搜索
      上传资料 赚现金

      2026届高三数学二轮复习课件:专题5 解析几何 第2讲 圆锥曲线的定义、方程与性质(含解析)

      • 4.14 MB
      • 2026-02-23 22:42:26
      • 9
      • 1
      加入资料篮
      立即下载
      17953374第1页
      高清全屏预览
      1/62
      17953374第2页
      高清全屏预览
      2/62
      17953374第3页
      高清全屏预览
      3/62
      17953374第4页
      高清全屏预览
      4/62
      17953374第5页
      高清全屏预览
      5/62
      17953374第6页
      高清全屏预览
      6/62
      17953374第7页
      高清全屏预览
      7/62
      17953374第8页
      高清全屏预览
      8/62
      还剩54页未读, 继续阅读

      2026届高三数学二轮复习课件:专题5 解析几何 第2讲 圆锥曲线的定义、方程与性质(含解析)

      展开

      这是一份2026届高三数学二轮复习课件:专题5 解析几何 第2讲 圆锥曲线的定义、方程与性质(含解析),共62页。PPT课件主要包含了理知识,链高考,ACD,BCD等内容,欢迎下载使用。
      考点一 圆锥曲线的定义与标准方程
      考点二 椭圆、双曲线的几何性质(多考向探究预测)
      目 录 索 引
      考点三 抛物线的几何性质
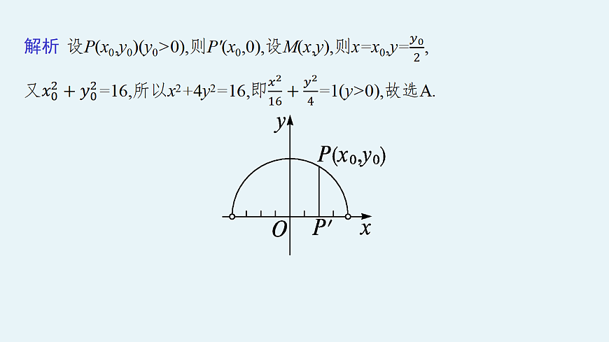
      1.圆锥曲线的定义(1)椭圆:|PF1|+|PF2|=2a(2a>|F1F2|).(2)双曲线:||PF1|-|PF2||=2a(0|OA|2D.|BP|·|BQ|>|BA|2

      相关课件

      2026届高三数学二轮复习课件:专题5 解析几何 第2讲 圆锥曲线的定义、方程与性质(含解析):

      这是一份2026届高三数学二轮复习课件:专题5 解析几何 第2讲 圆锥曲线的定义、方程与性质(含解析),共62页。PPT课件主要包含了理知识,链高考,ACD,BCD等内容,欢迎下载使用。

      2026届高三数学二轮复习课件专题5 解析几何 第2讲 圆锥曲线的定义、方程与性质:

      这是一份2026届高三数学二轮复习课件专题5 解析几何 第2讲 圆锥曲线的定义、方程与性质,共62页。

      2022届高三数学二轮复习课件:专题六 第2讲 圆锥曲线的定义、方程与性质:

      这是一份2022届高三数学二轮复习课件:专题六 第2讲 圆锥曲线的定义、方程与性质,共60页。PPT课件主要包含了内容索引,必备知识•精要梳理,关键能力•学案突破,答案B,答案A,对点练1,答案D,对点练2,答案C,对点练3等内容,欢迎下载使用。

      资料下载及使用帮助
      版权申诉
      • 1.电子资料成功下载后不支持退换,如发现资料有内容错误问题请联系客服,如若属实,我们会补偿您的损失
      • 2.压缩包下载后请先用软件解压,再使用对应软件打开;软件版本较低时请及时更新
      • 3.资料下载成功后可在60天以内免费重复下载
      版权申诉
      若您为此资料的原创作者,认为该资料内容侵犯了您的知识产权,请扫码添加我们的相关工作人员,我们尽可能的保护您的合法权益。
      入驻教习网,可获得资源免费推广曝光,还可获得多重现金奖励,申请 精品资源制作, 工作室入驻。
      版权申诉二维码
      高考专区
      • 精品推荐
      • 所属专辑122份
      欢迎来到教习网
      • 900万优选资源,让备课更轻松
      • 600万优选试题,支持自由组卷
      • 高质量可编辑,日均更新2000+
      • 百万教师选择,专业更值得信赖
      微信扫码注册
      手机号注册
      手机号码

      手机号格式错误

      手机验证码 获取验证码 获取验证码

      手机验证码已经成功发送,5分钟内有效

      设置密码

      6-20个字符,数字、字母或符号

      注册即视为同意教习网「注册协议」「隐私条款」
      QQ注册
      手机号注册
      微信注册

      注册成功

      返回
      顶部
      学业水平 高考一轮 高考二轮 高考真题 精选专题 初中月考 教师福利
      添加客服微信 获取1对1服务
      微信扫描添加客服
      Baidu
      map