所属成套资源:浙教版数学七年级上册(2024)PPT课件整册+期末模拟卷(含解析)
初中数学浙教版(2024)七年级上册(2024)平方根优质课复习课件ppt
展开
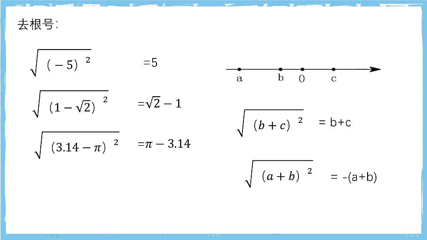
这是一份初中数学浙教版(2024)七年级上册(2024)平方根优质课复习课件ppt,共21页。PPT课件主要包含了温故知新,线段AB的长,ABa-b,ABa-b0,三个非负数,非负性,去绝对值,去根号,-a+b,b+c等内容,欢迎下载使用。
算术平方根的几何意义:
| a | :正数或 0(非负数),
| a | 的几何意义:
表示数a的点与原点的距离。
| a | 的几何意义:
| a | ≥ 0.
|a-b|的几何意义:
(1) 点A、点B 重合时,
(2) 点A、点B 不重合时,
|a-b|的几何意义:
边长为a 的正方形的面积
(1)非负数有最小值零;(2)有限个非负数之和仍是非负数;(3)几个非负数之和等于0,则每个非负数都等于0.
想一想:你发现了什么规律?
解:原式=-a-(b-a)+(c-a)-(c-b)
=-a-b+a+c-a-c+b=-a
解:原式=-(a+b-c)+(-b+2c)+(b-a)
=-a-b+c-b+2c+b-a=-2a-b+3c
.
相关课件
这是一份初中数学浙教版(2024)七年级上册(2024)平方根公开课复习ppt课件,共21页。PPT课件主要包含了开的尽,立方数,不要搞错了,π-3等内容,欢迎下载使用。
这是一份浙教版(2024)七年级上册(2024)平方根优秀复习ppt课件,共29页。PPT课件主要包含了无理数,的算术平方根,温故知新,的立方根,∵x0,“夹”,“逼”,逐级逼近,夯实基础稳扎稳打,连续递推豁然开朗等内容,欢迎下载使用。
这是一份浙教版(2024)七年级上册(2024)实数的运算优质课课件ppt,共23页。PPT课件主要包含了实数的运算律,判断题等内容,欢迎下载使用。
相关课件 更多
- 1.电子资料成功下载后不支持退换,如发现资料有内容错误问题请联系客服,如若属实,我们会补偿您的损失
- 2.压缩包下载后请先用软件解压,再使用对应软件打开;软件版本较低时请及时更新
- 3.资料下载成功后可在60天以内免费重复下载
免费领取教师福利

