




四川省绵阳市安州中学2026届高三上学期10月月考数学试题(Word版附解析)
展开 这是一份四川省绵阳市安州中学2026届高三上学期10月月考数学试题(Word版附解析),文件包含四川省绵阳市安州中学2026届高三上学期10月月考数学试卷原卷版docx、四川省绵阳市安州中学2026届高三上学期10月月考数学试卷Word版含解析docx等2份试卷配套教学资源,其中试卷共29页, 欢迎下载使用。
命题人:高 2023 级数学教研组 审题人:李太泉
请各位考生认真阅读答题卡上的注意事项,不按要求填涂答题卡造成的成绩处理出错等后果一
律由考生自负.
一、单选题:本题共 8 小题,每小题 5 分,共 40 分.在每小题给出的选项中,只有一项是符合
题目要求的.
1. (1–i)4=( )
A –4 B. 4
C. –4i D. 4i
2. 设集合 则 ( )
A. B.
C. D.
3. 甲、乙两人解关于 x 的不等式 ,甲写错了常数 b,得到的解集为 ;乙写错了
常数 c,得到的解集为 .那么原不等式的解集为( )
A B. C. D.
4 已知向量 满足 ,则 ( )
A. B. C. 0 D. 1
5. 已知 ,若 不能构成空间的一个基底,则 (
)
A. 3 B. 1 C. 5 D. 7
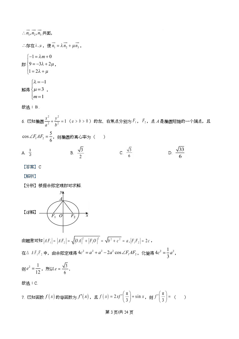
6. 已知椭圆 ( )的左、右焦点分别为 , ,点 是椭圆短轴的一个端点,且
,则椭圆的离心率为( )
A. B. C. D.
第 1页/共 5页
7. 已知函数 的导函数为 ,且 ,则 ( )
A. B. C. D.
8. 数列 中, ,且 ( ),则数列 前 2021 项和为(
)
A. B. C. D.
二、多选题:本题共 3 小题,共 18 分.在每小题给出的选项中,有多项符合题目要求.全选对得
6 分,选对但不全得部分分,有选错得 0 分.
9. 在 4 张奖券中,一、二、三、四等奖各 1 张,将这 4 张奖券分给甲、乙、丙、丁四个人,每人至多 2 张,
则下列结论正确的是( )
A. 若甲、乙、丙、丁均获奖,则共有 24 种不同的获奖情况
B. 若甲获得了一等奖和二等奖,则共有 6 种不同的获奖情况
C. 若仅有两人获奖,则共有 36 种不同的获奖情况
D. 若仅有三人获奖,则共有 144 种不同的获奖情况
10. 已知函数 在区间 上单调,且满足 有
下列结论正确的有( )
A.
B. 若 ,则函数 最小正周期为 ;
C. 关于 x 的方程 在区间 上最多有 4 个不相等的实数解
D. 若函数 在区间 上恰有 5 个零点,则 的取值范围为
11. 如图,在棱长为 的正方体 中, , , , 分别是 , , , 的
中点,则下列说法正确的有( )
第 2页/共 5页
A , , , 四点共面
B. 与 所成角的大小为
C. 在线段 上存在点 ,使得 平面
D. 在线段 上任取一点 ,三棱锥 的体积为定值
三、填空题:本题共 3 小题,每小题 5 分,共 15 分.
12. 圆 与圆 的公共弦长为______.
13. 记数列 的前 n 项和为 ,若 ,且 ,则 ___________.
14. 意大利画家列奥纳多 达 芬奇 的画作 抱银貂的女人 中,女士脖颈上悬挂的黑色
珍珠项链与主人相互映衬呈现出不一样的美与光泽,达 芬奇提出:固定项链的两端,使其在重力的作用下
自然下垂,项链所形成的曲线是什么 这就是著名的“悬链线问题”,后人给出了悬链线的函数解析式:
,其中 a 为悬链线系数, 称为双曲余弦函数,其函数表达式为 ,
相应地双曲正弦函数的函数表达式为 若直线 与双曲余弦函数 与双曲正
弦函数 分别相交于点 ,曲线 在点 A 处的切线 ,曲线 在点 B 处的切线 相交于点 P,且
为钝角三角形,则实数 m 的取值范围为__________.
第 3页/共 5页
四、解答题:本题共 5 小题,共 77 分.解答应写出文字说明,证明过程或演算步骤.
15. 记 为数列 的前 n 项和, 为数列 的前 n 项积,已知 .
(1)证明:数列 是等差数列;
(2)求 的通项公式.
16. 如图,在四棱锥 中, 是正三角形,四边形 是菱形, ,
,点 是 的中点.
(1)求证: 平面 ;
(2)若平面 平面 ,求点 到平面 的距离.
17. 在中国诗词大会的比赛中,选手需要回答两组题展示自己的诗词储备.
(1)第一组题是情境共答题,参与比赛者需根据情境填写诗句.小王知道该诗句的概率是 ,且小王在不知
道该诗句的情况下,答对的概率是 .记事件 A 为“小王答对第一组题”,事件 B 为“小王知道该诗句”.
(ⅰ)求小王答对第一组题的概率 ;
(ⅱ)在小王答对第一组题的情况下,求他知道该诗句的概率 .
(2)小王答对第一组题后开始答第二组题.第二组题为画中有诗,该环节共有三道题,每一题答题相互独立,
但难度逐级上升,小王知道第 n 题的诗句的概率仍为 ,但是在不知道该诗句的情况下,答对的概率为
,已知每一题答对的得分表如下(答错得分为 0):
题号 第 1 题 第 2 题 第 3 题
得分 2 分 4 分 6 分
若获得 8 分及以上则挑战成功,求小王挑战成功的概率.
第 4页/共 5页
18. 如图,设抛物线 的焦点为 ,过点 的直线与 交于 两点,且
.记 的面积分别为 .
(1)求抛物线 的方程;
(2)求 的最小值;
(3)设点 ,直线 与抛物线 的另一交点为 ,求证:直线 过定点.
19. 已知函数 .(e 为自然对数的底数)
(1)当 时,证明 存在唯一的极小值点 ,且 ;
(2)若函数 存在两个零点,记较小的零点为 ,s 是关于 x 的方程 的根,
证明: .
第 5页/共 5页
相关试卷 更多
- 1.电子资料成功下载后不支持退换,如发现资料有内容错误问题请联系客服,如若属实,我们会补偿您的损失
- 2.压缩包下载后请先用软件解压,再使用对应软件打开;软件版本较低时请及时更新
- 3.资料下载成功后可在60天以内免费重复下载
免费领取教师福利 
.png)




