初中数学人教版八年级下册16.2 二次根式的乘除教学ppt课件
展开1、二次根式的乘法法则:
2、积的算术平方根的性质:
有一天,无理数王国的 对它的兄弟 悄悄地说,“听说有理数王国有许多好玩的东西,咱兄弟俩一起去逛一逛吧!” 高兴极了,但是过了一会儿, 满脸疑云的对 说:“听说有理数王国戒备森严,我俩怎么进去呀?” 想了想说:“人心齐,泰山移,只要咱兄弟俩齐心协力,一定能进去!”同学们,你知道 和 是怎么进入有理数王国的吗?
1、完成课本第8页探究,得:
二次根式的除法法则:把被开方数相乘,根指数不变。
练习1、见课本第10页练习1
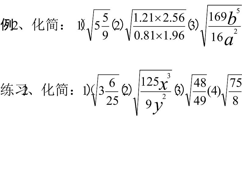
1、运用这个性质可以对二次根式进行化简。
3、带分数都要化成假分数
注意:我们在对二次根式进行化简时,根号内不能含有分母,同时分母里也不能含有根号。
分母有理化的定义:化去分母里的根号叫做分母有理化。
分母有理化的根据:根据分式的基本性质,把分子、分母都乘以一个适当的式子。
二次根式的除法:通常是先写成分式的形式,然后再分母有理化,特殊的也可以通过约分来做除法。
在分式的计算中,对最后的结果有什么要求?那么在二次根式的计算中,对最后的计算呢?
最简二次根式:(1)被开方数不含分母,(2)被开方数中不含能开得尽方的因数或因式。满足以上两个条件的二次根式叫做最简二次根式。
即:(1)被开方数是整数或整式,(2)被开方数中每个因式的指数都小于2。
1、二次根式的除法法则:
2、商的算术平方根的性质:
3、分母有理化的定义:化去分母里的根号叫分母有理化。
4、分母有理化的根据:根据分式的基本性质,把分子、分母都乘以一个适当的式子。
5、最简二次根式:(1)被开方数不含分母,(2)被开方数中不含能开得尽方的因数或因式。满足以上两个条件的二次根式叫做最简二次根式。
3、最简二次根式:(1)被开方数不含分母,(2)被开方数中不含能开得尽方的因数或因式。满足以上两个条件的二次根式叫做最简二次根式。
数学华师大版3. 二次根式的除法一等奖ppt课件: 这是一份数学华师大版3. 二次根式的除法一等奖ppt课件,共19页。PPT课件主要包含了二次根式的乘法,如何化简二次根式,公式的逆用,区别取值范围不同,商的算术平方根,比较得出结论,1利用公式,完成习题212等内容,欢迎下载使用。
人教版八年级下册16.1 二次根式完美版课件ppt: 这是一份人教版八年级下册16.1 二次根式完美版课件ppt,文件包含1622《二次根式的除法》第2课时课件pptx、1622《二次根式的除法》第2课时导学案doc、1622《二次根式的除法》第2课时教案doc等3份课件配套教学资源,其中PPT共46页, 欢迎下载使用。
初中数学人教版八年级下册第十六章 二次根式16.1 二次根式备课课件ppt: 这是一份初中数学人教版八年级下册第十六章 二次根式16.1 二次根式备课课件ppt,共27页。

