搜索
      上传资料 赚现金

      江苏省常州市联盟校2023-2024学年高二下学期4月期中调研数学试题(解析版)

      • 1.74 MB
      • 2025-05-09 09:00:10
      • 40
      • 0
      •  
      加入资料篮
      立即下载
      江苏省常州市联盟校2023-2024学年高二下学期4月期中调研数学试题(解析版)第1页
      1/15
      江苏省常州市联盟校2023-2024学年高二下学期4月期中调研数学试题(解析版)第2页
      2/15
      江苏省常州市联盟校2023-2024学年高二下学期4月期中调研数学试题(解析版)第3页
      3/15
      还剩12页未读, 继续阅读

      江苏省常州市联盟校2023-2024学年高二下学期4月期中调研数学试题(解析版)

      展开

      这是一份江苏省常州市联盟校2023-2024学年高二下学期4月期中调研数学试题(解析版),共15页。试卷主要包含了选择题,多选题,填空题,解答题等内容,欢迎下载使用。
      一、选择题:本题共8小题,每小题5分,共40分.在每小题给出的四个选项中,只有一项是符合题目要求的.
      1. 向量,若,则( )
      A. B. C. 1D. 0
      【答案】B
      【解析】若,则,解得.
      故选:B.
      2. 若某质点的运动方程是,(位移单位:m,时间单位:s),则该质点在时的瞬时速度为( )
      A. B. C. D.
      【答案】D
      【解析】,
      故质点在时的瞬时速度为,
      故选:D.
      3. 对A,B两地国企员工上班迟到情况进行统计,可知两地国企员工的上班迟到时间均符合正态分布,其中A地员工的上班迟到时间为X(单位:min),,对应的曲线为,B地员工的上班迟到时间为Y(单位:min),,对应的曲线为,则下列图象正确的是( )
      A. B.
      C. D.
      【答案】B
      【解析】由,故曲线的对称轴在曲线的左侧,排除C、D;
      由,故曲线比曲线瘦高,曲线比曲线矮胖,排除A.
      故选:B.
      4. 设随机变量的分布列为,,则的数学期望( )
      A. B. C. D.
      【答案】A
      【解析】因为随机变量的分布列为,,
      所以,解得,
      所以,,,
      所以.
      故选:A
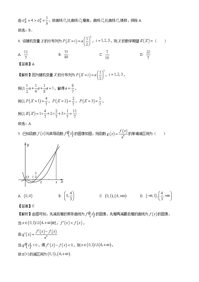
      5. 已知函数与其导函数的图像如图,则函数的单调减区间为( )
      A. B. C. D.
      【答案】C
      【解析】由图可知,先减后增的那条曲线为的图像,先增再减最后增的曲线为的图像,
      当时,,

      当,得,则,
      故的减区间为.
      故选:C.
      6. 函数在时有极小值0,则( )
      A. 4B. 6C. 11D. 4或11
      【答案】C
      【解析】,
      因为在时有极小值0,
      所以,
      解得或,
      当时,恒成立,
      所以在上单调递增,没有极值,舍去;
      当时,,
      令,解得或,
      所以当时,为单调递减函数;
      当或时,为单调递增函数;
      所以在处取得极小值,满足题意,
      所以,
      故选:C.
      7. 如图,在正三棱柱中,,P为的中点,则( )
      A. B. 1C. D.
      【答案】A
      【解析】由正三棱柱可得,,
      而,

      .
      故选:A.
      8.已知函数存在两个极值点,且,.设的零点个数为,方程的实根个数为,则的取值不可能为( )
      A. 4B. 5C. 6D. 7
      【答案】D
      【解析】由题意知,为二次函数,且为的零点,
      且,得或,
      当时,令,解得或,令,解得:,
      可知,在和内单调递增,在区间内单调递减,
      则为极大值点,为极小值点,
      若,则,
      因为,即,两者相矛盾,故,
      则有2个根,有1个根,可知,
      若,可知,,
      若,可知,,
      若,可知,,
      当时,令,解得,令,解得:或,
      可知,在内单调递增,在区间和内单调递减,
      则为极大值点,为极小值点,
      若,则,
      因为,即,两者相矛盾,故,
      若,即,可知,,,
      若,即,可知,,,
      若,即,可知,,,

      综上可知,的取值集合为,则不可能为7.
      故选:D
      二、多选题:本题共3小题,每小题6分,共18分.在每小题给出的选项中,有多项符合题目要求.全部选对的得6分,部分选对的得部分分,有选错的得0分.
      9. 下列给出的命题正确的是( )
      A. 若为空间的一组基底,则也是空间的一组基底
      B. 点为平面上的一点,为平面外的一点,且,则
      C. 若直线的方向向量为,平面的法向量,则
      D. 两个不重合的平面的法向量分别是,则
      【答案】BD
      【解析】对于A,因为,即这三个向量共面,
      故不是空间的一组基底,故A错误.
      对于B,因为共面,为平面外的一点,故,故,故B正确.
      对于C,因为,故或,故C错误.
      对于D,因,故,故,故D正确.
      故选:BD.
      10. 下列说法正确的是( )
      A 若随机变量~,则.
      B. 若随机变量的方差,则.
      C. 若,,,则事件与事件独立.
      D. 若随机变量服从正态分布,若,则.
      【答案】ACD
      【解析】随机变量,则,故A正确;
      随机变量的方差,则,故B错误;
      由,即事件与事件独立,故C正确;
      随机变量服从正态分布,,
      则,故D正确.
      故选:ACD.
      11. 已知函数,下列说法中正确的有( )
      A. 函数的单调递减区间为
      B. 曲线在处的切线方程为
      C. 函数既有极大值又有极小值,且极大值小于极小值
      D. 方程有两个不等实根,则实数的取值范围为
      【答案】BC
      【解析】函数的定义域为,
      ,,
      ,解得:或,
      所以函数的单调递减区间是和,故A错误;
      B.由A选项证明可知,,,所以曲线在处的切线方程为,故B正确;
      CD.由A选项的证明可知,函数在区间上单调递增,在区间上单调递减,所以是极大值点,
      函数在区间单调递减,在区间单调递增,所以是极小值点,
      函数,得,当时,,,,故C正确;
      再结合函数的单调性,画出函数的图象,
      若与有2个交点,则或,故D错误.
      故选:BC
      三、填空题:本题共3小题,每小题5分,共15分.
      12. 我们知道,三脚架放在地面上不易晃动,其中蕴含的数学原理是“不共线三点确定一个平面”;另一方面,空间直角坐标系中,过点且一个法向量为的平面的方程为.根据上述知识解决问题:现有一三脚架(三条脚架可看为三条边,它们的交点为顶点)放于桌面,建立合适空间直角坐标系,根据三支点的坐标可求得桌面所在平面的方程为,若三脚架顶点P的坐标为,则点P到平面的距离为____________.
      【答案】
      【解析】由已知可知平面的法向量为,在平面上取点,,
      所以距离.
      故答案为:.
      13. 乒乓球(table tennis),被称为中国的“国球”,是一种世界流行的球类体育项目.已知某次乒乓球比赛单局赛制为:两球换发制,每人发两个球,然后由对方发球,先得11分者获胜,若单局比赛中,甲发球时获胜的概率为,甲接球时获胜的概率为,甲先发球,则单局比赛中甲获胜的概率为______.
      【答案】
      【解析】设为“单局比赛中甲获胜”,
      由题设,甲可在第(均为甲发球)中失败一盘,
      或在(均为乙发球)中失败一盘,第盘必定是甲赢,
      故,
      故答案为:.
      14. 存在过点的直线与曲线相切,则实数的取值范围是______.
      【答案】
      【解析】设直线与曲线相切于点,,
      所以在点处的切线方程为,
      若切线过点,则,
      则,
      设,,
      ,,得,
      当,,单调递增,
      当,,单调递减,
      所以当时,取得最大值,
      所以的值域是,则的取值范围是.
      故答案为:
      四、解答题:本题共5小题,共77分.解答应写出文字说明、证明过程或演算步骤.
      15. 如图,在四棱柱中,侧棱平面,,,,,E为棱的中点,M为棱的中点.
      (1)证明:;
      (2)求异面直线与所成角的余弦值.
      解:(1)因为底面,平面,
      所以,
      而,
      所以、、两两互相垂直,
      不妨以点为坐标原点,、、所在直线分别为、、轴建立如上图所示的空间直角坐标系,
      则、、、、、,,
      ,,
      因为,
      所以,
      则;
      (2),,

      因此,异面直线与所成角的余弦值为.
      16. 某商场为促进消费,规定消费满一定金额可以参与抽奖活动.抽奖箱中有2个蓝球和2个红球,这些球除颜色外完全相同.有以下两种抽奖方案可供选择:
      (1)若顾客选择方案A,求其所获得奖池金额X的分布列及数学期望;
      (2)以获得奖池金额的期望值为决策依据,顾客应该选择方案A还是方案B?
      解:(1)由题意可知可能取值为30,80,130,则
      ,,,
      所以的分布列为:
      所以.
      (2)设顾客选方案B,所获得的金额为,
      则的可能取值为30,60,120,则



      的分布列为:
      所以,
      所以,所以选择方案A.
      17. 如图,在四棱锥中,四边形为正方形,平面平面,是边长为2等边三角形,点分别为的中点,点为线段上一点(包括端点).
      (1)若为线段的中点,求平面和平面夹角的正弦值;
      (2)当直线与平面所成的角最大时,求出的值.
      解:(1)因为是正三角形,点为的中点,,
      又平面平面 ,平面面,面,
      所以面,
      设F是中点,以E为原点,所在直线为轴,所在直线为轴,所在直线为轴建立空间直角坐标系,
      则,
      所以
      设面的一个法向量为,由,得到,
      令,得到,所以,
      又易知面的一个法向量为,则
      所以平面和平面夹角的正弦值为.
      (2)设,又
      则,
      设平面的一个法向量为,由,得到,
      令,得到,则,
      设直线与平面所成的角,
      所以,
      又,当且仅当时取等号,
      所以,当且仅当时,取最大,
      又,在区间上单调递增,
      所以直线与平面所成角最大时,,又,
      所以直线与平面所成角最大时,.
      18. 已知函数.
      (1)若,求函数在区间上的最大值;
      (2)若对于任意的,,都有,则实数的取值范围.
      解:(1)因为,,
      ①当时,因为,所以,
      所以函数在上单调递增,则;
      ②当,即时,,,
      所以函数在上单调递增,则;
      ③当,即时,
      ,,,,
      所以函数在上单调递增,在上单调递减,
      则;
      ④当,即时,,,函数在上单调递减,
      则.
      综上,.
      (2)对于任意的,,有,
      不妨设时,,
      令,根据题意对任意的,
      当时,,所以函数在上单调递减,
      所以在上恒成立,即在上恒成立,
      令,则,
      所以当时,,单调递增,当时,单调递减.
      所以,所以.
      19. 有甲乙两个骰子,甲骰子正常且均匀,乙骰子不正常且不均匀,经测试,投掷乙骰子得到6点朝上的概率为,若投掷乙骰子共6次,设恰有3次得到6点朝上的概率为,是的极大值点.
      (1)求;
      (2)若且等可能地选择甲乙其中的一个骰子,连续投掷3次,在得到都是6点朝上的结果的前提下,求这个骰子是乙骰子的概率;
      (3)若且每次都等可能地选择其中一个骰子,共投掷了10次,在得到都是6点朝上的结果的前提下,设这10次中有次用了乙骰子的概率为,试问当取何值时最大?并求的最大值(精确到0.01).(参考数据)
      解:(1)设恰有3次得到6点朝上的概率为,
      则,,
      令,得,
      当时,,单调递增;当时,,单调递减,
      故的极大值点.
      (2)设事件{3次6点朝上},事件{选择了乙骰子},
      则,,
      故所求概率为.
      (3)设事件{10次有次用了乙骰子},
      则.
      设事件{10次6点朝上},则.


      令,,
      则.
      由可得,,解得
      所以的最大值是,所以当时最大,
      且最大值为
      初始奖池
      摸球方式
      奖励规则
      方案A
      30元
      不放回摸2次,每次摸出1个球.
      每摸出一个红球,奖池金额增加50元,在抽奖结束后获得奖池所有金额.
      方案B
      有放回摸2次,每次摸出1个球.
      每摸出一个红球,奖池金额翻倍,在抽奖结束后获得奖池所有金额.

      相关试卷 更多

      资料下载及使用帮助
      版权申诉
      • 1.电子资料成功下载后不支持退换,如发现资料有内容错误问题请联系客服,如若属实,我们会补偿您的损失
      • 2.压缩包下载后请先用软件解压,再使用对应软件打开;软件版本较低时请及时更新
      • 3.资料下载成功后可在60天以内免费重复下载
      版权申诉
      若您为此资料的原创作者,认为该资料内容侵犯了您的知识产权,请扫码添加我们的相关工作人员,我们尽可能的保护您的合法权益。
      入驻教习网,可获得资源免费推广曝光,还可获得多重现金奖励,申请 精品资源制作, 工作室入驻。
      版权申诉二维码
      欢迎来到教习网
      • 900万优选资源,让备课更轻松
      • 600万优选试题,支持自由组卷
      • 高质量可编辑,日均更新2000+
      • 百万教师选择,专业更值得信赖
      微信扫码注册
      手机号注册
      手机号码

      手机号格式错误

      手机验证码 获取验证码 获取验证码

      手机验证码已经成功发送,5分钟内有效

      设置密码

      6-20个字符,数字、字母或符号

      注册即视为同意教习网「注册协议」「隐私条款」
      QQ注册
      手机号注册
      微信注册

      注册成功

      返回
      顶部
      学业水平 高考一轮 高考二轮 高考真题 精选专题 初中月考 教师福利
      添加客服微信 获取1对1服务
      微信扫描添加客服
      Baidu
      map