搜索
      上传资料 赚现金

      2026届高三数学二轮复习课件:专题5 解析几何 第4讲 圆锥曲线中的定点、定值问题(含解析)

      • 2.36 MB
      • 2026-02-23 22:42:27
      • 6
      • 1
      加入资料篮
      立即下载
      17953376第1页
      高清全屏预览
      1/33
      17953376第2页
      高清全屏预览
      2/33
      17953376第3页
      高清全屏预览
      3/33
      17953376第4页
      高清全屏预览
      4/33
      17953376第5页
      高清全屏预览
      5/33
      17953376第6页
      高清全屏预览
      6/33
      17953376第7页
      高清全屏预览
      7/33
      17953376第8页
      高清全屏预览
      8/33
      还剩25页未读, 继续阅读

      2026届高三数学二轮复习课件:专题5 解析几何 第4讲 圆锥曲线中的定点、定值问题(含解析)

      展开

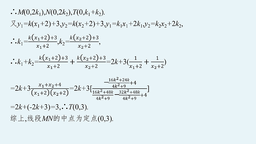
      这是一份2026届高三数学二轮复习课件:专题5 解析几何 第4讲 圆锥曲线中的定点、定值问题(含解析),共33页。PPT课件主要包含了考点一定点问题,考点二定值问题,考点三定线问题等内容,欢迎下载使用。
      目 录 索 引

      相关课件

      2026届高三数学二轮复习课件:专题5 解析几何 第4讲 圆锥曲线中的定点、定值问题(含解析):

      这是一份2026届高三数学二轮复习课件:专题5 解析几何 第4讲 圆锥曲线中的定点、定值问题(含解析),共33页。PPT课件主要包含了考点一定点问题,考点二定值问题,考点三定线问题等内容,欢迎下载使用。

      2026届高三数学二轮复习课件专题5 解析几何 第4讲 圆锥曲线中的定点、定值问题:

      这是一份2026届高三数学二轮复习课件专题5 解析几何 第4讲 圆锥曲线中的定点、定值问题,共33页。

      2026届高三数学二轮复习课件:专题5 解析几何 第2讲 圆锥曲线的定义、方程与性质(含解析):

      这是一份2026届高三数学二轮复习课件:专题5 解析几何 第2讲 圆锥曲线的定义、方程与性质(含解析),共62页。PPT课件主要包含了理知识,链高考,ACD,BCD等内容,欢迎下载使用。

      资料下载及使用帮助
      版权申诉
      • 1.电子资料成功下载后不支持退换,如发现资料有内容错误问题请联系客服,如若属实,我们会补偿您的损失
      • 2.压缩包下载后请先用软件解压,再使用对应软件打开;软件版本较低时请及时更新
      • 3.资料下载成功后可在60天以内免费重复下载
      版权申诉
      若您为此资料的原创作者,认为该资料内容侵犯了您的知识产权,请扫码添加我们的相关工作人员,我们尽可能的保护您的合法权益。
      入驻教习网,可获得资源免费推广曝光,还可获得多重现金奖励,申请 精品资源制作, 工作室入驻。
      版权申诉二维码
      高考专区
      • 精品推荐
      • 所属专辑122份
      欢迎来到教习网
      • 900万优选资源,让备课更轻松
      • 600万优选试题,支持自由组卷
      • 高质量可编辑,日均更新2000+
      • 百万教师选择,专业更值得信赖
      微信扫码注册
      手机号注册
      手机号码

      手机号格式错误

      手机验证码 获取验证码 获取验证码

      手机验证码已经成功发送,5分钟内有效

      设置密码

      6-20个字符,数字、字母或符号

      注册即视为同意教习网「注册协议」「隐私条款」
      QQ注册
      手机号注册
      微信注册

      注册成功

      返回
      顶部
      学业水平 高考一轮 高考二轮 高考真题 精选专题 初中月考 教师福利
      添加客服微信 获取1对1服务
      微信扫描添加客服
      Baidu
      map