


广东省清远市2024-2025学年高一下期中联合学业质量监测考试数学试卷(解析版)
展开 这是一份广东省清远市2024-2025学年高一下期中联合学业质量监测考试数学试卷(解析版),共12页。试卷主要包含了选择题,填空题,解答题等内容,欢迎下载使用。
一、选择题:本题共8小题,每小题5分,共40分.在每小题给出的四个选项中,只有一项是符合题目要求的.
1. ( )
A. 1B. C. D.
【答案】B
【解析】,
故选:B
2. 已知,则的虚部为( )
A. 1B. C. D.
【答案】B
【解析】由,可得:,所以的虚部为,
故选:B
3. 在△ABC中,,则( )
A. B.
C. D.
【答案】D
【解析】.
故选:D.
4. 已知函数的部分图象如图所示,则等于( )
A. B. 0C. D.
【答案】A
【解析】由图象可知,
,周期,故,
又且,可得,故.
又根据函数图象的对称性可知
,
所以,
所以
,
故选:A.
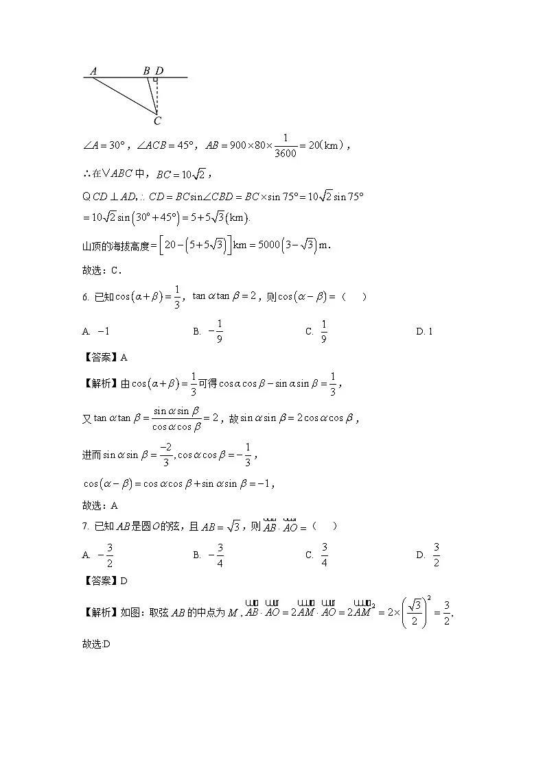
5. 如图,飞机的航线和山顶在同一个铅垂平面内,已知飞机的高度为海拔,速度为,飞行员先看到山顶的俯角为30°,经过后又看到山顶的俯角为75°,则山顶的海拔高度为( )
A. B.
C. D.
【答案】C
【解析】如图:
,,,
∴在中,,
山顶的海拔高度
故选:C.
6. 已知,,则( )
A. B. C. D. 1
【答案】A
【解析】由可得,
又,故,
进而,
,
故选:A
7. 已知是圆的弦,且,则( )
A. B. C. D.
【答案】D
【解析】如图:取弦的中点为,,
故选:D
8. 将函数图象上所有点的横坐标变为原来的倍,纵坐标不变,再把所得图象的所有点向左平移个单位长度,得到函数的图象.若在上没有零点,则的取值范围是( )
A. B.
C. D.
【答案】D
【解析】将图象上所有点的横坐标变为原来的倍,纵坐标不变,得到,再把所得图象的所有点向左平移个单位长度,得到函数,因为函数在上没有零点,
当时,,
所以或,
解得或,
当时,或,
故选:D
二、选择题:本题共3小题,每小题6分,共18分.在每小题给出的四个选项中,有多项符合要求.全部选对的得6分,部分选对的得部分分,有选错的得0分.
9. 下列有关复数的结论正确的是( )
A.
B. 当时,复数是纯虚数
C. 若是关于的方程的一个根,则
D. 若复数满足,则复数对应的点所构成的图形面积为
【答案】BD
【解析】因为虚数不能比较大小,所以A错误;
因为复数是纯虚数,所以,解得,故B正确;
因为是关于的方程的一个根,则另一根为,
由根与系数的关系可得,解得,
则,故C错误;
若复数满足,
由复数的几何意义可知不等式表示的范围为圆环,如下图所示:
则复数对应的点所构成的图形面积为,故D正确;
故选:BD.
10. 已知平面向量,,则下列结论正确的有( )
A 若,则
B. ,则
C. 若与的夹角为锐角,则的取值范围为
D. 若,则在上的投影向量是
【答案】ABD
【解析】对于A, 若,则,故A正确,
对于B,若,则,故,B正确,
对于C, ,当时,,
而当时,此时共线且方向相同,
故与的夹角为锐角,则的取值范围为,C错误,
对于D,时,则在上的投影向量是,故D正确,
故选:ABD
11. 在中,内角的对边分别是,则下列说法正确的是( )
A. 若,则
B. 若,则一定是等腰三角形
C. 若,,,则有两解
D. 若,,则面积的最大值为
【答案】ACD
【解析】对于A,得,故,A正确,
对于B,由可得,故,,因此或,故或,
故三角形为等腰三角形或者直角三角形,B错误,
对于C,由于,故,故有两解,故C正确,
对于D,由可得,
故,,故,进而,
所以,当且仅当时取到等号,
故,故面积的最大值为,D正确,
故选:ACD
三、填空题:本题共3小题,每小题5分,共15分.
12. 已知向量,满足,,则的取值范围是_________.
【答案】
【解析】由于
,
故答案为:
13. 若是斜三角形的一个内角,则函数的定义域为_________.
【答案】
【解析】的定义域需要满足,故,
因此或,
故定义域为,
故答案为:
14. 如图,在平面四边形中,,,,,则_________.
【答案】
【解析】设,在中,由正弦定理可得①,
由可得,则,,
在中,由正弦定理可得②,
①②两式相除,得,即,
整理得,故.
故答案为:
四、解答题:本题共5小题,共77分.解答应写出必要的文字说明、证明过程及演算步骤.
15. 已知复数,.
(1)若复平面内表示复数的点位于第一象限,求的取值范围;
(2)若,求的最小值.
解:(1)对应的点为,
故且,故,
(2),
故,故,故,
,故当时,的最小值为
16. 已知,是两个不共线的向量.
(1)若,,向量与相互垂直,求实数的值;
(2)若向量与共线,求实数的值.
解:(1)由于与相互垂直,故,
即,解得,
(2)由于与共线,则存在实数,则,
故,解得,
17. 已知,,,.
(1)求的值;
(2)求值.
解:(1)由于,故,结合,
故,
故
(2)由,,
故,,
由,可得,
故,
因为,故,
18. 已知向量,,令.
(1)求的最小正周期和单调递增区间;
(2)已知当时,关于的方程有两个不等实根,求的取值范围和这两根之和;
(3)在锐角三角形中,角的对边分别为,已知,,求周长的取值范围.
解:(1)
,
故周期为,
令,解得,
故单调递增区间为;
(2)当时,,
若有两个实数根,所以,
由于,故;
(3)由可得,故,
故,
由于为锐角,故,
故,
故,
由于,故,
因此,故,
因此,故.
19. 在中,角所对边分别为.为边上的中线,点,分别为边,上的动点,交于点.已知,且.
(1)求;
(2)若,求;
(3)在(2)的条件下,若,求的取值范围.
解:(1)因为,由正弦定理可得,,
由余弦定理可得,,
所以,得,即.
(2)在中,由余弦定理可得,
在中,,
,
化简可得,因此
因此,
解得(负值舍去),进而,,
故中,
(3)由题意,设.
则,
,.
为的中点,,即,
所以,
又三点共线,即.
所以
,
,,
,
又由,可得,
所以,
,.
故的取值范围是.
相关试卷 更多
- 1.电子资料成功下载后不支持退换,如发现资料有内容错误问题请联系客服,如若属实,我们会补偿您的损失
- 2.压缩包下载后请先用软件解压,再使用对应软件打开;软件版本较低时请及时更新
- 3.资料下载成功后可在60天以内免费重复下载
免费领取教师福利 
.png)




