搜索
      上传资料 赚现金

      青岛版数学2024七年级上册 4.2 合并同类项 第2课时 PPT课件

      • 1.07 MB
      • 2025-06-14 06:48:10
      • 86
      • 0
      • 陈玥彤
      加入资料篮
      立即下载
      青岛版数学2024七年级上册  4.2  合并同类项 第2课时 PPT课件第1页
      高清全屏预览
      1/14
      青岛版数学2024七年级上册  4.2  合并同类项 第2课时 PPT课件第2页
      高清全屏预览
      2/14
      青岛版数学2024七年级上册  4.2  合并同类项 第2课时 PPT课件第3页
      高清全屏预览
      3/14
      青岛版数学2024七年级上册  4.2  合并同类项 第2课时 PPT课件第4页
      高清全屏预览
      4/14
      青岛版数学2024七年级上册  4.2  合并同类项 第2课时 PPT课件第5页
      高清全屏预览
      5/14
      青岛版数学2024七年级上册  4.2  合并同类项 第2课时 PPT课件第6页
      高清全屏预览
      6/14
      青岛版数学2024七年级上册  4.2  合并同类项 第2课时 PPT课件第7页
      高清全屏预览
      7/14
      还剩7页未读, 继续阅读

      初中数学合并同类项评课ppt课件

      展开

      这是一份初中数学合并同类项评课ppt课件,共14页。PPT课件主要包含了2合并同类项,知识回顾,加法交换律,加法结合律,尝试·交流等内容,欢迎下载使用。
      第2课时 合并同类项及多项式的化简求值
      进一步理解合并同类项的法则。(重点)
      能利用合并同类项法则进行合并同类项,并能对多项式进行化简求值。(难点)
      1.同类项:所含字母相同,并且相同字母的指数也相同的项叫作同类项。
      2.合并同类项:把多项式中的同类项合并成一项,叫作合并同类项。
      注意:常数项都是同类项。
      3.合并同类项法则: 合并同类项时,把同类项的系数相加,所得的和作为系数,字母与字母的指数不变。
      例 合并下列各式中的同类项:
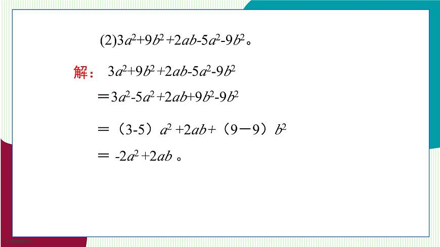
      (1)4x2 -7x+5-3x2 +2+6x ; (2)3a2+9b2+2ab-5a2-9b2。
      解:(1)4x2 -7x+5-3x2 +2+6x=4x2-3x2 -7x +6x+5+2
      =( 4x2-3x2 )+(-7x +6x)+(5+2 )
      =(4-3)x2 +(-7 +6)x+(5+2 )
      (乘法对加法的分配律)
      = x2 - x +6 。
      (2)3a2+9b2+2ab-5a2-9b2。
      3a2+9b2+2ab-5a2-9b2
      =3a2-5a2+2ab+9b2-9b2
      =(3-5)a2 +2ab+(9-9)b2 = -2a2 +2ab 。
      合并同类项的方法: 找,找出多项式中的同类项,不同类的同类项用不同的标记标出; 移,利用加法的交换律,将不同类的同类项集中到不同的括号内; 合,将同一括号内的同类项相加即可。
      练习 求下列多项式的值:
      1.合并下列各式中的同类项:(1)x3+2x2y+y2x+yx2+2xy2+y3;(2)x2y-3xy2+2yx2-y2x。
      解:(1)x3+2x2y+y2x+ yx2+2xy2+y3=x3+(2+1)x2y+(1+2)xy2+y3=x3+3x2y+3xy2+y3。(2)x2y-3xy2+2yx2-y2x=(x2y+2yx2)+(-3xy2-y2x)=3x2y-4xy2。
      2.求3x-4x3+7-3x+2x3+1的值,其中x=-2。
      解:3x-4x3+7-3x+2x3+1=(-4x3+2x3)+(3x-3x)+(7+1)=-2x3+8。当x=-2时,-2x3+8=-2×(-2)3+8=-2×(-8)+8=16+8=24。
      3.在不知道a,b的情况下,能否求出“7a2-5b2+3a2b-4a2+b2-3a2b-3a2+4b2-2”的值,若能,请求出数值;若不能,请说明理由。
      解:能。化简7a2-5b2+3a2b-4a2+b2-3a2b-3a2+4b2-2=(7a2-4a2-3a2)+(-5b2+b2+4b2)+(3a2b-3a2b)-2=-2,所以,无论a,b取什么值,代数式的值都为2。

      相关课件 更多

      资料下载及使用帮助
      版权申诉
      • 1.电子资料成功下载后不支持退换,如发现资料有内容错误问题请联系客服,如若属实,我们会补偿您的损失
      • 2.压缩包下载后请先用软件解压,再使用对应软件打开;软件版本较低时请及时更新
      • 3.资料下载成功后可在60天以内免费重复下载
      版权申诉
      若您为此资料的原创作者,认为该资料内容侵犯了您的知识产权,请扫码添加我们的相关工作人员,我们尽可能的保护您的合法权益。
      入驻教习网,可获得资源免费推广曝光,还可获得多重现金奖励,申请 精品资源制作, 工作室入驻。
      版权申诉二维码
      欢迎来到教习网
      • 900万优选资源,让备课更轻松
      • 600万优选试题,支持自由组卷
      • 高质量可编辑,日均更新2000+
      • 百万教师选择,专业更值得信赖
      微信扫码注册
      手机号注册
      手机号码

      手机号格式错误

      手机验证码 获取验证码 获取验证码

      手机验证码已经成功发送,5分钟内有效

      设置密码

      6-20个字符,数字、字母或符号

      注册即视为同意教习网「注册协议」「隐私条款」
      QQ注册
      手机号注册
      微信注册

      注册成功

      返回
      顶部
      中考一轮 精选专题 初中月考 教师福利
      添加客服微信 获取1对1服务
      微信扫描添加客服
      Baidu
      map