第20讲 三角函数的图象及性质-2021届高考数学(理)培优专题提升训练(解析版)
展开一、选择题
1.已知曲线C1:y=cs x,C2:y=sin (2x+),则下面结论正确的是
A. 把C1上各点的横坐标伸长到原来的2倍,纵坐标不变,再把得到的曲线向右平移个单位长度,得到曲线C2
B. 把C1上各点的横坐标伸长到原来的2倍,纵坐标不变,再把得到的曲线向左平移个单位长度,得到曲线C2
C. 把C1上各点的横坐标缩短到原来的倍,纵坐标不变,再把得到的曲线向右平移个单位长度,得到曲线C2
D. 把C1上各点的横坐标缩短到原来的倍,纵坐标不变,再把得到的曲线向左平移个单位长度,得到曲线C2
【答案】D
【解析】因为函数名不同,所以先将利用诱导公式转化成与相同的函数名,则,则由上各点的横坐标缩短到原来的倍变为,再将曲线向左平移个单位长度得到,故选D.
2.函数的部分图象如图所示,的值为( )
A.0 B. C. D.
答案A
解析:由图知,,所以,所以.由正弦函数的对称性知,所以=,故选A.
3.如果函数的图象关于点中心对称,那么的最小值为( )
A. B. C. D.
答案C
解析:因为函数的图象关于点中心对称,所以,根据诱导公式可得,所以,即,,令得故选C.
4.函数的部分图象如图所示,则的值分别是( )
A、 B、 C、 D、
答案A
解析:由图可知,,即,所以由可得,,所以函数
,又因为函数图像过点,所以,即
,又因为,所以,故应选.
5.关于函数,下列命题正确的是( )
A.由可得是的整数倍 B.的表达式可改写成
C.的图象关于点对称 D.的图象关于直线对称
答案C
解析:A中,令,则,即,所以若有是的整数倍,故A不正确;B中,==,故B不正确;C中,令,得(),所以函数的图象的对称点为,故C正确;D中令=()可得,所以函数图象的对称轴为直线,故D不正确,故选C.
二、填空题
6.如图,已知分别是函数在轴右侧图象上的第一个最高点和第一个最低点,且则该函数的周期是 .
答案
解析:由题意可设,又所以
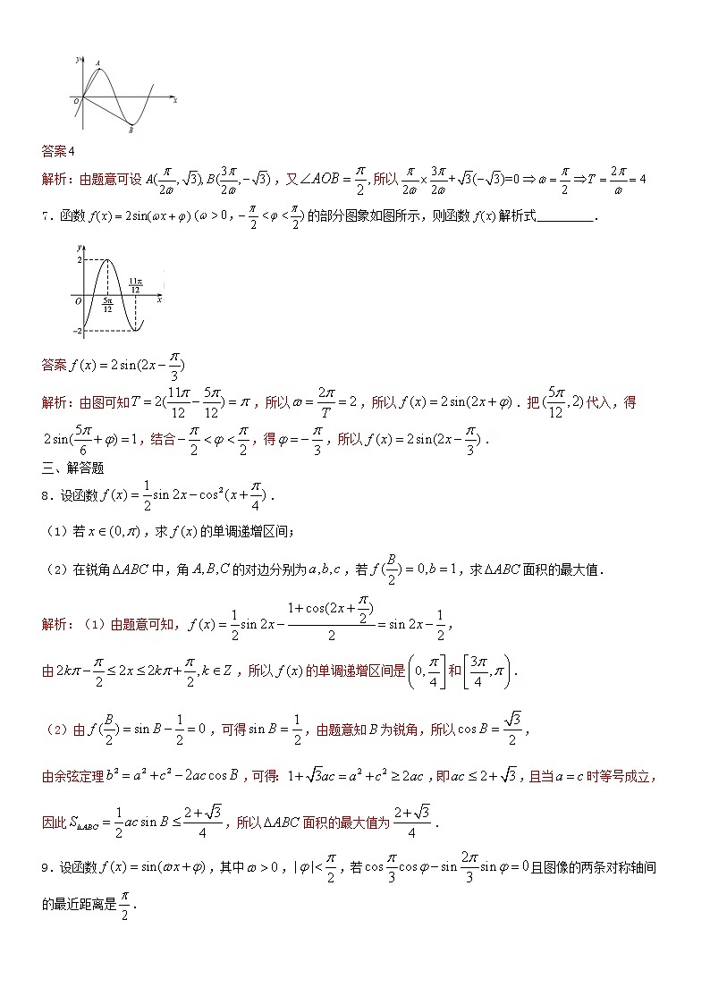
7.函数的部分图象如图所示,则函数解析式 .
答案
解析:由图可知,所以,所以.把代入,得,结合,得,所以.
三、解答题
8.设函数.
(1)若,求的单调递增区间;
(2)在锐角中,角的对边分别为,若,求面积的最大值.
解析:(1)由题意可知,,
由,所以的单调递增区间是和.
(2)由,可得,由题意知为锐角,所以,
由余弦定理,可得:,即,且当时等号成立,因此,所以面积的最大值为.
9.设函数,其中,,若且图像的两条对称轴间的最近距离是.
(1)求函数的解析式;
(2)若是△的三个内角,且,求的取值范围.
解析:(1)由条件,.
∵,∴,∴,∴.
又图象的两条对称轴间的最近距离是,所以周期为,∴,∴.
(2)由,知,∵是的内角,∴,∴,
∴,∴,从而.由,
∵,∴,∴,即.
10.已知函数.
(Ⅰ)当时,求函数取得最大值和最小值时的值;
(Ⅱ)设锐角的内角的对应边分别是,且,若向量与向量平行,求的值.
解析:(Ⅰ),
∵,∴,
∴当时,即,得,取得最大值;
当时,即,得,取得最小值;
(Ⅱ)向量与向量平行,
所以,根据正弦定理的推论,得,
,由余弦定理
经检验符合三角形要求,的值为.
11.已知向量,,设函数.
(Ⅰ)求函数取得最大值时取值的集合;
(Ⅱ)设,,为锐角三角形的三个内角.若,,求 的值。
解析:(Ⅰ)
要使取得最大值,须满足取得最小值.
当取得最大值时,取值的集合为
(Ⅱ)由题意,得.
,
B组
一、选择题
1.将函数的图象沿轴向左平移个单位后,得到一个偶函数的图象,则的最小值为( )
A. B. C. D.
答案C
解析:将函数的图象沿轴向左平移个单位后,得到一个偶函数的图象,可得,求得的最小值为,故选:B.
2.如图是函数图像的一部分,对不同的,若,有,则( )
A.在上是减函数 B.在上是减函数
C.在上是增函数 D.在上是增函数
答案C
解析:由图可知,又由,知函数的图象关于直线对称,所以.由五点法作图,得,,所以,则=,即,所以,所以,在上,,所以在上是增函数,故选C.
3.在中,,若函数在上为单调递减函数,则下列命题正确的是( )
A. B.
C. D.
答案D
解析:由题在中,由,可得 从而可得,即,根据题意函数在上为单调递减函数,故,选D
4.为了得到函数的图象,可以将函数的图象( )
A.向右平移个单位长度 B.向右平移个单位长度
C.向左平移个单位长度 D.向左平移个单位长度
答案B
解析:,将函数的图象向右平移个单位长度.故选B.
二、填空题
5.设函数,的值域是,则实数的取值范围是 .
答案
解析:因为,所以,而函数的值域为,所以,所以,即实数的取值范围是.
6.已知函数,将图象向右平移个单位长度得到函数的图象,若对任意,都有成立,则的值为 .
答案2
解析:(其中,).将图象向右平移个单位长度得,所以,,解得.
三、解答题
7.已知函数.
(Ⅰ)求函数的单调递减区间;
(Ⅱ)设时,函数的最小值是,求的最大值.
解析:(Ⅰ)
令,得,
的单调递减区间
(Ⅱ)
,令 得,
所以
8.已知函数.
(1)求函数的最小正周期和单调递增区间;
(2)当时,若恒成立,求的取值范围.
解析:(1) 函数最小正周期是, 解得,
函数单调递增区间为
(2),∴的最小值,
由恒成立,得恒成立.所以的取值范围为
9.已知函数,的部分图象如图所示.
(1)求函数的解析式;
(2)求函数的单调递增区间.
解析:(1)由题设图象知,周期
因为点在函数图象上,所以
即又从而,即.
又点在函数图象上,所以故函数的解析式为.
(2)
,
由得
的单调递增区间是
10.已知函数
(1)求的最小正周期和最大值;
(2)讨论在上的单调性.
解析:(1)
,因此的最小正周期为,最大值为.
(2)当时,,从而
当,即时,单调递增,
当,即时,单调递减.
综上可知,在上单调递增,在上单调递减.
C组
选择题
1.如图所示的是函数和函数的部分图象,则函数的解析式是( )
A. B.
C. D.
答案C.
解析:由题意得,,故排除B,D;又∵,故排除A,故选C.
2.将函数的图象沿轴向右平移个单位后,得到一个偶函数的图象,则的取值不可能是( )
A. B. C. D.
答案C
解析:,沿轴向右平移个单位后得到为偶函数,因此,从而选C.
3.为了得到函数的图象,只需把函数图象上的所有点( )
A.横坐标缩短到原来的倍,纵坐标不变
B.横坐标伸长到原来的倍,纵坐标不变
C.纵坐标缩短到原来的倍,横坐标不变
D.纵坐标缩短到原来的倍,横坐标不变
答案A
解析:这是一个三角函数的图象变换问题,一般的为了得到函数的图象,只需把函数的图象上所有点的横坐标伸长()或缩短()到原来的倍(纵坐标不变)即可,因此为了得到函数的图象,只需把函数图象上的所有点横坐标缩短到原来的倍,纵坐标不变,故选A.
4.函数的图像与函数的图像( )
A.有相同的对称轴但无相同的对称中心 B.有相同的对称中心但无相同的对称轴
C.既有相同的对称轴也有相同的对称中心 D.既无相同的对称中心也无相同的对称轴
答案A
解析:函数的对称轴为
函数的对称轴为;当时,二者有相同的对称轴;同理,由三角函数的性质可得函数的对称中心为,函数的对称中心为,二者没有相同的对称中心
填空题
5.函数的最小正周期是___________.
答案
解析:因为函数
,所以最小正周期是,故答案为.
6.已知函数的图象关于直线对称,则的值为_______
答案
解析:方法一:可以利用辅角公式变形为的形式,但是由于系数含参,所以辅角只能用一个抽象的代替:因为关于直线对称,
方法二:本题还可以利用特殊值法求出的值,再进行验证即可:因为关于直线对称,所以代入一组特殊值:,再代入验证,其一条对称轴为,符合题意
解答题
7.设函数,其中.
(I)若是函数的一条对称轴,求函数周期;
(II)若函数在区间上为增函数,求的最大值.
解析:由题意得,.
(I)因为是函数的一条对称轴,所以,即.
又,所以.所以函数,周期,
(II)函数的单调递增区间为,
整理得.依题意函数在区间上为增函数,故取,则有
即,所以, 又,所以的最大值为.
8.已知函数经过点,且在区间上为单调函数.
(Ⅰ)求的值;
(Ⅱ)设,求数列的前项和.
解析:(Ⅰ)由题可得,
解得,,,.
(Ⅱ)∵,数列的周期为.
前三项依次为,
∴,
∴.
9.设函数.
(1)写出的最大值,最小值,最小正周期;
(2)试求正整数的最小值,使得当自变量在任意两相邻整数间(包括整数本身)变化时,函数至少有一个值是,一个值是.
解析:(1)
(2)由题意知在相邻两整数之间(包括整数本身)至少有一个和一个,
最小正周期,则,,又为正整数,正整数的最小值为.
10.已知函数 (其中),对任意实数,在区间上要使函数值出现的次数不少于次且不多于次,求值.
解析:由,得.
∵函数在每个周期内出现函数值为的有两次,而区间长度为,
为了使长度为的区间内出现函数值不少于次且不多于次,必须使不小于个周期长度且不大于个周期长度,即,且..又,故
第03讲函数的性质选择填空压轴题专练 高考数学(理)培优提升训练含解析: 这是一份第03讲函数的性质选择填空压轴题专练 高考数学(理)培优提升训练含解析,共19页。试卷主要包含了选择题,填空题,解答题等内容,欢迎下载使用。
第01讲函数性质综合应用 高考数学(理)培优提升训练含解析: 这是一份第01讲函数性质综合应用 高考数学(理)培优提升训练含解析,共10页。试卷主要包含了已知函数,则下列结论正确的是,函数f=lg|sin x|是等内容,欢迎下载使用。
第25讲 三角函数与解三角形-2021届高考数学(理)培优专题提升训练(解析版): 这是一份第25讲 三角函数与解三角形-2021届高考数学(理)培优专题提升训练(解析版),共14页。试卷主要包含了选择题,填空题,解答题等内容,欢迎下载使用。

