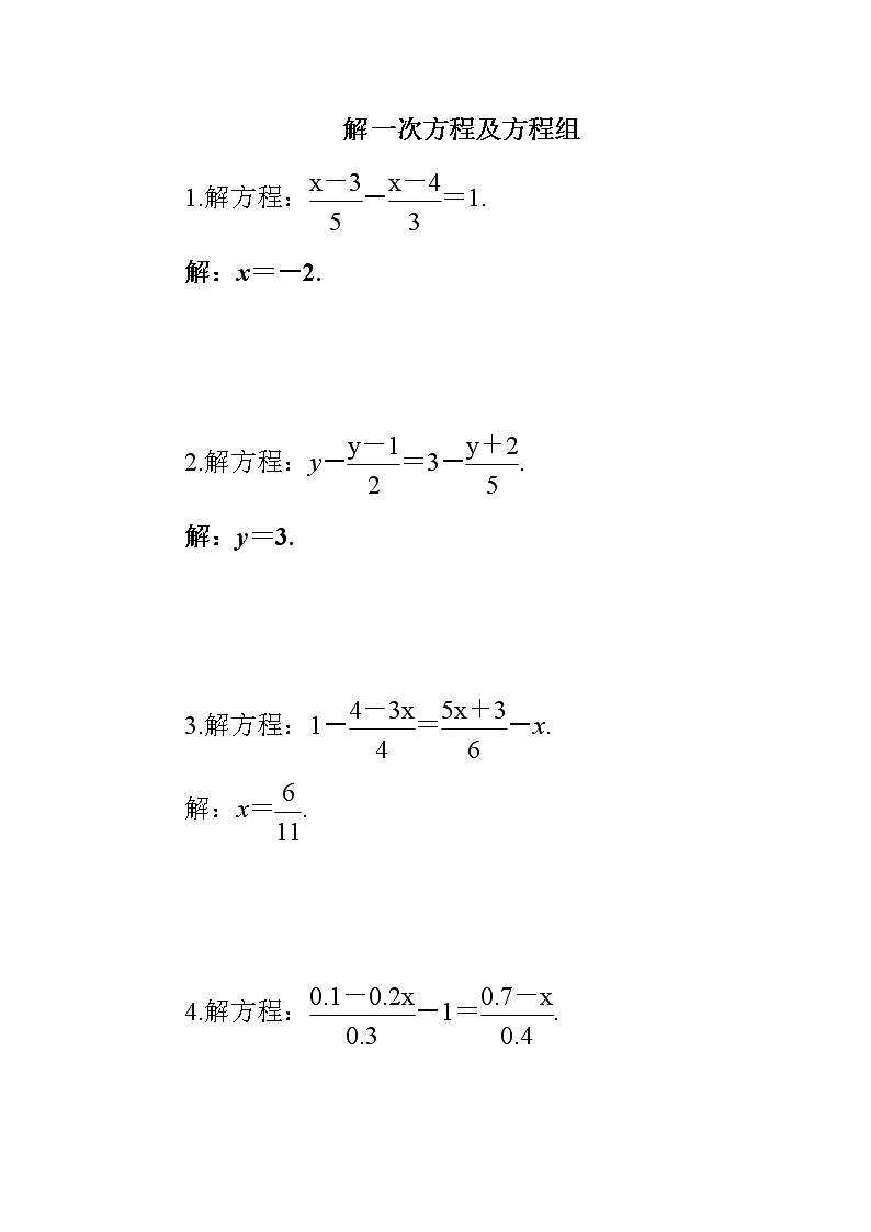
展开解一次方程及方程组
1.解方程:-=1.
解:x=-2.
2.解方程:y-=3-.
解:y=3.
3.解方程:1-=-x.
解:x=.
4.解方程:-1=.
解:方程整理得:-1=,去分母得:4-8x-12=21-30x,移项合并得:22x=29,解得:x=.
5. 解方程组
解:
6.解下列方程组:
(1) (2)
解:(1) (2)
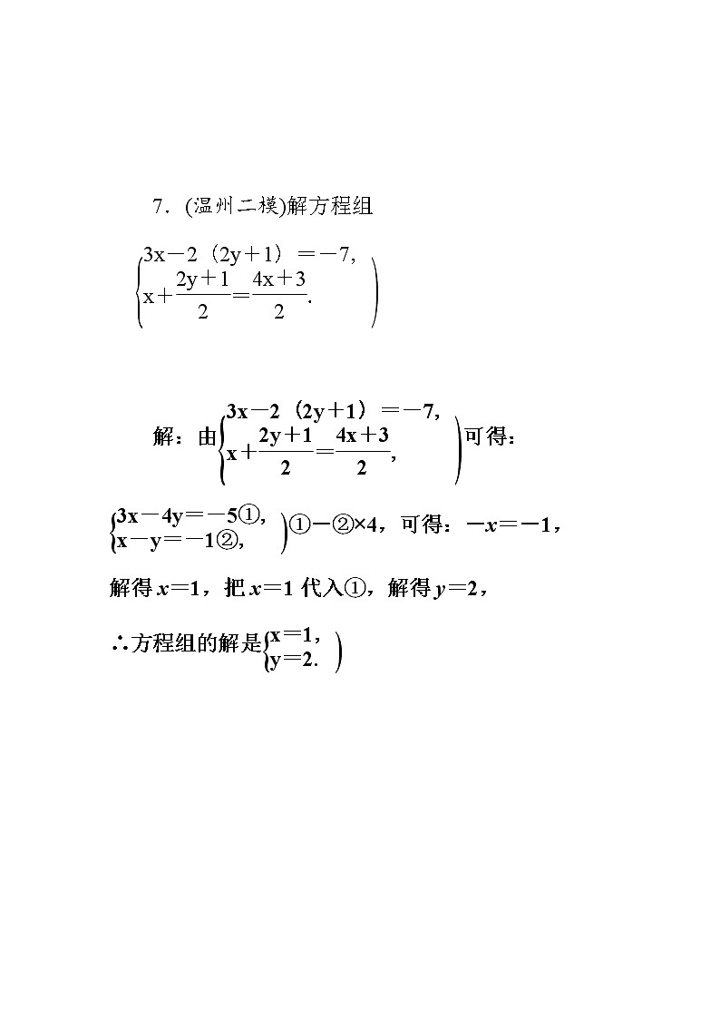
7.(温州二模)解方程组
解:由可得:
①-②×4,可得:-x=-1,
解得x=1,把x=1代入①,解得y=2,
∴方程组的解是
8.解方程组:
解:由①得-x+7y=6③,由②得2x+y=3④,③×2+④,得:14y+y=15,解得:y=1,把y=1代入④,解得:x=1,所以方程组的解为
解一元二次方程及分式方程
1.(嘉兴二模)解方程:2x2+x-6=0.
解:x1=,x2=-2.
2.解方程:2x2-3x-1=0.
解:x1=,x2=.
3.用配方法求一元二次方程(2x+3)(x-6)=16的实数根.
解:原方程化为一般形式为2x2-9x-34=0,
x2-x=17,x2-x+=17+,
(x-)2=,x-=±,所以x1=,x2=.
4.解方程:(x+3)2-8(x+3)+16=0.
解:(x+3)2-8(x+3)+16=0,设x+3=a,
则原方程化为a2-8a+16=0,(a-4)2=0,
解得:a1=a2=4,即x+3=4,∴x=1,即原方程的解为x1=x2=1.
5.解方程:-=1.
解:去分母得:x2-2x+2=x2-x,解得:x=2,检验:当x=2时,方程左右两边相等,所以x=2是原方程的解.
6.解方程:
-=1.
解:-=
==1,
∴x2+2x-3=(x-1)(x+2),∴x=1,经检验x=1是方程的增根,∴原方程无解.
7.解分式方程:-1=.
解:方程两边乘(x-2)2得:x(x-2)-(x-2)2=4,解得:x=4,检验:当x=4时,(x-2)2≠0.所以原方程的解为x=4.
8.关于x的一元二次方程x2-3x+k=0有实数根.
(1)求k的取值范围;
(2)如果k是符合条件的最大整数,且一元二次方程(m-1)x2+x+m-3=0与方程x2-3x+k=0有一个相同的根,求此时m的值.
解:(1)根据题意得Δ=(-3)2-4k≥0,解得k≤;
(2)k的最大整数为2,方程x2-3x+k=0变形为x2-3x+2=0,解得x1=1,x2=2,∵一元二次方程(m-1)x2+x+m-3=0与方程x2-3x+k=0有一个相同的根,∴当x=1时,m-1+1+m-3=0,解得m=,当x=2时,4(m-1)+2+m-3=0,解得m=1,而m-1≠0,∴m的值为.
解不等式(组)
1.解不等式:4(x-1)-<x.
解:x<.
2.解不等式+1>x-3.
解:x<3.
3.解不等式组
请结合题意填空,完成本题的解答.
(Ⅰ)解不等式①,得__x≥-2__;
(Ⅱ)解不等式②,得__x≤1__;
(Ⅲ)把不等式①和②的解集在数轴上表示出来;
(Ⅳ)原不等式组的解集为__-2≤x≤1__.
解:(Ⅲ)把不等式①和②的解集在数轴上表示出来;
4.解不等式组:
解:解①得:x≤4,
解②得x>-1,不等式组的解集为-1<x≤4.
5.解不等式组并写出它的正整数解.
解:由①,得x≥-1,由②,得x<3.所以该不等式组的解集为:-1≤x<3.所以满足条件的正整数解为:1,2.
6.解不等式组:并利用数轴确定不等式组的解集.
解:用数轴表示为:
所以不等式组的解集为-2≤x<3.
7.解不等式组:并把解集在数轴上表示出来.
解:,解不等式①得:
x<2,解不等式②得:x>1,∴不等式组的解集为
1<x<2,在数轴上表示不等式组的解集为:
.
8.若点P的坐标为(,2x-9),其中x满足不等式组求点P所在的象限.
解:解①得:x≥4,解②得:x≤4,则不等式组的解是:x=4,∵=1,2x-9=-1,∴点P的坐标为(1,-1),∴点P在第四象限.
中考数学方程组与不等式组练习题: 这是一份中考数学方程组与不等式组练习题,共25页。试卷主要包含了基础知识检测,基础知识梳理,考点把握,达标测评等内容,欢迎下载使用。
初中数学人教版七年级下册8.2 消元---解二元一次方程组课时练习: 这是一份初中数学人教版七年级下册8.2 消元---解二元一次方程组课时练习,共8页。试卷主要包含了选择题,填空题,解答题等内容,欢迎下载使用。
人教版七年级下册8.2 消元---解二元一次方程组综合训练题: 这是一份人教版七年级下册8.2 消元---解二元一次方程组综合训练题,共7页。试卷主要包含了选择题,填空题,解答题等内容,欢迎下载使用。

