搜索
      上传资料 赚现金

      [精] 2025年普通高等学校招生全国统一考试数学试题(全国二卷)(有解析)

      • 582.08 KB
      • 2025-06-11 22:10:06
      • 2070
      • 1
      • 首发最新试卷真题
      加入资料篮
      立即下载
      2025年普通高等学校招生全国统一考试数学试题(全国二卷)(有解析)第1页
      高清全屏预览
      1/10
      2025年普通高等学校招生全国统一考试数学试题(全国二卷)(有解析)第2页
      高清全屏预览
      2/10
      2025年普通高等学校招生全国统一考试数学试题(全国二卷)(有解析)第3页
      高清全屏预览
      3/10
      还剩7页未读, 继续阅读

      2025年普通高等学校招生全国统一考试数学试题(全国二卷)(有解析)

      展开

      这是一份2025年普通高等学校招生全国统一考试数学试题(全国二卷)(有解析),共10页。试卷主要包含了单选题,多选题,填空题,解答题等内容,欢迎下载使用。
      一、单选题
      1.样本数据平均数为( )
      A.8B.9C.12D.18
      【答案】C
      【详解】.
      2.( )
      A.B.C.-1 D.1
      【答案】A
      【详解】原式=.
      3.( )
      A.B.C.D.
      【答案】D
      4.的解集是( )
      A.B.C.D.
      【答案】C
      5.( )
      A.B.C.D.
      【答案】A
      【详解】已知三边,可利用余弦定理解三角形.
      6.设抛物线的焦点为F,点上, 过作准线的垂线,垂足为.若直线BF的方程为, 则( )
      A.3B.4C.5D.6
      【答案】C
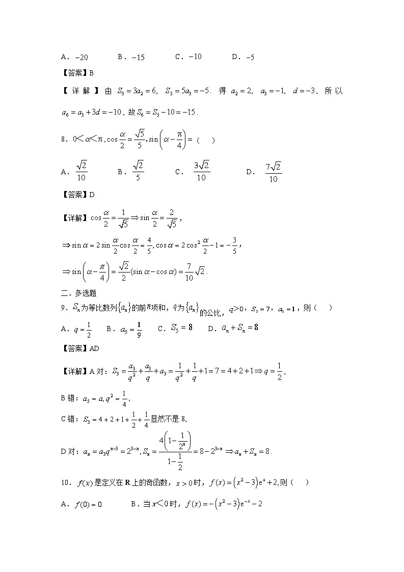
      7.记为等差前项和,( )
      A.B.C.D.
      【答案】B
      【详解】由. 得, 所以, 故.
      8.,( )
      A.B.C. D.
      【答案】D
      【详解】,

      .
      二、多选题
      9.为等比数列的前项和,为的公比,,则( )
      A. B. C. D.
      【答案】AD
      【详解】A对:,
      B错:,
      C错:显然不是8,
      D对:.
      10.是定义在R上的奇函数,时,则( )
      A. B.当时,
      C.当且仅当 D.是的极大值点
      【答案】ABD
      【解析】A对,代入计算即可,
      B对:当时,
      C错:反例:,
      D对:当时, 所以是极小值,于是由对称性知是极大值.
      11.双曲线,左、右焦点为. 左、右顶点为.
      以为直径的圆与曲线的一条渐近线交于M,N, 且, 则( )
      A.B.
      C.离心率为D.当时,四边形的面积为
      【答案】ACD
      【解析】A对,B错:不妨设那条渐近线为, 不妨设在第一象限,则由易知. 于是是平行四边形且和垂直于轴,所以, 即A对,且显然B错 :C对 :由A对知,
      D对:面积.
      三、填空题
      12.则______.
      【答案】
      【解析】, 所以.
      13.是的极值点,则_______.
      【答案】-4
      【解析】
      ,
      所以, 即, 所以.
      14.一个底面半径为4,高为9cm的封闭圆柱形容器(容器壁厚度忽略不计)内有两个半径相等的铁球,则铁球半径的最大值为______.
      【答案】
      【解析】作出轴截面如下:
      由于半径相等,则上图两圆的切点显然是矩形中点,为设球半径为, 则有
      解得或(舍去),所以最大值为.
      四、解答题
      15. .
      (1)求;
      (2)设函数求值域和单调区间.
      【答案】见详解
      【详解】(1),
      因为, 所以,
      所以
      (2)
      因为, 所以当时,, 当时,
      所以的值域为,
      由, 得,
      根据复合函数的单调性得的单调递减区间为
      同理可得的单调递增区间为
      由, 得,
      根据复合函数的单调性得的单调递减区间为
      同理可得:的单调递增区间为
      16. 椭圆的离心率为, 长轴长为4.
      (1)求的方程
      (2)过点的直线l与交于A,B两点,O为坐标原点,若, 求.
      【答案】见详解
      【详解】(1),
      (2)设直线为, 与联立消得, 整理为
      设的横坐标分别为, 则

      解得, 则
      17. 如图,四边形中,, F为中点,E在上,,. 将四边形EFDA沿EF翻折至四边形, 使得面与面所成的二面角为.
      (1)证明:平面.
      (2)求面与面所成二面角的正弦值.
      【答案】见详解
      【详解】(1)证明:有面,
      故面
      有面
      故面
      故面面


      (2)延长交延长线于
      面与面二面角




      则到面距离
      到距离
      故正弦值
      18..
      (1)证明:在存在唯一极值点和唯一零点;
      (2)设为在的极值点和零点,
      ①,证明:在单调递减;
      ②比较与的大小,并证明你的结论.
      【答案】见详解
      【详解】
      (1)
      , 单调递增,
      单调递减,
      存在唯一使得
      (2)①由(1)知,
      在区间内单调递减;
      ②由①知在单调递减,则
      又因
      而故.
      19.甲、乙乒乓球练习,每个球胜者得1分,负者得0分,设每个球甲胜概率为p(),乙胜概率为q,p+q=1,且各球胜负相互独立,对正整数k≥2,记Pk为打完k个球后甲比乙至少多得2分的概率.
      (1)求p3,p4(用p表示);
      (2)若, 求p;
      (3)证明:对任意正整数.
      【答案】见详解
      【详解】 (1)即打完3个球后甲比乙至少多得2分,
      (只能三场均胜),
      (可以输一场).
      (2)与完全对称,




      (3)设甲第局得分,先证左边




      即证,

      即显然成立;
      在证明右边胜,即前胜或前胜再胜1局或前胜再胜一局,


      .

      相关试卷

      2025年普通高等学校招生全国统一考试数学试题(全国二卷)(有解析):

      这是一份2025年普通高等学校招生全国统一考试数学试题(全国二卷)(有解析),共10页。试卷主要包含了单选题,多选题,填空题,解答题等内容,欢迎下载使用。

      2025年普通高等学校招生全国统一考试数学试题(全国一卷)(有解析):

      这是一份2025年普通高等学校招生全国统一考试数学试题(全国一卷)(有解析),共11页。试卷主要包含了单选题,多选题,填空题,解答题等内容,欢迎下载使用。

      2025 年普通高等学校招生全国统一考试数学二卷试卷(无答案):

      这是一份2025 年普通高等学校招生全国统一考试数学二卷试卷(无答案),共4页。

      资料下载及使用帮助
      版权申诉
      • 1.电子资料成功下载后不支持退换,如发现资料有内容错误问题请联系客服,如若属实,我们会补偿您的损失
      • 2.压缩包下载后请先用软件解压,再使用对应软件打开;软件版本较低时请及时更新
      • 3.资料下载成功后可在60天以内免费重复下载
      版权申诉
      若您为此资料的原创作者,认为该资料内容侵犯了您的知识产权,请扫码添加我们的相关工作人员,我们尽可能的保护您的合法权益。
      入驻教习网,可获得资源免费推广曝光,还可获得多重现金奖励,申请 精品资源制作, 工作室入驻。
      版权申诉二维码
      欢迎来到教习网
      • 900万优选资源,让备课更轻松
      • 600万优选试题,支持自由组卷
      • 高质量可编辑,日均更新2000+
      • 百万教师选择,专业更值得信赖
      微信扫码注册
      手机号注册
      手机号码

      手机号格式错误

      手机验证码 获取验证码 获取验证码

      手机验证码已经成功发送,5分钟内有效

      设置密码

      6-20个字符,数字、字母或符号

      注册即视为同意教习网「注册协议」「隐私条款」
      QQ注册
      手机号注册
      微信注册

      注册成功

      返回
      顶部
      学业水平 高考一轮 高考二轮 高考真题 精选专题 初中月考 教师福利
      添加客服微信 获取1对1服务
      微信扫描添加客服
      Baidu
      map