冀教版(2024)七年级上册(2024)有理数的减法课前预习ppt课件
展开
这是一份冀教版(2024)七年级上册(2024)有理数的减法课前预习ppt课件,共18页。PPT课件主要包含了--1,-2--9,即学即练等内容,欢迎下载使用。
下表是中央气象台发布的2011年1月28日天气预报中,部分城市的最高气温和最低气温的统计表.
表示温差的算式结果与观察到的温差相等
(2)表示温差的算式与观察到的温差之间有什么关系?
1.根据上表中的数据,解决下面问题:(1)分别填写表示各城市温差的算式以及从温度计上的刻度观察到的温差.
2.计算: (1)10+(-6)= _______; (2)2+(+1)= _______; (3)(-2)+(+9)= _______;
3.比较下列各组算式,请你说说怎样把减法运算转化为加法运算.(1)10-6=4,10+(-6)=4;(2) 2-(-1)=3,2+(+1)=3;(3)(-2)-(-9)=7,(-2)+(+9)=7.
问题思考:(1)每组的两个小题结果相同吗?
(2)算式中哪两个数是相反数?
(3)减去一个数和加上一个数的相反数,算 式的结果一样吗?
有理数减法法则:减去一个数,等于加上这个数的相反数
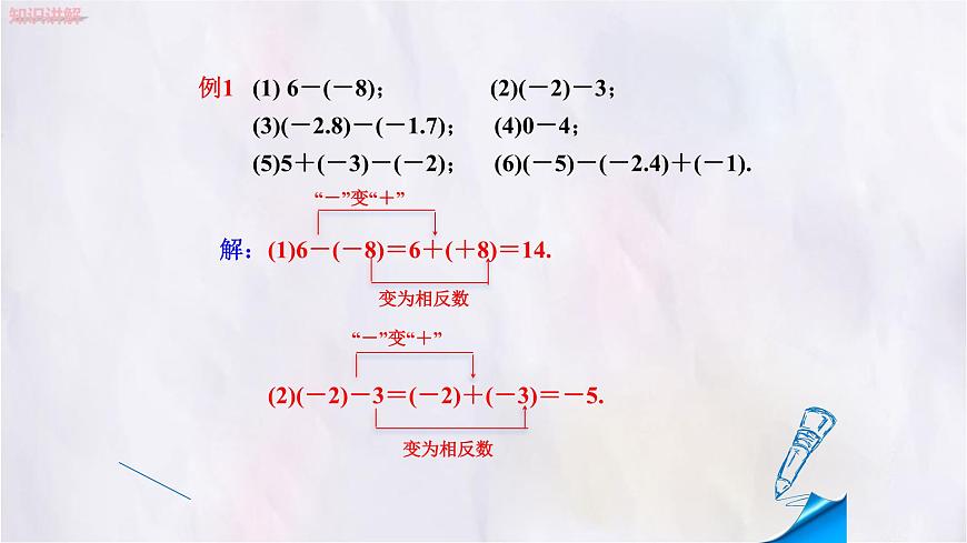
例1 (1) 6-(-8); (2)(-2)-3; (3)(-2.8)-(-1.7); (4)0-4; (5)5+(-3)-(-2); (6)(-5)-(-2.4)+(-1).
(3)(-2.8)-(-l.7)=(-2.8)+l.7=-l.1. (4)0-4=0+(-4)=-4. (5)5+(-3)-(-2)=5+(-3)+2=4. (6)(-5)-(-2.4)+(-1)=(-5)+2.4+ (-1)=-3.6.
计算下列各题:(1)9 -(-4); (2)(-3)- 2;(3)0 – 7 ; (4)(-8)-0.
(2)原式=(-3)+(-2) =-5
解:(1)原式= 9 + 4 = 13
减去2等于加上2 的相反数.
(3)原式 = 0 +(-7)= - 7
(4)原式 =(-8 )+ 0 = -8
减去(-4)等于加上 -4 的相反数.
解析:由│a│= 4,│b│= 3,得a=± 4,b= ±3. 又因为a>0,b
相关课件
这是一份初中数学有理数的减法教学演示ppt课件,共21页。PPT课件主要包含了–10,实际问题,活动一,一起探究,活动二,有理数减法法则,被减数不变,减号变加号,减数变其相反数等内容,欢迎下载使用。
这是一份冀教版(2024)有理数的减法教课内容ppt课件,共15页。PPT课件主要包含了知1-讲,感悟新知,知识点,有理数的减法,知1-练等内容,欢迎下载使用。
这是一份冀教版七年级上册1.6 有理数的减法评课课件ppt,共20页。PPT课件主要包含了――5,有理数减法法则,被减数不变,减号变加号,减数变其相反数,例1计算,针对练习,小结梳理等内容,欢迎下载使用。
相关课件 更多
- 1.电子资料成功下载后不支持退换,如发现资料有内容错误问题请联系客服,如若属实,我们会补偿您的损失
- 2.压缩包下载后请先用软件解压,再使用对应软件打开;软件版本较低时请及时更新
- 3.资料下载成功后可在60天以内免费重复下载
免费领取教师福利

