所属成套资源:【2024人教版】八年级数学上册-同步教学课件
人教版(2024)八年级上册(2024)18.1.2 分式的基本性质评课课件ppt
展开
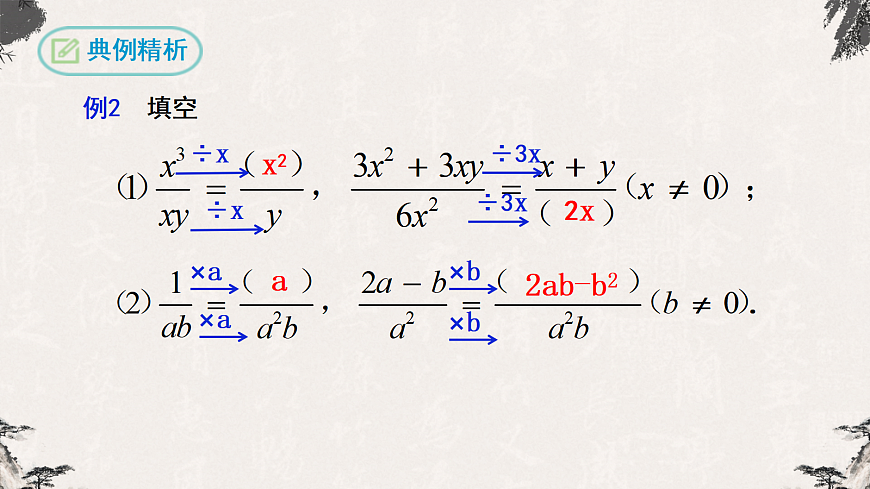
这是一份人教版(2024)八年级上册(2024)18.1.2 分式的基本性质评课课件ppt,共31页。PPT课件主要包含了解相等,例2填空,ab-b2,÷3x,3“不为0”,例3约分,分母相同,例4通分,找分子与分母的公因式,分数或分式的基本性质等内容,欢迎下载使用。
1.理解分式的基本性质.2.能运用分式的基本性质进行简单变形.3.理解约分的概念和理论根据,会用分式的基本性质将分式约分.4.理解通分的概念和理论根据,会用分式的基本性质将分式通分.
问1 把4个苹果平均分给8个同学,每个同学得到几个苹果?
问2 那么 与 相等吗?
这些分数相等的依据是什么?
分数的基本性质:分数的分子与分母同时乘以(或除以)一个不等于0的数,分数的值不变.
思考:下列两式成立吗?为什么?
成立,根据分数的基本性质,分数的分子与分母同时乘以(或除以)一个不等于0的数,分数的值不变.
一般地,对于任意一个分数 ,有其中a,b,c是数.
思考:分式 与 , 与 相等吗?(a,m,n均不为0)
思考:类比分数的基本性质,你能猜想分式有什么性质吗?
分式的基本性质: 分式的分子与分母乘(或除以)同一个不等于0的整式,分式的值不变.
上述性质可以用式表示为:
其中A,B,C是整式.
想一想: 运用分式的基本性质应注意什么?
(1)“都”,分子,分母都要同乘(或除以);
(2)“同”,同一个整式;
思考:联想分数的约分,由例2你能想出如何对分式进行约分吗?
像这样,根据分式的基本性质,把一个分式的分子与分母的公因式约去,叫做分式的约分.
分式的约分,一般要约去分子和分母所有的公因式,使所得的结果成为最简分式或整式.
找公因式步骤:(1)找数字的最大公约数;(2)找相同的字母(或整体);(3)找相同字母(或整体)的最小指数.
约分的关键是找准分子分母的公因式
思考:联想分数的通分,由例2你能想出如何对分式进行约分吗?
根据分式的基本性质,把几个异分母的分式分别化成与原来分式相等的同分母的分式,叫做分式的通分.
注意:通分不能改变分式的值.
分析:为通分,要先确定各分式的公分母,一般取各分母的所有因式的最高次幂的积作公分母,它叫做最简公分母.
解:(1)最简公分母是2a2b2c
解:(2)最简公分母是(x+5)(x-5)
注意:通分的关键是确定最简公母.
确定最简公分母的方法:(1)因式分解;(2)系数:各分式分母系数的最小公倍数;(3)字母:各分母的所有字母的最高次幂;(4)多项式:各分母所有多项式因式的最高次幂;(5)积.
找分子与分母的最大公约数
找所有分母的最小公倍数
找所有分母的最简公分母
想一想:分数和分式在约分和通分的做法上有什么共同点?这些做法的根据是什么?
1.填空,使等式成立.⑴ ⑵ (其中 x+y ≠0 )
2.下列各式成立的是( )
2.对于分式 的变形一定成立的是( )
A. B.
C. D.
4.下列各式中是最简分式的( )
3.下列各式成立的是( )
5.下列各式中是最简分式的( )
1.下列约分正确的个数有 ( )
A、1个 B、2个 C、3个 D、0个
2.约分:(1) (2) (3)
解:最简公分母是12a2b3
分式的基本性质: 分式的分子与分母乘(或除以)同一个不等于0的整式,分式的值不变.
像这样,根据分式的基本性质,把一个分式的分子与分母的公因式约去,叫做分式的约分.
根据分式的基本性质,把几个异分母的分式分别化成与原来分式相等的同分母的分式,叫做分式的通分.
2.通分:(1) (2)
相关课件
这是一份初中数学人教版(2024)八年级上册(2024)18.1.2 分式的基本性质教案配套ppt课件,共15页。PPT课件主要包含了分数的基本性质,问题1,观察这几个分数,问题2,下面的变形成立吗,问题3,问题4,例2填空,ab–b2等内容,欢迎下载使用。
这是一份人教版(2024)八年级上册(2024)18.1.2 分式的基本性质说课课件ppt,共36页。PPT课件主要包含了学习目标,复习导入,合作探究,典例精析,例2填空,新知小结,针对练习,随堂检测,基本性质,分式的基本性质等内容,欢迎下载使用。
这是一份初中数学18.1.2 分式的基本性质教课内容课件ppt,共16页。PPT课件主要包含了学习目标,情境引入,新知探究,解相等,例3填空,ab-b2,÷3x,典例精析,ma+mb,x-y等内容,欢迎下载使用。
相关课件 更多
- 1.电子资料成功下载后不支持退换,如发现资料有内容错误问题请联系客服,如若属实,我们会补偿您的损失
- 2.压缩包下载后请先用软件解压,再使用对应软件打开;软件版本较低时请及时更新
- 3.资料下载成功后可在60天以内免费重复下载
免费领取教师福利

