







所属成套资源:2026届高三数学二轮复习课件全套(专题+详细解析)
2026届高三数学二轮复习课件:专题突破 专题四 第一讲 计数原理与概率(含解析)
展开 这是一份2026届高三数学二轮复习课件:专题突破 专题四 第一讲 计数原理与概率(含解析),共86页。PPT课件主要包含了探究真题明确方向,考点二二项式定理,专题强化练,考点三概率,思维创新等内容,欢迎下载使用。
1.(2022·新高考全国Ⅱ卷,T5)甲、乙、丙、丁、戊5名同学站成一排参加文艺汇演,若甲不站在两端,丙和丁相邻,则不同的排列方式共有A.12种B.24种C.36种D.48种
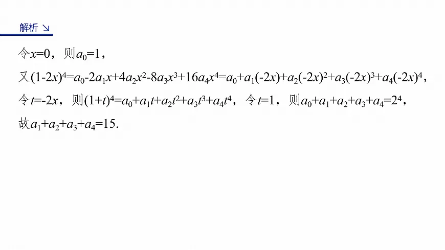
4.(2025·北京,T12)已知(1-2x)4=a0-2a1x+4a2x2-8a3x3+16a4x4,则a0= ;a1+a2+a3+a4= .
5.(2024·新课标Ⅰ卷,T14)甲、乙两人各有四张卡片,每张卡片上标有一个数字,甲的卡片上分别标有数字1,3,5,7,乙的卡片上分别标有数字2,4,6,8,两人进行四轮比赛,在每轮比赛中,两人各自从自己持有的卡片中随机选一张,并比较所选卡片上数字的大小,数字大的人得1分,数字小的人得0分,然后各自弃置此轮所选的卡片(弃置的卡片在此后的轮次中不能使用).则四轮比赛后,甲的总得分不小于2的概率为 .
命题热度:本讲是历年高考命题必考的内容,属于中低档题目,三种题型都有所考查,分值约为5~10分.
考查方向:一是考查排列、组合的应用;二是考查求二项或三项展开式中指定项的系数或已知展开式中项的系数求参数;三是考查古典概型、条件概率及全概率.
考点一 排列与组合问题
(1)(多选)小许购买了一套五行文昌塔摆件(如图),准备一字排开摆放在桌面上,下列结论正确的有 A.不同的摆放方法共有120种B.若要求“水塔”和“土塔”不相邻, 则不同的摆放方法共有36种C.若要求“水塔”和“土塔”不相邻,则不同的摆放方法共有72种D.若要求“水塔”和“土塔”相邻,且“水塔”不摆两端,则不同的摆 放方法共有36种
(2)(2024·新课标Ⅱ卷)在如图的4×4方格表中选4个方格,要求每行和每列均恰有一个方格被选中,则共有 种选法,在所有符合上述要求的选法中,选中方格中的4个数之和的最大值是 .
排列、组合问题的求解方法与技巧(1)合理分类与准确分步;(2)排列、组合混合问题要先选后排;(3)特殊元素优先安排;(4)相邻问题捆绑处理;(5)不相邻问题插空处理;(6)定序问题除法处理;(7)“小集团”排列问题先整体后局部;(8)正难则反,等价转化.
跟踪演练1 (1)(2025·湖北高中协作体联考)从0,1,2,3,4,5这六个数字中,任取两个不同的数字相加,其和为偶数的不同取法的种数为A.30B.20C.10D.6
(2)(2025·皖豫联盟联考)如图(1),由两个半径相等的圆柱体呈直角相交而得到的公共部分对应的几何体称为“牟合方盖”(如图(2)),牟合方盖的表面可以看成四个曲面拼接成的.将一个牟合方盖的四个曲面编号为1,2,3,4,然后每个曲面涂一种颜色,相邻(有公共边)的两面颜色不能相同,如果只有4种颜色的染料可供使用,则不同的涂色方法种数为A.24B.48C.60D.84
(1)(2025·江西八校联考)在(x2+x+y)6的展开式中,x7y的系数为A.3B.6C.60D.30
(2)(多选)(2025·上饶模拟)若(x+2)(x-1)8=a0+a1(x+1)+a2(x+1)2+a3(x+1)3+…+a9(x+1)9,则下列结论正确的是A.a1+a2+a3+…+a9=2B.a7=96C.a0+2a1+22a2+23a3+…+29a9=4D.a1+2a2+3a3+…+9a9=-15
求概率的方法与技巧(1)古典概型用古典概型概率公式求解.(2)条件概率用条件概率公式及全概率公式求解.(3)根据事件间关系,利用概率的加法、乘法公式及对应事件的概率公式求解.
(2)(2025·九江模拟)如图,有一个触屏感应灯,该灯共有9个灯区,每个灯区都处于“点亮”或“熄灭”状态,触按其中一个灯区,将导致该灯区及相邻(上、下或左、右相邻)的灯区改变状态.假设起初所有灯区均处于“点亮”状态,若从中随机先后按下两个不同灯区,则B,G灯区最终仍处于“点亮”状态的概率为 .
一、单项选择题1.(2025·赤峰模拟)在(x+1)n的展开式中,x2的系数为15,则n的值为A.6B.5C.4D.3
3.已知某六名同学在竞赛中获得前六名(无并列情况),其中甲或乙是第一名,丙不是前三名,则这六名同学获得的名次情况可能有A.72种B.96种C.144种D.288种
4.(2025·萍乡模拟)将六个连续的整数随机排成一行,则从左到右先递增再递减的排列方式有A.720种B.120种C.32种D.30种
6.(2025·华大新高考联盟模拟)进位制是人们为了计数和运算方便而约定的记数系统,约定满十进一就是十进制,满八进一就是八进制,即“满几进一”就是几进制,不同进制的数可以相互转换,如十进制下,159=2×82+3×8+7,用八进制表示159这个数就是237.现用八进制表示十进制的719,则这个八进制数的最后一位为A.3B.4C.5D.7
10.某电影院的一个播放厅的座位如图所示(标黑表示该座位的票已被购买),甲、乙两人打算购买两张该播放厅的票,且甲、乙不坐前两排,则 A.若甲、乙左右相邻,则购票的情况共有54种B.若甲、乙不在同一列,则购票的情况共有1 154种C.若甲、乙前后相邻,则购票的情况共有21种D.若甲、乙分坐于银幕中心线的两侧,且不坐同一 排,则购票的情况共有508种
三、填空题12.(2025·天津)在(x-1)6的展开式中,x3项的系数为 .
13.(2025·商洛模拟)设计一个五位的信息密码,每位数字均在0~9中选取,则含有数字1,6,8,且1,6,8都只出现一次的信息密码有 个.
14.(2025·沈阳模拟)2025年春晚,一场别开生面的机器人舞蹈表演震撼了观众.现在编排一个动作,机器人从原点O出发,每一次等可能地向左或向右或向上或向下移动一个单位长度,共移动3次.则该机器人在有且仅有一次经过(含到达)点M(-1,0)的条件下,水平方向移动2次的概率为 .
15.(2025·浙江北斗星盟模拟)某商场在有奖销售的抽奖环节时,采用AI技术生成奖券码:在每次抽奖时,顾客连续点击按键5次,每次点击随机生成数字0或1或2,点击结束后,生成的5个数字之和即为奖券码.并规定:如果奖券码为0,则获一等奖;如果奖券码为3的正整数倍,则获二等奖,其他情况不获奖.已知顾客甲参加了一次抽奖,则他获二等奖的概率为 .
A.十进制数2 025用二进制表示为(1 111 101 001)2B.满足a0,a1,a2,…,a6中有且只有3个1的所有二进制数(a0a1a2…a6)2 对应的十进制数的和为1 275C.将十进制数n对应的二进制数中1的个数记为S(n),则S(2n+1)=S(16n+4)D.将十进制数n对应的二进制数中0的个数记为T(n),令f(n)=2T(n), 则f(22 025)+f(22 025+1)+f(22 025+2) +…+f(22 026-1)=32 025
相关课件
这是一份2026届高三数学二轮复习课件:专题突破 专题四 第一讲 计数原理与概率(含解析),共86页。PPT课件主要包含了探究真题明确方向,考点二二项式定理,专题强化练,考点三概率,思维创新等内容,欢迎下载使用。
这是一份2026届高三数学二轮复习课件:专题4 统计与概率 第1讲 计数原理、概率(含解析),共55页。PPT课件主要包含了考点二二项式定理,考点四概率,理知识,链高考,ABD,ACD,BCD等内容,欢迎下载使用。
这是一份2026届高三数学二轮复习课件专题4 统计与概率 第1讲 计数原理、概率,共55页。
相关课件 更多
- 1.电子资料成功下载后不支持退换,如发现资料有内容错误问题请联系客服,如若属实,我们会补偿您的损失
- 2.压缩包下载后请先用软件解压,再使用对应软件打开;软件版本较低时请及时更新
- 3.资料下载成功后可在60天以内免费重复下载
免费领取教师福利 








