2019届二轮复习矩阵行列式&算法初步学案(全国通用)
展开2018二模汇编高考最后冲刺讲义——矩阵行列式 算法初步
一、考纲解读
内容 | 要求 | |||
记忆性水平 | 解释性理解水平 | 探究性理解水平 | ||
矩阵与行列式初步 | 矩阵 |
| 理解矩阵的意义 | 会用矩阵的记号表示线性方程组 |
二阶、三阶 行列式 |
| 理解行列式的意义 | 掌握二阶、三阶行列式展开的对角线法则,以及三阶行列式按照某一行(列)展开的方法;会用二阶或三阶行列式表示相应的特殊算式 | |
二元、三元 线性方程组解的讨论 |
|
| 掌握二元、三元线性方程组的公式解法(用行列式表示);会对含字母系数的二元、三元线性方程组的解的情况进行讨论 | |
算法初步 | 算法的含义 | 了解算法的含义 | 理解算法思想 |
|
程序框图 |
| 理解程序框图的逻辑结构:顺序,条件分支,循环;理解一些基本算法语句 |
| |
二、知识梳理:
1、在一般矩阵中,矩阵中的每个数叫做矩阵的元素;线性方程组,矩阵叫做一般线性方程组的系数矩阵,叫做一般线性方程组的增广矩阵;
特别地:方程组,则它的系数矩阵为;增广矩阵为
反过来对应的线性方程组为
【例1】.(1).方程组对应的增广矩阵为 __________.
(2).如果矩阵是线性方程组的增广矩阵,则这个线性方程组的解
可用矩阵表示为__________.
【答案】:(1) (2)
- (1)二元线性方程组当时,二元线性方程组有唯一解:,为了方便记忆,引入定义,叫做二阶行列式,叫做二阶行列式的展开式;
(2)把三阶行列式某元素所在的行和列划去,剩下的元素组成的二阶行列式,叫做这个元素的余子式;如果用分别表示某个元素所在的行数和列数,那么这个元素的余子式.
乘以所得的式子,叫做这个元素的代数余子式.
(3)二阶行列式展开:
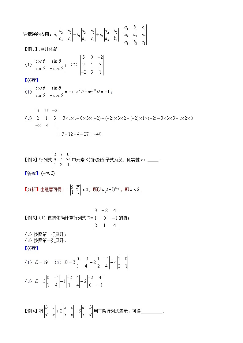
注意的逆向应用.
(4)三阶行列式的两种展开方法:
①按对角线展开.
②按一行(或一列)展开.
=
注意逆向应用:
【例1】.展开化简
(1);(2)
【答案】
(1);
(2)
【例2】行列式中元素的代数余子式为负,则实数 .
【答案】
【分析】由题意可得:,所以,即.
【例3】(1)直接化简计算行列式D=的值;
(2)按照第一行展开;
(3)按照第一列展开.
【答案】
(1) (2)
(3)
【例4】将用三阶行列式表示,可得 .
【答案】
【分析】今年考纲新增的内容:会用二阶或三阶行列式表示相应的特殊算式,所以需要注意二阶和三阶行列式的逆向应用.
3.(1)对于二元一次方程组(不全为零),则,,;
(i),方程组有唯一解;
(ii):①中至少有一个不为零,方程组无解;
②,方程组有无穷多解.
(2)对于三元一次方程组:
则,,,;
如果0,方程组有唯一解,即,,。
【需要注意与二次方程组的区别,已不能作为判断方程组有无穷解的依据】
例如:(1) 无解
【其中,而方程组无解】
(2) 有无穷多解 ;
【,方程组有无穷多解】
【例1】判断m取什么值时,下列关于x,y的线性方程组(1)有唯一解?(2)无解?(3)有无穷解?
【答案】
(1)时,方程组有唯一解;
(2) 方程组无解;
(3)方程组有无穷解.
【例2】通过对课本知识的学习,我们知道,对于三元一次方程组,其中x,y, 是未知数,系数不全为零,当系数行列式D=0时,方程组无解或有无穷多解.
以下是几位同学在D=0的条件下,类比二元一次方程组的解的情况,对三元一次方程组的解的情况的一些探索结论:
结论一:当D=0,且时,方程组有无穷多解
结论二:当D=0,且不为零时,方程组有无穷多解
结论三:当D=0,且时,方程组无解.
可惜的是这些结论都不正确,下面分别给出了一些反例,现在请你分析一下,这些给出的方程组分别是哪个错误结论的反例,并说出你的理由.
(A) (B) (C)
【答案】
(A)
而方程组无解,是结论一的反例.
(B)
而方程组无穷多解,是结论三的反例.
(C)
而方程无解,是结论二的反例.
4.理解算法思想,理解程序框图的逻辑结构:顺序,条件分支,循环,理解一些基本算法语句.
【例1】阅读下面的程序框图,则输出的______。
A. B. C. D.
【答案】C
【分析】:当时,;当时,;循环下去,当时,;当时,;本试题考查了程序框图的运用.
变式:阅读上图所示的程序框图,运行相应的程序,输出的结果是()。
A. B. C. D.
【答案】:D
【分析】:本题考查是算法的重新框图与算法的语句识别.易错点是不懂得运行顺序.
当代入程序中运行第一次是,然后赋值此时;返回运
行第二次可得,然后赋值; 再返回运行第三次可得
,然后赋值,判断可知此时,故输出.故选D.
【例2】右面的程序框图,如果输入三个实数要求输出
这三个数中最大的数,那么在空白的判断框中,应该填入下面四个选项
中的
① ② ③ ④
【答案】:①
分析:由流程图可知第一个选择框作用是比较与的大小,
故第二个选择框的作用应该是比较与的大小,故应填①;
变式:
1.如图,输出的结果是 .
2.如图,输出的 .
3.已知函数f(x)=,流程图表示的是给定x值,求其相应函数值的算法.请将该流程图补充完整.其中①处应填__________,②处应填__________.若输入x=3,则输出结果为 .
【答案】1.12;
2. 105;
3.①:x≤3;②y← -3x2;
【分析】:1.12。提示:m=2,p=7,m=12。
2.105。提示:T=1,I=1,T=1,I=3,不满足条件;T=3,I=5,不满足条件;T=15,I=7,不满足条件;T=105,I=9,满足条件。输出T。
3.①:x≤3;②y← -3x2;5.提示:根据给出函数的解析式分析可填出。
三、2018二模汇编
四、近年高考真题
1、填空题
(2009年上海高考理3文3)若行列式中,元素4的代数余子式大于0,
则满足的条件是________________ .
答案:
(2009年上海高考理4文4)某算法的程序框如右图所示,则输出量y与输入量x
满足的关系式是______________ .
答案:
X(2010年上海高考理4)行列式的值是 .
答案:0
(2010年年上海高考文3)行列式的值是 .
答案:0.5
o(2010年上海高考理10文12)在行n列矩阵中,
记位于第行第列的数为。当时, _.
答案:45
(2010年上海高考理7)2010年上海世博会园区每天9:00开园,20:00停止入园。在右边的
框图中,表示上海世博会官方 站在每个整点报道的入园总人数,表示整点报道前1个
小时内入园人数,则空白的执行框内应填入 。
答案:
(2011年上海高考理10文11)行列式()的所有可能值中,最大的是 。
答案:
(2012年上海高考理3)函数的值域是 .
答案:
(2012年上海高考文3)函数的最小正周期是 .
答案:
(2013年上海高考理3)若,则
答案:0
(2013年上海高考文4)若,,则y = .
答案:1
(2014年上海高考理17文18)已知与是直线(为常数)上两个不同的点,则关于和的方程组的解的情况是( )
(A) 无论如何,总是无解 (B) 无论如何,总有唯一解
(C) 存在,使之恰有两解 (D) 存在,使之有无穷多解
答案:
(2015年上海高考理3文5)若线性方程组的增广矩阵为、解为,则 .
【答案】
【解析】由题意得:
【考点定位】线性方程组的增广矩阵

