搜索
      上传资料 赚现金
      独家版权

      [精] 专题14 圆锥曲线中的特殊“弦” 讲义-2025届高三数学二轮复习 含答案

      • 724.95 KB
      • 2025-07-08 07:01:33
      • 53
      • 3
      • 教习网8636171
      加入资料篮
      立即下载
      查看完整配套(共3份)
      包含资料(3份) 收起列表
      教师
      专题14 圆锥曲线中的特殊“弦”(教师版).docx
      预览
      学生
      专题14 圆锥曲线中的特殊“弦”(学生版答案解析).docx
      预览
      学生
      专题14 圆锥曲线中的特殊“弦”(学生版).docx
      预览
      正在预览:专题14 圆锥曲线中的特殊“弦”(教师版).docx
      专题14 圆锥曲线中的特殊“弦”(教师版)第1页
      高清全屏预览
      1/18
      专题14 圆锥曲线中的特殊“弦”(教师版)第2页
      高清全屏预览
      2/18
      专题14 圆锥曲线中的特殊“弦”(教师版)第3页
      高清全屏预览
      3/18
      专题14 圆锥曲线中的特殊“弦”(学生版答案解析)第1页
      高清全屏预览
      1/11
      专题14 圆锥曲线中的特殊“弦”(学生版答案解析)第2页
      高清全屏预览
      2/11
      专题14 圆锥曲线中的特殊“弦”(学生版答案解析)第3页
      高清全屏预览
      3/11
      专题14 圆锥曲线中的特殊“弦”(学生版)第1页
      高清全屏预览
      1/10
      专题14 圆锥曲线中的特殊“弦”(学生版)第2页
      高清全屏预览
      2/10
      专题14 圆锥曲线中的特殊“弦”(学生版)第3页
      高清全屏预览
      3/10
      还剩15页未读, 继续阅读

      专题14 圆锥曲线中的特殊“弦” 讲义-2025届高三数学二轮复习 含答案

      展开

      这是一份专题14 圆锥曲线中的特殊“弦” 讲义-2025届高三数学二轮复习 含答案,文件包含专题14圆锥曲线中的特殊“弦”教师版docx、专题14圆锥曲线中的特殊“弦”学生版答案解析docx、专题14圆锥曲线中的特殊“弦”学生版docx等3份学案配套教学资源,其中学案共39页, 欢迎下载使用。
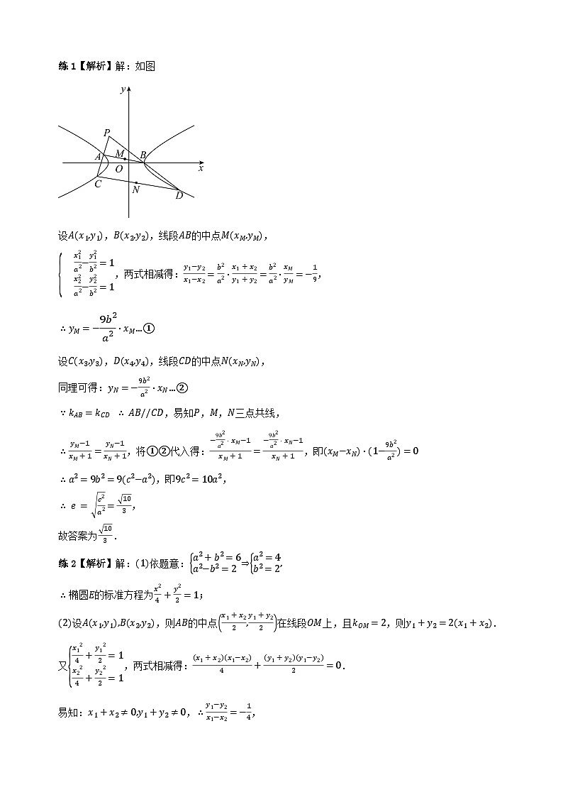
      例1【解析】(1)设A(x1,y1),B(x2,y2),
      ∵线段AB的中点为M(1,m),∴x1+x2=2,y1+y2=2m.
      将A,B代入椭圆C:x24+y23=1中,可得3x12+4y12=123x22+4y22=12,
      两式相减可得,3(x1+x2)·(x1−x2)+4(y1+y2)·(y1−y2)=0,
      即6(x1−x2)+8m(y1−y2)=0,∴k=y1−y2x1−x2=−68m=−34m.
      点M(1,m)在椭圆内,即14+m230),
      解得00,y3y4=−4n=4y1y2=−16,所以n=4,
      所以直线AB:x=2y+4.
      练3【解析】(1)因为抛物线E关于x轴对称,它的顶点在坐标原点,
      设抛物线的方程为y2=2px,因为点P(1,2)在抛物线上,所以4=2p,解得p=2,
      故抛物线E的方程为y2=4x,其准线方程x=−1;
      (2)根据抛物线的对称性,不妨设点A在第一象限,直线AB的倾斜角为α(00,因此y1+y3=4n,y1y3=−8,得y3=−8y1,
      同理可得y4=−8y2,
      所以kCD=y3−y4x3−x4=y3−y4y324−y424=4y3+y4=4−8y1+−8y2=−y1y22y1+y2=12m ,
      因此直线CD的方程为x=2my−y3+x3,
      由对称性知,定点在x轴上,
      令y=0得,x=−2my3+x3=−2my3+y324=−2m−8y1+14−8y12
      =16my1+16y12=4y1+y2y1+16y12=4+4y2y1+4y12=4+4⋅y1y2+4y12=4,
      所以,直线CD过定点4,0.
      【专题训练】
      1.【解析】设A(x1,y1),B(x2,y2),由中点坐标公式可知:y1+y2=2,且y12=4x1,y22=4x2,
      两式相减可得,(y1−y2)(y1+y2)=4(x1−x2),则直线AB的斜率k,k=y1−y2x1−x2=2,
      直线AB的方程为y−1=2(x−1)即y=2x−1,
      联立方程可得y=2x−1y2=4x,4x2−8x+1=0,∴x1+x2=2,x1x2=14,
      故|AB|=1+k2⋅(x1+x2)2−4x1x2=5⋅22−1=15.
      故答案为:C.
      2.【解析】解:设A(x1,y1),B(x2,y2),
      由AB的中点为N(12,15)得x1+x2=24,y1+y2=30,
      由x12a2−y12b2=1x22a2−y22b2=1,两式相减得(x1+x2)(x1−x2)a2=(y1+y2)(y1−y2)b2,
      则y1−y2x1−x2=b2(x1+x2)a2(y1+y2)=4b25a2.
      ∵直线AB的斜率k=15−612−3=1,
      ∴4b25a2=1,则b2a2=54,
      ∴双曲线的离心率e=ca= 1+b2a2=32.
      故选B.
      3.【解析】如图,易知抛物线的焦点为F(1,0),准线方程为x=−1.
      由题意两直线斜率一定存在,
      设l1:y=kx−1,且k≠0,AxA,yA,BxB,yB,则l2:y=−1kx−1,
      联立y2=4xy=kx−1,得k2x2−2k2+4x+k2=0,
      则Δ=(2k2+4)2−4k4=16+16k2>0,xA+xB=2k2+4k2,
      则根据抛物线定义可得 AB=xA+xB+2=2k2+4k2+2=4+4k2,
      同理可得DE=4+4k2,
      所以|AB|+|DE|=4+4k2+4+4k2≥8+2 4k2·4k2=16,
      当且仅当k2=1时,等号成立,所以|AB|+|DE|的最小值为16.
      故选A.
      4.【解析】解:设A(x1,y1),B(x2,y2),则AB的中点P(x1+x22,y1+y22),
      由题意可得x1+x22=12,y1+y22=12,将A,B的坐标代入椭圆的方程x128+y12=1,x228+y22=1,作差可得x12−x228+y12−y22=0,整理可得y1−y2x1−x2=−18⋅x1+x2y1+y2=−18⋅11=−18,即直线AB的斜率为−18,
      所以直线AB的方程为y−12=−18(x−12),整理可得x+8y−92=0.
      5.【解析】由题意知C的渐近线方程为x±ay=0,而圆的圆心为(2,0),所以|2|1+a2=1,解得a=3,
      所以双曲线实轴长为2a=23,故A错误,
      所以半焦距c=2,所以e=ca=23=233,故B正确,
      设P(x0,y0),所以d1=|x0−3y0|2,d2=|x0+3y0|2,
      所以d1d2=|x0−3y0|2⋅|x0+3y0|2=|x02−3y02|4=34,故C正确,
      对于选项D:设A(x1,y1),B(x2,y2),所以x123−y12=1,x223−y22=1,
      两式相减,得(x1+x2)(x1−x2)3−(y1+y2)(y1−y2)=0,
      所以x1+x23−(y1+y2)⋅y1−y2x1−x2=0,x1+x23−(y1+y2)⋅k1=0,
      所以23⋅x1+x22−(y1+y2)2⋅2k1=0,所以23xD−yD⋅2k1=0,
      所以23−yDxD⋅2k1=0,所以23−k2⋅2k1=0,所以k1k2=13.故D正确,
      故选BCD.
      6.【解析】解:对于A,因为x24+y23=1,所以a=2,b= 3,
      由椭圆的定义,可知△ABF2的周长为|AB|+AF2+BF2=4a=8,故A错误;
      对于B,因为kPA+kPB=0,所以kPA=−kPB,因为kPA=tanα,kPB=tanβ,α,β∈[0,π),
      所以tanα=−tanβ=tan(π−β),从而得到α+β=π,故B正确;
      对于C,因为F1(−1,0),所以F1A=yA=32,所以S▵ABF2=12×2×32×2=3,故C错误;
      对于D,设Ax1,y1,Bx2,y2,Mx0,y0,
      则x124+y123=1,x224+y223=1,
      所以x1−x2x1+x24+y1−y2y1+y23=0,
      因为AB中点为M,故x1+x22=x0,y1+y22=y0,
      所以x1−x2x04=−y1−y2y03,
      即y1−y2x1−x2⋅y0x0=−34,即kAB⋅kOM=−34,故D正确.
      故选BD.
      7.【解析】(1)解:设P(x,y),
      由题意,得 (x−1)2+y2=|x|+1,两边平方并整理,得y2=2|x|+2x.
      故所求C的方程为y2=2|x|+2x
      (2)证明:C的方程为y2=2|x|+2x=4x,x≥00,x0.
      设A(x1,y1),B(x2,y2),则y1+y2=4m,y1y2=−4.
      若存在点P(x0,y0)满足条件,则2kOP=kPA+kPB,
      即2⋅y0x0=y0−y1x0−x1+y0−y2x0−x2,
      因为点P,A,B均在抛物线y2=4x上,所以x0=y024,x1=y124,x2=y224.
      所以8y0=4(y0−y1)y02−y12+4(y0−y2)y02−y22=4y0+y1+4y0+y2=8y0+4(y1+y2)y02+(y1+y2)y0+y1y2,
      将y1+y2=4m,y1y2=−4代入得
      8y0=8y0+16my02+4my0−4,整理得my0−2=0,
      因为m≠0,所以y0=2m
      代入y2=4x,得x0=1m2.
      此时,存在C上的点P(1m2,2m),使得直线PA,OP,PB的斜率成等差数列
      综上,存在C上的点P使得直线PA,OP,PB的斜率成等差数列.
      8.【解析】解:1设直线PQ与x轴交于P0−P2,0,由几何性质:CP2=CP0·CO
      3=−p2+2⋅2,解得:p=1,
      故抛物线E的标准方程为:y2=2x.
      2设Tx0,y0,Ax1,y1.Bx2,y2.
      i由题意,TA中点M在抛物线E上,即(y0+y12)2=2⋅x0+x12,又y12=2x1,将x1=y122代入.
      得:y12−2y0y1+4x0−y02=0.
      同理:y22−2y0y2+4x0−y02=0.
      有y1+y2=2y0y1y2=4x0−y02.此时D点纵坐标为y1+y22=y0.
      所以直线TD的斜率为0.
      iix1+x22=y12+y224=(y1+y2)2−2y1y24=3y02−4x02,故点D3y02−4x02,y0.
      此时S=12TD⋅y1−y2.
      TD=3y02−4x02−x0=32y02−2x0.y1−y2
      = y1+y22−4y1y2= 8(y02−2x0)S=3 22⋅ y02−2x03.
      又点T在圆C上,有(x0+2)2+y02=3,即y02=−x02−4x0−1,代入上式可得:
      S=3 22⋅ (−x02−6x0−1)3=3 22⋅ [−(x0+3)2+8]3.
      由−2− 3≤x0≤−2+ 3.故x0=−3时,S取到最大值3 22⋅ 83=48.
      所以S的最大值为48.
      9.【解析】(1)设椭圆C的半焦距为c,设点Pc,y0,则y02=92cc2a2+y02b2=1,
      消去y0,得c2a2+9c2b2=1,即c2a2+9c2a2−c2=1①,
      因为椭圆C:x2a2+y2b2=1(a>b>0)的离心率等于12,则e=ca=12⇒a=2c②,
      将②代入①得c22c2+9c22c2−c2=1,解得c=2,则a=4,
      所以b2=a2−c2=12,
      所以椭圆C的方程为x216+y212=1.
      (2)将P2,y0代入抛物线Cˈ:y2=92x中解得y0=3(取正值),故P(2,3),Q(2,−3),
      当直线AP与直线BP关于直线PQ对称,PA,PB的斜率之和为0,
      设直线PA的方程为y−3=k(x−2),
      由y−3=kx−2x216+y212=1,消去y并整理得3+4k2x2+83−2kkx+16k2−48k−12=0,
      所以x1+2=82k−3k3+4k2,则x1=8k2−24k−63+4k2,
      设PB的直线方程为y−3=−kx−2,
      同理可得x2=8k2+24k−63+4k2,
      所以x1+x2=16k2−123+4k2,x1−x2=−48k3+4k2,
      kAB=y1−y2x1−x2=kx1−2+3+kx2−2−3x1−x2=kx1+x2−4kx1−x2=12,
      所以直线AB的斜率为定值12.

      相关学案

      专题14 圆锥曲线中的特殊“弦” 讲义-2025届高三数学二轮复习 含答案:

      这是一份专题14 圆锥曲线中的特殊“弦” 讲义-2025届高三数学二轮复习 含答案,文件包含专题14圆锥曲线中的特殊“弦”教师版docx、专题14圆锥曲线中的特殊“弦”学生版答案解析docx、专题14圆锥曲线中的特殊“弦”学生版docx等3份学案配套教学资源,其中学案共39页, 欢迎下载使用。

      专题13圆锥曲线中的“隐圆”问题讲义 2025届高三数学二轮复习 有答案:

      这是一份专题13圆锥曲线中的“隐圆”问题讲义 2025届高三数学二轮复习 有答案,文件包含专题13圆锥曲线中的“隐圆”问题教师版docx、专题13圆锥曲线中的“隐圆”问题学生版docx、专题13圆锥曲线中的“隐圆”问题学生版答案解析docx等3份学案配套教学资源,其中学案共29页, 欢迎下载使用。

      专题16 圆锥曲线中焦点三角形 讲义-2025届高三数学二轮复习 含答案:

      这是一份专题16 圆锥曲线中焦点三角形 讲义-2025届高三数学二轮复习 含答案,文件包含专题16圆锥曲线中焦点三角形教师版docx、专题16圆锥曲线中焦点三角形学生版答案解析docx、专题16圆锥曲线中焦点三角形学生版docx等3份学案配套教学资源,其中学案共28页, 欢迎下载使用。

      资料下载及使用帮助
      版权申诉
      • 1.电子资料成功下载后不支持退换,如发现资料有内容错误问题请联系客服,如若属实,我们会补偿您的损失
      • 2.压缩包下载后请先用软件解压,再使用对应软件打开;软件版本较低时请及时更新
      • 3.资料下载成功后可在60天以内免费重复下载
      版权申诉
      若您为此资料的原创作者,认为该资料内容侵犯了您的知识产权,请扫码添加我们的相关工作人员,我们尽可能的保护您的合法权益。
      入驻教习网,可获得资源免费推广曝光,还可获得多重现金奖励,申请 精品资源制作, 工作室入驻。
      版权申诉二维码
      欢迎来到教习网
      • 900万优选资源,让备课更轻松
      • 600万优选试题,支持自由组卷
      • 高质量可编辑,日均更新2000+
      • 百万教师选择,专业更值得信赖
      微信扫码注册
      手机号注册
      手机号码

      手机号格式错误

      手机验证码 获取验证码 获取验证码

      手机验证码已经成功发送,5分钟内有效

      设置密码

      6-20个字符,数字、字母或符号

      注册即视为同意教习网「注册协议」「隐私条款」
      QQ注册
      手机号注册
      微信注册

      注册成功

      返回
      顶部
      学业水平 高考一轮 高考二轮 高考真题 精选专题 初中月考 教师福利
      添加客服微信 获取1对1服务
      微信扫描添加客服
      Baidu
      map