搜索
      上传资料 赚现金

      江苏省常州市联盟学校2024-2025学年高二上学期期中学情调研数学试卷(解析版)

      • 839.5 KB
      • 2025-07-29 13:45:00
      • 36
      • 0
      •  
      加入资料篮
      立即下载
      江苏省常州市联盟学校2024-2025学年高二上学期期中学情调研数学试卷(解析版)第1页
      1/12
      江苏省常州市联盟学校2024-2025学年高二上学期期中学情调研数学试卷(解析版)第2页
      2/12
      江苏省常州市联盟学校2024-2025学年高二上学期期中学情调研数学试卷(解析版)第3页
      3/12
      还剩9页未读, 继续阅读

      江苏省常州市联盟学校2024-2025学年高二上学期期中学情调研数学试卷(解析版)

      展开

      这是一份江苏省常州市联盟学校2024-2025学年高二上学期期中学情调研数学试卷(解析版),共12页。试卷主要包含了选择题,填空题,解答题等内容,欢迎下载使用。
      一、选择题:本题共8小题,每小题5分,共40分.在每小题给出的四个选项中,只有一项是符合题目要求的.
      1. 直线的倾斜角为( )
      A. B. C. D.
      【答案】C
      【解析】由已知直线方程为,
      则直线与垂直,即直线的倾斜角为,
      故选:C.
      2. 圆的面积为( )
      A. B. C. D.
      【答案】B
      【解析】圆的标准方程为,该圆的半径为,
      因此,该圆的面积为.
      故选:B.
      3. 直线关于轴的对称直线的方程为( )
      A. B.
      C. D.
      【答案】A
      【解析】设所求直线上任意一点的坐标为,则其关于x轴的对称点坐标为.
      已知直线,对称点在该直线上,所以将换为可得,即.
      故选:A.
      4. 若曲线是双曲线,则实数的取值范围为( )
      A. B.
      C. D. 或
      【答案】D
      【解析】曲线是双曲线,则异号.则,解得.
      故选:D.
      5. 已知抛物线的焦点为,上一点到轴的距离为6,且,则( )
      A. 4B. 8C. 16D. 12
      【答案】A
      【解析】由题设及抛物线的定义,有.
      故选:A
      6. 比较下列椭圆的形状,最接近于圆的是( )
      A. B.
      C. D.
      【答案】C
      【解析】A:,则,
      B:,则,
      C:,则,
      D:,则,
      由离心率越小,越趋向于圆,则,即最接近于圆.
      故选:C
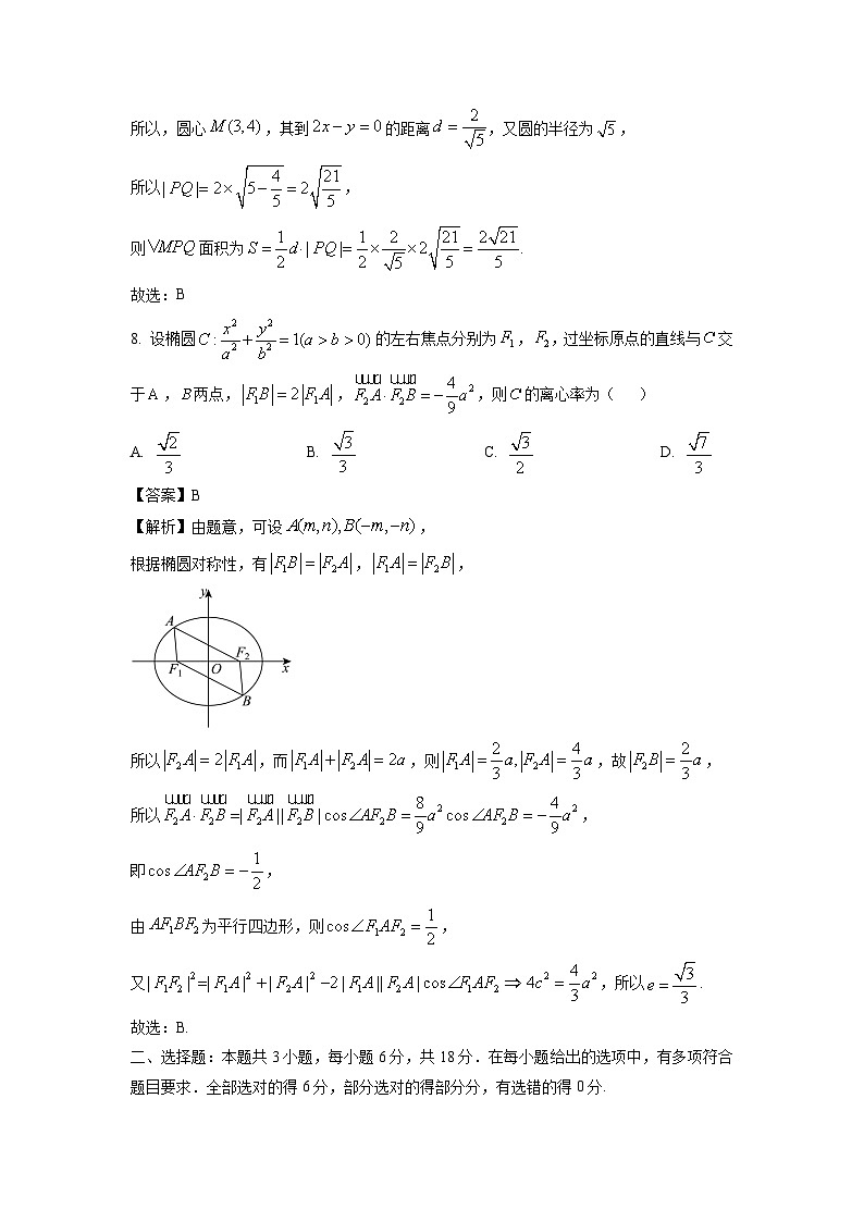
      7. 直线与圆交于,两点,则面积为( )
      A. B. C. D.
      【答案】B
      【解析】由,可化为,
      所以,圆心,其到的距离,又圆的半径为,
      所以,
      则面积为.
      故选:B
      8. 设椭圆的左右焦点分别为,,过坐标原点的直线与交于,两点,,,则的离心率为( )
      A. B. C. D.
      【答案】B
      【解析】由题意,可设,
      根据椭圆对称性,有,,
      所以,而,则,故,
      所以,
      即,
      由为平行四边形,则,
      又,所以.
      故选:B.
      二、选择题:本题共3小题,每小题6分,共18分.在每小题给出的选项中,有多项符合题目要求.全部选对的得6分,部分选对的得部分分,有选错的得0分.
      9. 已知三条直线,,,则下列结论正确的有( )
      A. 经过定点B. ,的交点坐标为
      C. 若,则D. 若,则
      【答案】AD
      【解析】A选项:,即,
      令,解得,即直线过点,A选项正确;
      B选项:联立直线方程,解得,即直线,的交点坐标为,B选项错误;
      C选项:由,可得,解得,C选项错误;
      D选项:时,直线,满足,即,D选项正确;
      故选:AD.
      10. 已知双曲线的左右焦点分别为,,点是上一点,经过点作斜率为的直线与交于,两点,则下列结论正确的有( )
      A. 左焦点到渐近线距离为B. 若,则或1
      C. 若,则,两点位于的两支D. 点不可能是线段的中点
      【答案】ACD
      【解析】对于选项A,由双曲线,得渐近线方程为,
      即.
      左焦点,左焦点到渐近线距离,所以选项A正确.
      对于选项B,根据双曲线定义,
      又,则,
      当时,;
      当时,.
      但是,所以舍去,,选项B错误.
      对于选项C,当时,直线的方程为.
      联立,消去得,
      展开并整理得,即.

      所以方程有两个不同的实根,设两根为,,,即两根异号,
      所以直线与双曲线相交于两支上,选项C正确.
      对于选项D,由,得到.
      展开.
      整理得
      ,.
      设,,若是中点,则,
      则,
      所以,代入,矛盾.
      所以点不可能是线段的中点,选项D正确.
      故选:ACD.
      11. 已知曲线,点在曲线上,则下列结论正确的有( )
      A. 曲线有4条对称轴B. 曲线围成的图形面积为
      C. 的最大值为D. 的最小值为
      【答案】BCD
      【解析】当时,,
      当时,,
      当时,,
      当时,,
      且曲线过原点,曲线围成的图形是四个全等的弓形组成,
      令,有,又各圆半径为,则每个弓形圆弧是圆弧,
      所以曲线的图形如下图示,

      由图知,显然对称轴只有轴,A错;
      曲线围成的图形是四个全等的弓形组成,面积为,B对;
      由上分析,易知的最大值为,C对;
      由表示曲线上点与点所成直线斜率,结合图知,
      当过的直线与圆右上方相切时斜率最小,
      令直线为且,联立圆得,
      所以,
      则,整理得,
      所以,可得(正值舍),D对.
      故选:BCD
      三、填空题:本题共3小题,每小题5分,共15分.
      12. 两条平行直线与间的距离为________.
      【答案】
      【解析】由题设,即为,
      所以两直线距离.
      13. 两圆和的公切线有______条.
      【答案】3
      【解析】由题可知圆的圆心为,半径,圆的圆心为,半径,
      则圆心距,
      所以两圆外切,则公切线有3条.
      14. 已知椭圆左右焦点分别为,,上的一点满足,且的面积为,则的值为__________,的取值范围为________.
      【答案】 4 .
      【解析】由,(),
      所以,
      又,则,
      所以,结合,
      所以,
      由题设,则,故,
      由上分析知,
      而,
      当且仅当时取等号,所以,则,
      当且仅当时取等号,则,
      综上,.
      四、解答题:本题共5小题,共77分.解答应写出文字说明、证明过程或演算步骤.
      15. 已知△的三个顶点为,,.
      (1)求证:△为直角三角形;
      (2)求边上的中线长及中线所在的直线方程.
      (1)证明:由已知条件得,
      ,,
      则,
      所以△为直角三角形;
      (2)解:设的中点坐标为,则边上的中线,
      由中点坐标公式可得,,即的坐标为,
      直线的斜率为,
      所以边上的中线所在直线方程为,即.
      16. 已知圆,点,.
      (1)求过点且与圆相切的直线方程;
      (2)点是圆上的动点,求的最值.
      解:(1)当过点且与圆相切的直线斜率不存在时,该直线方程为,
      当过点且与圆相切的直线斜率存在时,
      设其斜率为,则该直线方程为,
      因为该直线与圆相切,则圆心到直线的距离,
      即,解得,即;
      (2)设点,为参数,且,


      因为,所以,
      所以最大值为,最小值为.
      17. 已知双曲线经过点,且左焦点为.
      (1)求的标准方程;
      (2)过的右焦点作斜率为的弦,求的周长.
      解:(1)由题设且,可得,故;
      (2)由(1)知,则直线,
      联立双曲线,得,整理,可得或,
      不妨令,则,
      而,故,,
      所以.
      18. 已知四边形的顶点、、在椭圆上,是坐标原点.
      (1)当点是的右顶点,且四边形为菱形时,求菱形的面积;
      (2)当点不是的顶点时,判断四边形是否可能为菱形,并说明理由.
      解:(1)对于椭圆,,,则,
      当点是的右顶点,则,
      因为四边形为菱形,所以与相互垂直且平分.
      所以可设,代入椭圆方程得,即.
      所以菱形的面积是.
      (2)四边形不可能为菱形.理由如下:
      假设四边形为菱形.
      因为点不是顶点,且直线不过原点,则直线的斜率存在且不为零,
      所以可设的方程为,
      设点、,
      联立,可得,

      由韦达定理可得,,
      所以,,
      因为四边形为菱形,
      则,
      即点,所以,,
      因为,则与不垂直,故四边形不可能是菱形.
      19. 已知抛物线的焦点为,经过点的直线交抛物线于,两点.
      (1)求线段的中点的轨迹方程;
      (2)经过点的另一条直线交抛物线于,两点,连接,设经过且平行于的直线交轴于点,求证:,,在同一条直线上.
      解:(1)由题意,令,联立抛物线得,
      若,则,,
      所以,
      而线段的中点坐标为,
      所以中点的轨迹方程.
      (2)令,,同(1)可得,,
      由且,则,即,
      可设,令,则,即,
      所以,,
      若,即,
      所以
      所以,

      ,显然与矛盾,
      综上,不成立,故,即,,在同一条直线上.

      相关试卷 更多

      资料下载及使用帮助
      版权申诉
      • 1.电子资料成功下载后不支持退换,如发现资料有内容错误问题请联系客服,如若属实,我们会补偿您的损失
      • 2.压缩包下载后请先用软件解压,再使用对应软件打开;软件版本较低时请及时更新
      • 3.资料下载成功后可在60天以内免费重复下载
      版权申诉
      若您为此资料的原创作者,认为该资料内容侵犯了您的知识产权,请扫码添加我们的相关工作人员,我们尽可能的保护您的合法权益。
      入驻教习网,可获得资源免费推广曝光,还可获得多重现金奖励,申请 精品资源制作, 工作室入驻。
      版权申诉二维码
      欢迎来到教习网
      • 900万优选资源,让备课更轻松
      • 600万优选试题,支持自由组卷
      • 高质量可编辑,日均更新2000+
      • 百万教师选择,专业更值得信赖
      微信扫码注册
      手机号注册
      手机号码

      手机号格式错误

      手机验证码 获取验证码 获取验证码

      手机验证码已经成功发送,5分钟内有效

      设置密码

      6-20个字符,数字、字母或符号

      注册即视为同意教习网「注册协议」「隐私条款」
      QQ注册
      手机号注册
      微信注册

      注册成功

      返回
      顶部
      学业水平 高考一轮 高考二轮 高考真题 精选专题 初中月考 教师福利
      添加客服微信 获取1对1服务
      微信扫描添加客服
      Baidu
      map